当前位置:首页>文档>2025年高考江苏化学_2025全国各省高考真题+答案_6、江苏卷(物理、历史、化学、地理、政治、生物)

2025年高考江苏化学_2025全国各省高考真题+答案_6、江苏卷(物理、历史、化学、地理、政治、生物)

  • 2026-04-15 19:05:38 2026-03-04 15:28:44

文档预览

2025年高考江苏化学_2025全国各省高考真题+答案_6、江苏卷(物理、历史、化学、地理、政治、生物)
2025年高考江苏化学_2025全国各省高考真题+答案_6、江苏卷(物理、历史、化学、地理、政治、生物)
2025年高考江苏化学_2025全国各省高考真题+答案_6、江苏卷(物理、历史、化学、地理、政治、生物)
2025年高考江苏化学_2025全国各省高考真题+答案_6、江苏卷(物理、历史、化学、地理、政治、生物)
2025年高考江苏化学_2025全国各省高考真题+答案_6、江苏卷(物理、历史、化学、地理、政治、生物)
2025年高考江苏化学_2025全国各省高考真题+答案_6、江苏卷(物理、历史、化学、地理、政治、生物)
2025年高考江苏化学_2025全国各省高考真题+答案_6、江苏卷(物理、历史、化学、地理、政治、生物)
2025年高考江苏化学_2025全国各省高考真题+答案_6、江苏卷(物理、历史、化学、地理、政治、生物)
2025年高考江苏化学_2025全国各省高考真题+答案_6、江苏卷(物理、历史、化学、地理、政治、生物)
2025年高考江苏化学_2025全国各省高考真题+答案_6、江苏卷(物理、历史、化学、地理、政治、生物)
2025年高考江苏化学_2025全国各省高考真题+答案_6、江苏卷(物理、历史、化学、地理、政治、生物)
2025年高考江苏化学_2025全国各省高考真题+答案_6、江苏卷(物理、历史、化学、地理、政治、生物)
2025年高考江苏化学_2025全国各省高考真题+答案_6、江苏卷(物理、历史、化学、地理、政治、生物)
2025年高考江苏化学_2025全国各省高考真题+答案_6、江苏卷(物理、历史、化学、地理、政治、生物)

文档信息

文档格式
pdf
文档大小
2.320 MB
文档页数
14 页
上传时间
2026-03-04 15:28:44

文档内容

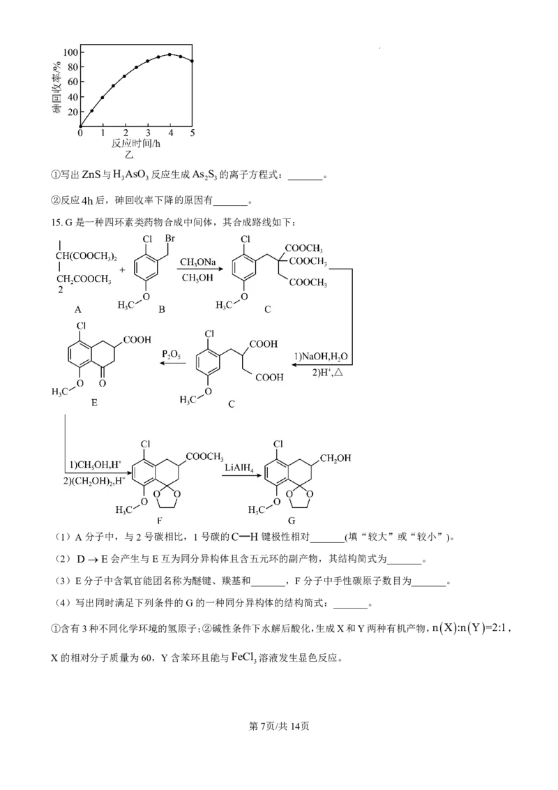
2025 年普通高中学业水平选择性考试(江苏卷) 化学 本试卷满分 100分,考试时间 75分钟。 可能用到的相对原子质量: H—1 C—12 O—16 S—32 Cl —35.5 K —39 Fe—56 Zn—65 As—75 Cd —112 Ce —140 一、单项选择题:共 13题,每题 3分,共 39分。每题只有一个选项最符合题意。 1. 大气中的氮是取之不尽的天然资源。下列工业生产中以氮气作反应物的是 A. 工业合成氨 B. 湿法炼铜 C. 高炉炼铁 D. 接触法制硫酸   2. 科学家通过核反应1n6 Li3 H4 He发现氚 3H 。下列说法正确的是 0 3 1 2 1 A. 1n表示一个质子 0 B. 6Li的基态原子核外电子排布式为1s12s2 3 C. 3H与2H互为同位素 1 1 D. 4He的原子结构示意图为 2   3. 用0.05000molL1草酸 H C O 溶液滴定未知浓度的NaOH溶液。下列实验操作规范的是 2 2 4 A.配制草酸溶 B.润洗滴定 C.滴定 D.读数 液 管 A.A B.B C.C D.D 第1页/共14页 学科网(北京)股份有限公司4. 在溶有15-冠5( )的有机溶剂中,苄氯( )与NaF发生反应: 下列说法正确的是 A. 苄氯是非极性分子 B. 电负性:χ(F) χ(Cl) C. 离子半径:r  F r  Na D.X中15-冠5与Na间存在离子键 阅读材料,完成下列小题: 中国对人类科学进步与技术发展贡献卓著。黑火药(主要成分:KNO 、S和C)是中国古代四大发明之一。 3 侯德榜发明的“联合制碱法”将合成氨法与氨碱法联合,突破了国外制碱技术封锁。我国科学家在世界上首次 人工合成结晶牛胰岛素;采用有机合成与酶促合成相结合的方法,人工合成了酵母丙氨酸转移核糖核酸。 徐光宪提出的稀土串级萃取理论使我国稀土提取技术取得重大进步。屠呦呦等采用低温、乙醚冷浸提取的 青蒿素(C H O ,含—O—O— )在治疗疟疾中起到重要作用。闵恩泽研制新型催化剂解决了重油裂解难 15 22 5 题。 5. 下列说法正确的是 A. 硫黄有S 、S2、S 等多种同素异形体 2 4 B. 高温下青蒿素分子结构稳定 C. NH 分子中H—N—H键角大于CH 分子中H—C—H键角 3 4 D. 题图所示的碱基鸟嘌呤与胞嘧啶通过氢键互补配对 6. 下列化学反应表示正确的是 A. 黑火药爆炸:2KNO C3SK CO N 3SO  3 2 3 2 2 第2页/共14页 学科网(北京)股份有限公司通电 B. 电解饱和NaCl溶液制NaOH:Cl 2H O 2OH H ClO 2 2 C. 重油裂解获得的丙烯制聚丙烯:nCH CHCH 催化剂 2 3 D. 向饱和氨盐水中通入过量CO :NaClNH H OCO NaHCO NH Cl 2 3 2 2 3 4 7. 下列物质组成或性质与分离提纯方法对应关系正确的是   A. 蛋白质能水解,可用饱和 NH SO 溶液提纯蛋白质 4 2 4 B. 乙醚与青蒿素组成元素相同,可用乙醚提取青蒿素 C. CCl 难溶于水、比水易溶解I ,可用CCl 萃取碘水中的I 4 2 4 2 D. 不同的烃密度不同,可通过分馏从石油中获得汽油、柴油 光 8. 以稀H SO 为电解质溶液的光解水装置如图所示,总反应为2H O 2H O 。下列说法正 2 4 2 催化剂 2 2 确的是 A. 电极a上发生氧化反应生成O 2 B. H通过质子交换膜从右室移向左室 C. 光解前后,H SO 溶液的pH不变 2 4 D. 外电路每通过0.01mol电子,电极b上产生0.01molH 2 9. 化合物Z是一种具有生理活性的多环呋喃类化合物,部分合成路线如下: 下列说法正确的是 第3页/共14页 学科网(北京)股份有限公司A 1molX最多能和4molH 发生加成反应 . 2 B.Y分子中sp3 和sp2杂化的碳原子数目比为1:2 C.Z分子中所有碳原子均在同一个平面上 D.Z不能使Br 的CCl 溶液褪色 2 4 10. CO 与NO通过电催化反应生成CO  NH  ,可能的反应机理如图所示(图中吸附在催化剂表面的物 2 3 2 2 种用“*”标注)。下列说法正确的是 A. 过程Ⅱ和过程Ⅲ都有极性共价键形成 B. 过程Ⅱ中NO发生了氧化反应 3 C. 电催化CO 与NO生成CO  NH  的反应方程式: 2 3 2 2 通电 CO 2NO 18H CO  NH  7H O 2 3 催化剂 2 2 2 D. 常温常压、无催化剂条件下,CO 与NH H O反应可生产CO  NH  2 3 2 2 2 11. 探究含铜化合物性质的实验如下: 步骤Ⅰ 取一定量5%CuSO 溶液,加入适量浓氨水,产生蓝色沉淀。 4 步骤Ⅱ 将沉淀分成两等份,分别加入相同体积的浓氨水、稀盐酸,沉淀均完全溶解,溶液分别呈现深蓝色、 蓝色。 步骤Ⅲ 向步骤Ⅱ所得的深蓝色溶液中插入一根打磨过的铁钉,无明显现象;继续加入稀盐酸,振荡后静置, 产生少量气泡,铁钉表面出现红色物质。 下列说法正确的是 A. 步骤Ⅰ产生的蓝色沉淀为  Cu  NH 3  4   SO 4 B. 步骤Ⅱ的两份溶液中:c  Cu2 c  Cu2 深蓝色 蓝色 第4页/共14页 学科网(北京)股份有限公司C. 步骤Ⅲ中无明显现象是由于铁钉遇深蓝色溶液迅速钝化 D. 步骤Ⅲ中产生气体、析出红色物质的反应为  Cu  NH    2 FeCuFe2 4NH  3 4 3 12. 室温下,有色金属冶炼废渣(含Cu、Ni、Si等的氧化物)用过量的较浓H SO 溶液酸浸后,提取铜和镍 2 4 的过程如下所示。 已知:K  HSO 1.2102,K  H SO 1.2102,K  H SO 6.0108。下列说法正确的是 a 4 al 2 3 a2 2 3 A. 较浓H SO 溶液中:c  H 2c  SO2 c  OH 2 4 4 B. NaHSO 溶液中:2HSO SO2 H SO 的平衡常数K 5.0106 3 3 3 2 3 C.  NH  C O 溶液中:c  NH H O c  OH c  H C O c  HC O c  H 4 2 2 4 3 2 2 2 4 2 4 D.“提铜”和“沉镍”后的两份滤液中:c  Na c  Na 提铜 沉镍   13. 甘油 C H O 水蒸气重整获得H 过程中的主要反应: 3 8 3 2 反应Ⅰ C H O (g)3CO(g)4H (g) H0 3 8 3 2 反应Ⅱ CO(g)H O(g)CO (g)H (g) H 0 2 2 2 反应Ⅲ CO (g)4H (g)CH (g)2H O(g) H0 2 2 4 2 1.0105Pa条件下,1molC H O 和9molH O发生上述反应达平衡状态时,体系中CO、H 、CO 和 3 8 3 2 2 2 CH 的物质的量随温度变化的理论计算结果如图所示。下列说法正确的是 4 A. 550℃时,H O的平衡转化率为20% 2 第5页/共14页 学科网(北京)股份有限公司B. 550℃反应达平衡状态时,n  CO  :n(CO)11:25 2 C. 其他条件不变,在400~550℃范围,平衡时H O的物质的量随温度升高而增大 2 D. 其他条件不变,加压有利于增大平衡时H 的物质的量 2 二、非选择题:共 4题,共 61分。 14. ZnS可用于制备光学材料和回收砷。 (1)制备ZnS。由闪锌矿[含ZnS、FeS及少量硫化镉  CdS  等]制备ZnS的过程如下: 已知:K (ZnS)1.61024,K (CdS)8.01027,K  H S 1.0107,K  H S 1.21013。当 sp sp a1 2 a2 2 离子浓度小于1.0105molL1时,认为离子沉淀完全。 ①酸浸时通入O 可提高Zn2浸出率的原因是_______。 2 ②通入H S除镉。通过计算判断当溶液pH0、c  H S 0.01molL1时,Cd2是否沉淀完全_______(写 2 2 出计算过程)。 ③沉锌前调节溶液的pH至4~5,加入的氧化物为_______(填化学式)。 (2)制备光学材料。如图甲所示,ZnS晶体中掺入少量CuCl后,会出现能量不同的“正电”区域、“负 电”区域,光照下发出特定波长的光。 区域A“ ”中的离子为_______(填离子符号),区域B带_______(填“正电”或“负电”)。 (3)回收砷。用ZnS去除酸性废液中的三价砷[As(Ⅲ)],并回收生成的As S 沉淀。 2 3 已知:溶液中As(Ⅲ)主要以弱酸H AsO 形式存在,As S 6H O2H AsO 3H S。 3 3 2 3 2 3 3 2 60℃时,按n(S):n(As)7:1向酸性废液中加入ZnS,砷回收率随反应时间的变化如图乙所示。 第6页/共14页 学科网(北京)股份有限公司①写出ZnS与H AsO 反应生成As S 的离子方程式:_______。 3 3 2 3 ②反应4h后,砷回收率下降的原因有_______。 15.G是一种四环素类药物合成中间体,其合成路线如下: (1)A分子中,与2号碳相比,1号碳的C—H键极性相对_______(填“较大”或“较小”)。 (2)D  E会产生与E互为同分异构体且含五元环的副产物,其结构简式为_______。 (3)E分子中含氧官能团名称为醚键、羰基和_______,F分子中手性碳原子数目为_______。 (4)写出同时满足下列条件的G的一种同分异构体的结构简式:_______。     ①含有3种不同化学环境的氢原子;②碱性条件下水解后酸化,生成X和Y两种有机产物,n X :n Y =2:1, X的相对分子质量为60,Y含苯环且能与FeCl 溶液发生显色反应。 3 第7页/共14页 学科网(北京)股份有限公司(5)写出以 和 为原料制备 的合成路线流程图_______(无机 试剂和两碳以下的有机试剂任用,合成路线示例见本题题干)。 16. 海洋出水铁质文物表面有凝结物,研究其形成原理和脱氯方法对保护文物意义重大。 (1)文物出水清淤后,须尽快浸泡在稀NaOH或Na CO 溶液中进行现场保护。 2 3 ①玻璃中的SiO 能与NaOH反应生成_______(填化学式),故不能使用带磨口玻璃塞的试剂瓶盛放NaOH 2 溶液。 ②文物浸泡在碱性溶液中比暴露在空气中能减缓吸氧腐蚀,其原因有_______。 (2)文物表面凝结物种类受文物材质和海洋环境等因素的影响。 ①无氧环境中,文物中的Fe与海水中的SO2在细菌作用下形成FeS等含铁凝结物。写出Fe与SO2反应 4 4 生成FeS和Fe(OH) 的离子方程式:_______。 2 ②有氧环境中,海水中的铁质文物表面形成FeOOH等凝结物。   (i)铁在盐水中腐蚀的可能原理如图所示。依据原理设计如下实验:向NaCl溶液中加入K Fe(CN) 溶液 3 6 (能与Fe2形成蓝色沉淀)和酚酞,将混合液滴到生铁片上。预测该实验的现象为_______。 (ii)铁的氢氧化物吸附某些阳离子形成带正电的胶粒,是凝结物富集Cl的可能原因。该胶粒的形成过程中, 参与的主要阳离子有_______(填离子符号)。 (3)为比较含氯FeOOH在NaOH溶液与蒸馏水中浸泡的脱氯效果,请补充实验方案:取一定量含氯 FeOOH模拟样品,将其分为两等份,_______,比较滴加AgNO 溶液体积[K (AgCl)1.81010。实 3 sp 验须遵循节约试剂用量的原则,必须使用的试剂:蒸馏水、0.5molL1NaOH溶液、0.5molL1HNO 溶 3 液、0.05molL1AgNO 溶液]。 3 17. 合成气(CO和H )是重要的工业原料气。 2 第8页/共14页 学科网(北京)股份有限公司(1)合成气制备甲醇:CO(g)2H (g) CH OH(g) 。CO的结构式为CO,估算该反应的H需要 2 3 _______(填数字)种化学键的键能数据。 (2)合成气经“变换”“脱碳”获得纯H 。 2 ①合成气变换。向绝热反应器中通入CO、H 和过量的H O(g): 2 2 低温型催化剂 CO(g)H O(g) CO (g)H (g) H0 。催化作用受接触面积和温度等因素影响, 2 约230C、3MPa 2 2     H O g 的比热容较大。H O g 过量能有效防止催化剂活性下降,其原因有_______。 2 2 ②脱碳在钢制吸收塔中进行,吸收液成分:质量分数30%的K CO 吸收剂、K CrO (Cr正价有3、6) 2 3 2 4 缓蚀剂等。K CO 溶液浓度偏高会堵塞设备,导致堵塞的物质是_______(填化学式)。K CrO 减缓设备腐 2 3 2 4 蚀的原理是_______。 x (3)研究CH 、H O(g)与不同配比的铁铈载氧体[ Fe O (1x)CeO ,0 x 1,Ce是活泼金属,正 4 2 2 2 3 2 价有3、4]反应,气体分步制备原理示意如图甲所示。相同条件下,先后以一定流速通入固定体积的 CH 、H O  g  ,依次发生的主要反应: 4 2 步骤Ⅰ CH 载氧体供氧CO2H 4 850℃ 2 步骤Ⅱ H O载氧体夺氧H 2 400℃ 2     n H n H ①步骤Ⅰ中,产物气体积分数、CH 转化率、 2 与x的关系如图乙所示。x0时, 2 大于理论 4 n(CO) n(CO) 值2的可能原因有_______;x0.5时,通入标准状况下300mL的CH 至反应结束,CO的选择性 4 n (CO)  生成 100%80%,则生成标准状况下CO和H 的总体积为_______mL。 n  CH  2 转化 4 第9页/共14页 学科网(北京)股份有限公司②x0.5时,新制载氧体、与CH 反应后的载氧体的X射线衍射谱图如图丙所示(X射线衍射用于判断某 4   晶态物质是否存在,不同晶态物质出现衍射峰的衍射角不同)。步骤Ⅱ中,能与H O g 反应的物质有 2 _______(填化学式)。 ③结合图示综合分析,步骤Ⅰ中Fe O 的作用、气体分步制备的价值:_______。 2 3 第10页/共14页 学科网(北京)股份有限公司2025 年普通高中学业水平选择性考试(江苏卷) 化学 本试卷满分 100分,考试时间 75分钟。 可能用到的相对原子质量: H—1 C—12 O—16 S—32 Cl —35.5 K —39 Fe—56 Zn—65 As—75 Cd —112 Ce —140 一、单项选择题:共 13题,每题 3分,共 39分。每题只有一个选项最符合题意。 【1题答案】 【答案】A 【2题答案】 【答案】C 【3题答案】 【答案】D 【4题答案】 【答案】C 【5~7题答案】 【答案】5.D 6.D 7.C 【8题答案】 【答案】A 【9题答案】 【答案】B 【10题答案】 【答案】A 【11题答案】 【答案】B 【12题答案】 【答案】B 【13题答案】 【答案】A 第11页/共14页 学科网(北京)股份有限公司二、非选择题:共 4题,共 61分。 【14题答案】 【答案】(1) ①. 氧化S2生成S,促进酸浸反应正向进行 ②. 否。pH 0时,c  H 1molL1 c  S2  K a1  H 2 S K a2  H 2 S c  H 2 S   1.01071.21013102 molL1 1.21022molL1 c2 H 12 c  Cd2  K c sp   S C 2 d  S   8 1 . . 0 2   1 1 0 0   2 2 7 molL1 6.67105molL1 1.0105molL1 ,则Cd2未沉淀 完全 ③.ZnO (2) ①. Cl ②. 负电 (3) ①. 2H AsO 3ZnS6H As S 3Zn2 6H O ②. 随着反应的进行,溶液pH增大, 3 3 2 3 2 溶液中H S浓度减小,促进As S 6H O2H AsO 3H S平衡正向移动,As S 重新溶解,砷回收 2 2 3 2 3 3 2 2 3 率下降 【15题答案】 【答案】(1)较大 (2) (3) ①. 羧基 ②.1 ( 4 ) 或 ( 5 ) 第12页/共14页 学科网(北京)股份有限公司【16题答案】 【答案】(1) ①. Na SiO ②. 碱性环境抑制吸氧腐蚀正极反应的进行,反应速率减慢;碱性溶液 2 3 中,O 溶解度较小,减少文物与O 的接触,减缓吸氧腐蚀 来源:高三答案公众号 2 2 细菌 (2) ①. 4FeSO2 4H O FeS3Fe(OH) 2OH ②. 滴加混合溶液后,铁片表面将 4 2 2 出现蓝色和红色区域,较长时间后出现黄色斑点 ③. Fe3、Fe2 (3)分别加入等体积(如5mL)的0.5molL1NaOH溶液和蒸馏水至浸没样品,在室温下,搅拌、浸泡30min; 过滤,各取等量上清液(如2mL)置于两支小试管中,分别滴加3mL0.5molL1HNO 溶液酸化,再分别滴 3 加0.05molL1AgNO 溶液;记录每份上清液至出现AgCl白色沉淀时消耗的AgNO 溶液体积 3 3 【17题答案】   【答案】(1)5 (2) ①. 该反应为放热反应,在绝热容器中进行,H O g 的比热容较大,则体系 2   温度变化较小,催化剂活性受温度影响,H O g 过量可有效防止催化剂活性下降 ②. KHCO ③. 2 3 K CrO 具有强氧化性,能使设备表面形成一层致密的氧化膜 2 4 (3) ①. 当x0时,载氧体为CeO ,氧化性较强,提供的O原子较多,将CO氧化为CO ,使得 2 2 第13页/共14页 学科网(北京)股份有限公司  n H CO的物质的量减小, 2 增大 ②.432 ③.C、Fe、FeO ④. 步骤Ⅰ中Fe O 作载氧体供氧, n  CO  2 3 将甲烷转化为CO和氢气,避免生成大量积炭导致催化剂失活;采用分步制备,可提高原料利用率,且可以 有效消除积碳使催化剂再生,同时步骤Ⅰ需要的温度较高,步骤Ⅱ需要的温度较低,分步制备也可节约能源 第14页/共14页 学科网(北京)股份有限公司