当前位置:首页>文档>专题1-4一文搞定反比例函数7个模型,13类题型(原卷版)_02中考总复习(2026版更新中)_02-数学-中考总复习_2024年中考复习资料_专项复习资料

专题1-4一文搞定反比例函数7个模型,13类题型(原卷版)_02中考总复习(2026版更新中)_02-数学-中考总复习_2024年中考复习资料_专项复习资料

  • 2026-04-17 04:36:21 2026-03-06 04:08:54

文档预览

专题1-4一文搞定反比例函数7个模型,13类题型(原卷版)_02中考总复习(2026版更新中)_02-数学-中考总复习_2024年中考复习资料_专项复习资料
专题1-4一文搞定反比例函数7个模型,13类题型(原卷版)_02中考总复习(2026版更新中)_02-数学-中考总复习_2024年中考复习资料_专项复习资料
专题1-4一文搞定反比例函数7个模型,13类题型(原卷版)_02中考总复习(2026版更新中)_02-数学-中考总复习_2024年中考复习资料_专项复习资料
专题1-4一文搞定反比例函数7个模型,13类题型(原卷版)_02中考总复习(2026版更新中)_02-数学-中考总复习_2024年中考复习资料_专项复习资料
专题1-4一文搞定反比例函数7个模型,13类题型(原卷版)_02中考总复习(2026版更新中)_02-数学-中考总复习_2024年中考复习资料_专项复习资料
专题1-4一文搞定反比例函数7个模型,13类题型(原卷版)_02中考总复习(2026版更新中)_02-数学-中考总复习_2024年中考复习资料_专项复习资料
专题1-4一文搞定反比例函数7个模型,13类题型(原卷版)_02中考总复习(2026版更新中)_02-数学-中考总复习_2024年中考复习资料_专项复习资料
专题1-4一文搞定反比例函数7个模型,13类题型(原卷版)_02中考总复习(2026版更新中)_02-数学-中考总复习_2024年中考复习资料_专项复习资料
专题1-4一文搞定反比例函数7个模型,13类题型(原卷版)_02中考总复习(2026版更新中)_02-数学-中考总复习_2024年中考复习资料_专项复习资料
专题1-4一文搞定反比例函数7个模型,13类题型(原卷版)_02中考总复习(2026版更新中)_02-数学-中考总复习_2024年中考复习资料_专项复习资料
专题1-4一文搞定反比例函数7个模型,13类题型(原卷版)_02中考总复习(2026版更新中)_02-数学-中考总复习_2024年中考复习资料_专项复习资料
专题1-4一文搞定反比例函数7个模型,13类题型(原卷版)_02中考总复习(2026版更新中)_02-数学-中考总复习_2024年中考复习资料_专项复习资料
专题1-4一文搞定反比例函数7个模型,13类题型(原卷版)_02中考总复习(2026版更新中)_02-数学-中考总复习_2024年中考复习资料_专项复习资料
专题1-4一文搞定反比例函数7个模型,13类题型(原卷版)_02中考总复习(2026版更新中)_02-数学-中考总复习_2024年中考复习资料_专项复习资料
专题1-4一文搞定反比例函数7个模型,13类题型(原卷版)_02中考总复习(2026版更新中)_02-数学-中考总复习_2024年中考复习资料_专项复习资料
专题1-4一文搞定反比例函数7个模型,13类题型(原卷版)_02中考总复习(2026版更新中)_02-数学-中考总复习_2024年中考复习资料_专项复习资料
专题1-4一文搞定反比例函数7个模型,13类题型(原卷版)_02中考总复习(2026版更新中)_02-数学-中考总复习_2024年中考复习资料_专项复习资料
专题1-4一文搞定反比例函数7个模型,13类题型(原卷版)_02中考总复习(2026版更新中)_02-数学-中考总复习_2024年中考复习资料_专项复习资料
专题1-4一文搞定反比例函数7个模型,13类题型(原卷版)_02中考总复习(2026版更新中)_02-数学-中考总复习_2024年中考复习资料_专项复习资料
专题1-4一文搞定反比例函数7个模型,13类题型(原卷版)_02中考总复习(2026版更新中)_02-数学-中考总复习_2024年中考复习资料_专项复习资料
专题1-4一文搞定反比例函数7个模型,13类题型(原卷版)_02中考总复习(2026版更新中)_02-数学-中考总复习_2024年中考复习资料_专项复习资料
专题1-4一文搞定反比例函数7个模型,13类题型(原卷版)_02中考总复习(2026版更新中)_02-数学-中考总复习_2024年中考复习资料_专项复习资料
专题1-4一文搞定反比例函数7个模型,13类题型(原卷版)_02中考总复习(2026版更新中)_02-数学-中考总复习_2024年中考复习资料_专项复习资料
专题1-4一文搞定反比例函数7个模型,13类题型(原卷版)_02中考总复习(2026版更新中)_02-数学-中考总复习_2024年中考复习资料_专项复习资料
专题1-4一文搞定反比例函数7个模型,13类题型(原卷版)_02中考总复习(2026版更新中)_02-数学-中考总复习_2024年中考复习资料_专项复习资料
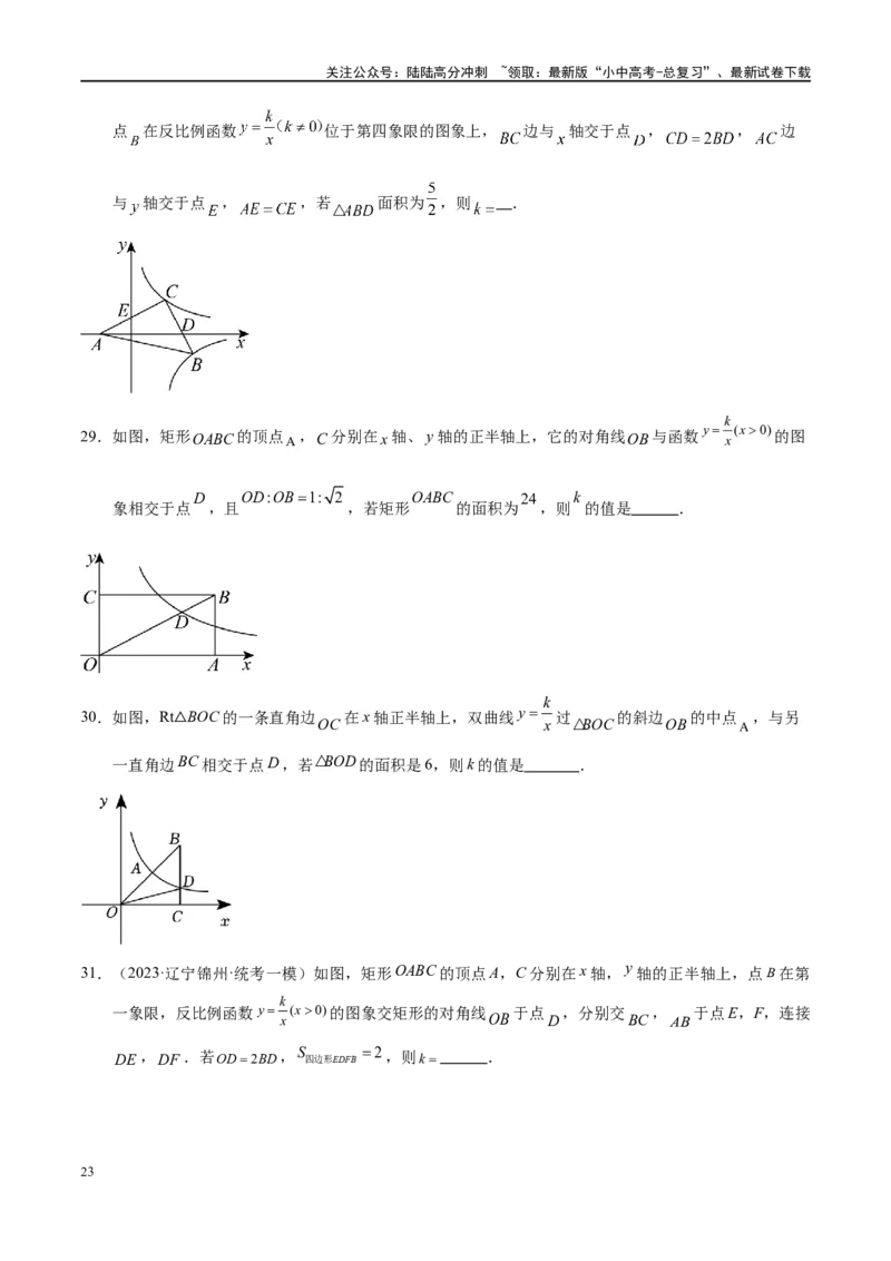
专题1-4一文搞定反比例函数7个模型,13类题型(原卷版)_02中考总复习(2026版更新中)_02-数学-中考总复习_2024年中考复习资料_专项复习资料
专题1-4一文搞定反比例函数7个模型,13类题型(原卷版)_02中考总复习(2026版更新中)_02-数学-中考总复习_2024年中考复习资料_专项复习资料
专题1-4一文搞定反比例函数7个模型,13类题型(原卷版)_02中考总复习(2026版更新中)_02-数学-中考总复习_2024年中考复习资料_专项复习资料
专题1-4一文搞定反比例函数7个模型,13类题型(原卷版)_02中考总复习(2026版更新中)_02-数学-中考总复习_2024年中考复习资料_专项复习资料
专题1-4一文搞定反比例函数7个模型,13类题型(原卷版)_02中考总复习(2026版更新中)_02-数学-中考总复习_2024年中考复习资料_专项复习资料
专题1-4一文搞定反比例函数7个模型,13类题型(原卷版)_02中考总复习(2026版更新中)_02-数学-中考总复习_2024年中考复习资料_专项复习资料
专题1-4一文搞定反比例函数7个模型,13类题型(原卷版)_02中考总复习(2026版更新中)_02-数学-中考总复习_2024年中考复习资料_专项复习资料
专题1-4一文搞定反比例函数7个模型,13类题型(原卷版)_02中考总复习(2026版更新中)_02-数学-中考总复习_2024年中考复习资料_专项复习资料
专题1-4一文搞定反比例函数7个模型,13类题型(原卷版)_02中考总复习(2026版更新中)_02-数学-中考总复习_2024年中考复习资料_专项复习资料
专题1-4一文搞定反比例函数7个模型,13类题型(原卷版)_02中考总复习(2026版更新中)_02-数学-中考总复习_2024年中考复习资料_专项复习资料
专题1-4一文搞定反比例函数7个模型,13类题型(原卷版)_02中考总复习(2026版更新中)_02-数学-中考总复习_2024年中考复习资料_专项复习资料
专题1-4一文搞定反比例函数7个模型,13类题型(原卷版)_02中考总复习(2026版更新中)_02-数学-中考总复习_2024年中考复习资料_专项复习资料
专题1-4一文搞定反比例函数7个模型,13类题型(原卷版)_02中考总复习(2026版更新中)_02-数学-中考总复习_2024年中考复习资料_专项复习资料
专题1-4一文搞定反比例函数7个模型,13类题型(原卷版)_02中考总复习(2026版更新中)_02-数学-中考总复习_2024年中考复习资料_专项复习资料
专题1-4一文搞定反比例函数7个模型,13类题型(原卷版)_02中考总复习(2026版更新中)_02-数学-中考总复习_2024年中考复习资料_专项复习资料
专题1-4一文搞定反比例函数7个模型,13类题型(原卷版)_02中考总复习(2026版更新中)_02-数学-中考总复习_2024年中考复习资料_专项复习资料
专题1-4一文搞定反比例函数7个模型,13类题型(原卷版)_02中考总复习(2026版更新中)_02-数学-中考总复习_2024年中考复习资料_专项复习资料
专题1-4一文搞定反比例函数7个模型,13类题型(原卷版)_02中考总复习(2026版更新中)_02-数学-中考总复习_2024年中考复习资料_专项复习资料
专题1-4一文搞定反比例函数7个模型,13类题型(原卷版)_02中考总复习(2026版更新中)_02-数学-中考总复习_2024年中考复习资料_专项复习资料
专题1-4一文搞定反比例函数7个模型,13类题型(原卷版)_02中考总复习(2026版更新中)_02-数学-中考总复习_2024年中考复习资料_专项复习资料
专题1-4一文搞定反比例函数7个模型,13类题型(原卷版)_02中考总复习(2026版更新中)_02-数学-中考总复习_2024年中考复习资料_专项复习资料
专题1-4一文搞定反比例函数7个模型,13类题型(原卷版)_02中考总复习(2026版更新中)_02-数学-中考总复习_2024年中考复习资料_专项复习资料
专题1-4一文搞定反比例函数7个模型,13类题型(原卷版)_02中考总复习(2026版更新中)_02-数学-中考总复习_2024年中考复习资料_专项复习资料
专题1-4一文搞定反比例函数7个模型,13类题型(原卷版)_02中考总复习(2026版更新中)_02-数学-中考总复习_2024年中考复习资料_专项复习资料
专题1-4一文搞定反比例函数7个模型,13类题型(原卷版)_02中考总复习(2026版更新中)_02-数学-中考总复习_2024年中考复习资料_专项复习资料
专题1-4一文搞定反比例函数7个模型,13类题型(原卷版)_02中考总复习(2026版更新中)_02-数学-中考总复习_2024年中考复习资料_专项复习资料
专题1-4一文搞定反比例函数7个模型,13类题型(原卷版)_02中考总复习(2026版更新中)_02-数学-中考总复习_2024年中考复习资料_专项复习资料
专题1-4一文搞定反比例函数7个模型,13类题型(原卷版)_02中考总复习(2026版更新中)_02-数学-中考总复习_2024年中考复习资料_专项复习资料
专题1-4一文搞定反比例函数7个模型,13类题型(原卷版)_02中考总复习(2026版更新中)_02-数学-中考总复习_2024年中考复习资料_专项复习资料
专题1-4一文搞定反比例函数7个模型,13类题型(原卷版)_02中考总复习(2026版更新中)_02-数学-中考总复习_2024年中考复习资料_专项复习资料
专题1-4一文搞定反比例函数7个模型,13类题型(原卷版)_02中考总复习(2026版更新中)_02-数学-中考总复习_2024年中考复习资料_专项复习资料
专题1-4一文搞定反比例函数7个模型,13类题型(原卷版)_02中考总复习(2026版更新中)_02-数学-中考总复习_2024年中考复习资料_专项复习资料
专题1-4一文搞定反比例函数7个模型,13类题型(原卷版)_02中考总复习(2026版更新中)_02-数学-中考总复习_2024年中考复习资料_专项复习资料
专题1-4一文搞定反比例函数7个模型,13类题型(原卷版)_02中考总复习(2026版更新中)_02-数学-中考总复习_2024年中考复习资料_专项复习资料
专题1-4一文搞定反比例函数7个模型,13类题型(原卷版)_02中考总复习(2026版更新中)_02-数学-中考总复习_2024年中考复习资料_专项复习资料

文档信息

文档格式
docx
文档大小
3.974 MB
文档页数
60 页
上传时间
2026-03-06 04:08:54

文档内容

关注公众号:陆陆高分冲刺 ~领取:最新版“小中高考-总复习”、最新试卷下载 专题 1-4 一文搞定反比例函数 7 个模型,13 类题型 知识点梳理..........................................................................................................................................2 题型一 |k|模型................................................................................................................................................... 题型二 面积模型................................................................................................................................................ 题型三 垂直模型................................................................................................................................................ 题型四 比例端点模型........................................................................................................................................ 题型五 矩形模型(平行,比例性质)............................................................................................................ 题型六 等线段模型............................................................................................................................................ 题型七 等角模型................................................................................................................................................ 题型八 反比例函数中的设而不求法.............................................................................................................. 题型九 反比例函数与相似相似三角形结合.................................................................................................... 题型十 反比例函数与一次函数综合................................................................................................................ 题型十一 反比例函数中的探究类问题............................................................................................................ 题型十二 反比例函数与与几何综合................................................................................................................ 题型十三 反比例函数的找规律问题................................................................................................................ 知识点梳理 【模型1】|k|模型 1关注公众号:陆陆高分冲刺 ~领取:最新版“小中高考-总复习”、最新试卷下载 结论1:S =|k|:结论2:S =|k| 矩形 三角形 【模型2】面积模型(四类) 类型一 S S 结论: AOB 梯形ABNM 证明: S  S S AOB 四边形AONB BON S  S S 梯形ABNM 四边形AONB AOM  S  S BON AOM S  S . AOB 梯形ABNM 类型二 结论:① AO=BO,AB关于原点对称,② S =4|k| △ABC 类型三 2关注公众号:陆陆高分冲刺 ~领取:最新版“小中高考-总复习”、最新试卷下载 结论:① ABCD为平行四边形,② S =4S 四边形ABCD △AOB 类型四 结论:S =k-k 四边形ABOC 2 1 【模型3】垂直模型 2 k S OB 结论:OAOB 1  OBC    k S OA 2 OAD 2 k S OB 证明:作BC⊥x轴,AD⊥x轴,则△BCO∽△ODA,∴OAOB 1  OBC    k S OA 2 OAD 【模型4】比例端点模型 出现比例端点时可以考虑作垂线构造相似或设点坐标来转化 3关注公众号:陆陆高分冲刺 ~领取:最新版“小中高考-总复习”、最新试卷下载 2 BC OD 结论:    BA  OA 证明:过点D作DE⊥x轴,ODE ~ OAB, 2 S OD  ODE    , S  OA  S  S OAB ODE OBC 2 OD S S BC   ODE  OBC     OA S S BA OAB OAB 【模型5】矩形模型(平行性质和比例性质) 一、比例性质 k 如图,A,B是反比例函数y= 图象上任意两点,过A、B作x轴、y轴垂线段 x 线段比(共线的线段之比为定值) AD CE 证明一:∵S =S , ∴ = 矩形OADF 矩形OGEC AOAD=CECO AB CB S S AD CE 证明二:∵ 矩形ADFO = 矩形CEGO ⇒ = S S AB CB 矩形ABCO 矩形ABCO AD CE 结论: = AB CB 二、平行性质 4关注公众号:陆陆高分冲刺 ~领取:最新版“小中高考-总复习”、最新试卷下载 如图1、图2、图3,点A、B是反比例函数y= 图象上的任意两点,过点A作y轴的垂线,垂足为点C,过 点B作x轴的垂线,垂足为点D,连接AB、CD,则AB∥CD. y y y A B C A C B A D O x C O D x O D x B 图1 图2 图3 下面以图1为例来证明(图2、图3证法类似): 法一:面积法(等积变形) 如图,易知S =S ,因为两个三角形同底等高,故ED∥CA △ACE ADE △ y y y C E B C E B C E B D D D x x x O A O A O A BE BD 由平行关系还可以得出其它性质: ,  (平行线分线段成比例) BED∽BCA CE DA 补充 5关注公众号:陆陆高分冲刺 ~领取:最新版“小中高考-总复习”、最新试卷下载 简证 AE EB OG OF 证明一:由比例性质可知, = , = ,根据相似可知AB∥CD∥GF EC ED OC OD k k 证明二:∵S =S = S =S = ΔBDO ΔBDC 2 ΔAOC ΔADC 2 S =S AB//CD ΔBDC ΔADC ∴ ∴ , 同理可证CD∥GF 方法二:连接OA、OB,延长CA、DB交于点E y A E C B O D x 则OC=DE,OD=CE 由k的几何意义可知S =S AOC △BOD △ 1 1 OD OC  ACOC  BDOD,  2 2 AC BD CE DE AE BE   ,  AC BD CE DE 又∵∠E=∠E,∴△EAB∽△ECD ∴∠EAB=∠ECD,∴AB∥CD 方法三:延长CA、DB交于点E 6关注公众号:陆陆高分冲刺 ~领取:最新版“小中高考-总复习”、最新试卷下载 y A E C B O D x  k   k   k  A a, B b, E b,       设  a ,  b ,则  a k k k AE ba, CE b, BE   , DE  a b a AE BE ba    CE DE b 又∵∠E=∠E,∴△EAB∽△ECD ∴∠EAB=∠ECD,∴AB∥CD 补充拓展:矩形模型中的翻折 k 如图,矩形 OABC顶点A,C分别位于 x轴,y轴正半轴,反比例函数 y  在第一象限图象交矩形 x OABC两边于D,E点,将△BED沿ED翻折,若B点刚好落在x轴上的点F处,则EO=EF y E B C D O F A x 【模型六】等线段模型 如图1、图2,点A、B是反比例函数y= 图象上的任意两点,直线AB交y轴于点C,交x轴于点D,则 AC=BD. 7关注公众号:陆陆高分冲刺 ~领取:最新版“小中高考-总复习”、最新试卷下载 y y C A A C B D O D x O x B 图1 图2 证明:作AE⊥y轴于点E,作BF⊥x轴于点F 由平行性质可知AB∥EF ∴四边形CEFB和四边形AEFD均为平行四边形 ∴BC=EF=AD,∴AC=BD y y C A E A E B C F O F D x D O x B 【模型七】等角模型 模型一:如图,点A、B是反比例函数 图象上的任意两点,直线OB交反比例函数 的图象于另一 点C,直线AC交x轴于点D,交y轴于点E,直线AB交x轴于点F,交y轴于点G,则∠ADF=∠AFD, ∠AEG=∠AGE,由此可得AD=AF,CD=AE=AG=BF,AB=DE. y G A E B D O F x C 8关注公众号:陆陆高分冲刺 ~领取:最新版“小中高考-总复习”、最新试卷下载 证明:作CN∥x轴,AN∥y轴,BM⊥AN于M y G A E B M D O F x C N 则∠ADF=∠ACN,∠AFD=∠ABM 设A(a,),B(b,),则C(-b,-) ∴CN=a+b,AN=+,BM=b-a,AM=- ∴tan∠ACN===,tan∠ABM=== ∴tan∠ACN=tan∠ABM,∴∠ACN=∠ABM ∴∠ADF=∠AFD,∴AD=AF,∠CEO=∠FGO ∵∠AEG=∠CEO,∴∠FGO=∠AEG ∴AE=AG ∵AG=BF,∴AE=BF,∴AB=DE ∵CD=AE,∴CD=AE=AG=BF 模型二:如图,平行四边形ABCD顶点A,B位于反比例函数 在第一象限的图象上, C,D分别位于x轴正半轴和y轴正半轴上,则必然有∠1=∠2,∠3=∠4 y A 4 D 3 B 2 1 x O C 9关注公众号:陆陆高分冲刺 ~领取:最新版“小中高考-总复习”、最新试卷下载 证明1:延长直线AB,分别交y轴、x轴于E,F。 y E A 4 G D 3 B 7 H 6 2 1 5 x O C F 取AB中点G,连GO交DC于H。 由反比例函数图象基本结论知,G也是EF中点。 ∴∠6=∠5=∠2,∴H为DC中点,∴GO∥BC ∴∠1=∠6=∠2,进而可知∠3=∠7=∠4 证明2:延长直线AB,分别交y轴、x轴于E,F。 y E A 4 I D 3 B 2 1 5 x O C F 过C点作y轴平行线,交AB于I,构平行四边形EDCI ∴EI=DC=AB,即EA=IB,又由基本结论知EA=BF ∴IB=BF,∴∠2=∠5=∠1,同理可证∠3=∠4 模型三:如图,平行四边形ABCD顶点A,B位于反比例函数 在第一象限的图象上, C,D分别位于y轴负半轴和x轴负半轴上,则必然有∠1=∠2,∠3=∠4 10关注公众号:陆陆高分冲刺 ~领取:最新版“小中高考-总复习”、最新试卷下载 y A B D 3 O x 4 1 2 C 证明1:延长直线AB,分别交y轴、x轴于E,F。 取AB中点G,连GO并延长交DC于H。 由反比例函数图象基本结论知,G也是EF中点。 ∴∠1=∠5=∠7=∠6,∴H为DC中点,∴GH∥BC ∴∠1=∠6=∠2,进而可推∠3=∠4 y E 5 A G B 7 D 3 O x 4 F 6 H 1 2 C 证明2:延长直线AB,分别交y轴、x轴于E,F。 过C作x轴垂线,交直线AB于I,构平行四边形DCIF ∴FI =DC =AB ,又由基本结论知AE=BF,∴BE=BI ∴∠1=∠5=∠2,进而可推∠3=∠4 11关注公众号:陆陆高分冲刺 ~领取:最新版“小中高考-总复习”、最新试卷下载 y E 5 A B D 3 O 4 F x 12 I C 题型一 |k|模型 1.如图是反比例函数 和 在第一象限的图象,直线 轴,并分别交两条 曲线于 两点,若 ,则 的值是( ) A.1 B.2 C.4 D.8 2.如图,过 轴正半轴上的任意一点 ,作 轴的平行线,分别与反比例函数 和 的图象交于 点 和点 ,点 是 轴上的任意一点,连接 、 ,则 的面积为( ) 12关注公众号:陆陆高分冲刺 ~领取:最新版“小中高考-总复习”、最新试卷下载 A.2 B.3 C.4 D.8 2023 年辽宁省丹东市中考数学真题 k y x0 3.如图,点A是反比例函数 x 的图象上一点,过点A作AC x轴,垂足为点C,延长AC至点 B,使BC 2AC,点D是y轴上任意一点,连接AD,BD,若△ABD的面积是6,则k . 2022 年湖南省郴州市中考数学真题 2 8 4.如图,在函数y x0 的图像上任取一点A,过点A作y轴的垂线交函数y x0 的图像于点 x x B,连接OA,OB,则AOB的面积是( ) A.3 B.5 C.6 D.10 5.如图,直线 与反比例函数 、 的图象分别交于B、C两点,A为y轴上 13关注公众号:陆陆高分冲刺 ~领取:最新版“小中高考-总复习”、最新试卷下载 任意一点, 的面积为3,则k的值为 . 2023·黑龙江齐齐哈尔·统考中考真题 k k 6.如图,点A在反比例函数y k 0 图像的一支上,点B在反比例函数y 图像的一支上,点 x 2x C,D在x轴上,若四边形ABCD是面积为9的正方形,则实数k的值为 . 题型二 面积模型 7.两个反比例函数 和 在第一象限内的图象如图所示,点P在 的图象上, 轴于点 C,交 的图象于点A, 轴于点D,交 的图象于点B,当点P在 的图象上运动时, 以下结论: ① 与 的面积相等; ②四边形 的面积不会发生变化; ③ 与 始终相等; ④当点 是 的中点时,点 一定是 的中点. 14关注公众号:陆陆高分冲刺 ~领取:最新版“小中高考-总复习”、最新试卷下载 其中,正确的结论有( )个 A.1 B.2 C.3 D.4 2022 年山东省日照市中考数学试卷 k 8.如图,矩形OABC与反比例函数y  1 (k 是非零常数,x>0)的图象交于点M,N,与反比例函数 1 x 1 k y  2 2 x (k 2 是非零常数,x>0)的图象交于点B,连接OM,ON.若四边形OMBN的面积为3,则k 1 - k=( ) 2 3 3 A.3 B.-3 C. D. 2 2 9.如图,反比例函数 在第一象限的图象上有两点A,B,它们的横坐标分别是2,6,则△AOB的面 积是 . 15关注公众号:陆陆高分冲刺 ~领取:最新版“小中高考-总复习”、最新试卷下载 2023·广西·统考中考真题 1 k 10.如图,过y (x0)的图象上点A,分别作x轴,y轴的平行线交y 的图象于B,D两点,以 , x x AB AD 为邻边的矩形 ABCD 被坐标轴分割成四个小矩形,面积分别记为 S 1, S 2, S 3, S 4,若 5 S S S  ,则 的值为( ) 2 3 4 2 k A.4 B.3 C.2 D.1 2023 年湖北省黄石市中考数学真题  5  5 k Aa,  Bb,  y k 0 11.如图,点  a和  b在反比例函数 x 的图象上,其中a b 0.过点A作AC x 15 a 轴于点C,则 的面积为 ;若 的面积为 ,则  . AOC AOB 4 b 16关注公众号:陆陆高分冲刺 ~领取:最新版“小中高考-总复习”、最新试卷下载 2023 年湖南省湘西中考真题 2 3 y (x0) y (x0) 12.如图,点A在函数 的图象上,点B在函数 的图象上,且 轴, x x AB∥x BC x 轴于点C,则四边形ABCO的面积为( ) A.1 B.2 C.3 D.4 江苏省南京市 2021 年中考数学试卷 6 13.如图,正比例函数 ykx 与函数y x 的图像交于A,B两点, BC//x 轴, AC//y 轴,则S  ABC . 题型三 垂直模型 14.已知点A,B分别在反比例函数 (x>0), (x>0)的图象上且OA⊥OB,则tanB为 ( ) 17关注公众号:陆陆高分冲刺 ~领取:最新版“小中高考-总复习”、最新试卷下载 A. B. C. D. 15.如图,在x轴的上方,直角∠BOA绕原点O按顺时针方向旋转.若∠BOA的两边分别与函数 、 的图象交于B、A两点,则∠OAB大小的变化趋势为( ) A.逐渐变小 B.逐渐变大 C.时大时小 D.保持不变 16.如图, 已知第一象限内的点A在反比例函数y= 的图象上, 第二象限内的点B在反比例函数y= 的图象上, 且OA⊥OB, cosA= , 则k的值为( ) 18关注公众号:陆陆高分冲刺 ~领取:最新版“小中高考-总复习”、最新试卷下载 A.-12 B.-16 C.-6 D.-18 17.如图,已知A是双曲线 上一点,过点A作 轴,交双曲线 于点B,若 ,则 的值为( ) A. B. C. D. 2023·福建·统考中考真题 n 3 18.如图,正方形四个顶点分别位于两个反比例函数y 和y 的图象的四个分支上,则实数 的值为 x x n ( ) 1 1 A. B. C. D.3 3 3 3 2023·四川达州·统考中考真题 2 19.如图,一次函数 与反比例函数y 的图象相交于 两点,以 为边作等边三角形 , y2x x A、B AB ABC k 若反比例函数y 的图象过点 ,则 的值为 . x C k 19关注公众号:陆陆高分冲刺 ~领取:最新版“小中高考-总复习”、最新试卷下载 20.如图,点A是双曲线y= 上的动点,连结AO并延长交双曲线于点B,将线段AB绕B顺时针旋转60° 得到线段BC,点C在双曲线y= 上的运动,则k= . 21.如图,点A是双曲线 在第二象限分支上的一个动点,连接AO并延长交另一个分支于点B,以 AB为底作等腰 且 ,点C在第一象限,随着点A的运动,点C始终在双曲线 上运动,则 . 22.如图, 的顶点 与坐标原点重合, , ,当 点在反比例函数 20关注公众号:陆陆高分冲刺 ~领取:最新版“小中高考-总复习”、最新试卷下载 的图象上移动时, 点坐标满足的函数解析式为 . 题型四 比例端点模型 23.如图,在平面直角坐标系中,梯形OACB的顶点O是坐标原点,OA边在y轴正半轴上,OB边在x轴 正半轴上,且OA∥BC,双曲线y= (x>0)经过AC边的中点,若S =4,则双曲线y= 的k 梯形OACB 值为( ) A.5 B.4 C.3 D.2 2022·浙江衢州·统考中考真题 k 24.如图,在ABC中,边AB在x轴上,边AC交y轴于点E.反比例函数 y x x0 的图象恰好经过点 C ,与边 BC 交于点 D .若 AECE , CD2BD , S ABC 6 ,则 k = . 21关注公众号:陆陆高分冲刺 ~领取:最新版“小中高考-总复习”、最新试卷下载 广东深圳·统考中考真题 k AO 2 y   25.如图,双曲线 x 经过Rt BOC斜边上的点A,且满足 AB 3,与BC交于点D,S =21,求k= BOD △ △ . k 26.如图,Rt BOC的一条直角边 在x轴正半轴上,双曲线y 过 的斜边 的中点 ,与另 OC x BOC OB A △ 一直角边BC相交于点D,若BOD的面积是6,则k的值是 . k AO 1 27.如图,双曲线 y 经过 斜边上的点 ,且满足  ,与 交于点 , 的面积为 x RtBOC A AB 2 BC D BOD 2,则k . 28.如图,已知三角形的顶点 在反比例函数 位于第一象限的图象上,顶点 在 轴的负半轴上,顶 22关注公众号:陆陆高分冲刺 ~领取:最新版“小中高考-总复习”、最新试卷下载 点 在反比例函数 位于第四象限的图象上, 边与 轴交于点 , , 边 与 轴交于点 , ,若 面积为 ,则 . k y (x0) 29.如图,矩形OABC的顶点 A ,C分别在x轴、y轴的正半轴上,它的对角线OB与函数 x 的图 D OD:OB1: 2 OABC 24 k 象相交于点 ,且 ,若矩形 的面积为 ,则 的值是 . k 30.如图,Rt BOC的一条直角边 在x轴正半轴上,双曲线y 过 的斜边 的中点 ,与另 OC x BOC OB A △ 一直角边BC相交于点D,若BOD的面积是6,则k的值是 . 31.(2023·辽宁锦州·统考一模)如图,矩形OABC的顶点A,C分别在x轴, y 轴的正半轴上,点B在第 k 一象限,反比例函数y (x0)的图象交矩形的对角线 于点 ,分别交 , 于点E,F,连接 x OB D BC AB DE,DF.若OD2BD,S 四边形EDFB 2,则k . 23关注公众号:陆陆高分冲刺 ~领取:最新版“小中高考-总复习”、最新试卷下载 32.如图,已知梯形ABCO的底边AO在x轴上,BC∥AO,AB⊥AO,过点C的双曲线 交OB于点 D,且OD:DB=1:2,若△OBC的面积等于6,则k的值为 . 题型五 矩形模型(平行,比例性质) 33.如图,已知双曲线 经过矩形 边 的中点F,交 于点E,且四边形 的面积 为3,则 . 2023 年黑龙江省绥化市中考数学真题 34.在平面直角坐标系中,点A在y轴的正半轴上,AC平行于x轴,点B,C的横坐标都是3,BC 2, k 点D在 上,且其横坐标为1,若反比例函数y ( )的图像经过点B,D,则k的值是 AC x x0 ( ) 24关注公众号:陆陆高分冲刺 ~领取:最新版“小中高考-总复习”、最新试卷下载 3 A.1 B.2 C.3 D. 2 2023 年辽宁省本溪市、铁岭市、辽阳市中考数学真题 k 35.如图,矩形ABCD的边AB平行于x轴,反比例函数 y x x0 的图象经过点B,D,对角线CA的延长 线经过原点O,且AC 2AO,若矩形ABCD的面积是8,则k的值为 . 2023 年浙江省绍兴市中考数学真题 k 36.如图,在平面直角坐标系 中,函数y ( 为大于0的常数, )图象上的两点 xOy x k x0 Ax 1 ,y 1 ,Bx 2 ,y 2  ,满足 x 2 2x 1. ABC 的边 AC∥x 轴,边 BC∥y 轴,若 OAB 的面积为6,则 ABC的面积是 . 25关注公众号:陆陆高分冲刺 ~领取:最新版“小中高考-总复习”、最新试卷下载 37.如图,在平面直角坐标系xOy中,矩形OABC的边OA、OC分别在x轴和y轴正半轴上,OA=6,OC =4,点P是BC边上一个动点,过点P的反比例函数y= 图象与AB边交于点Q,若将△BPQ沿PQ折 叠,点B的对应点D恰好落在对角线AC上,则k的值是___________. y P C B Q D O A x 38.如图,直线y=-3x+4与双曲线y=交于A、B两点,过点A作AC⊥x轴于C,过点B作BD⊥y轴于 D,连接CD,若四边形ACDB的面积为10,则k的值为___________. y A C O x D B 39.如图,在平面直角坐标系xOy中,矩形OABC的边OA、OC分别在x轴、y轴的正半轴上,点B的坐 标为(8,4),反比例函数y= 的图象分别与边AB、BC交于点E、F,将△BEF沿EF翻折,点B恰 好落在x轴上点D处,则△BEF的面积为___________. y F C B E O D A x 40.如图,在矩形AOBC中,OB4,OA3,分别以OB、OA所在直线为x轴和 y 轴,建立如图所示的 k 平面直角坐标系, 是边 上的一个动点(不与 、 重合),过 点的反比例函数y k 0 的 F BC B C F x 图象与AC边交于点E,将△CEF 沿EF对折后,C点恰好落在OB上的点D处,则k的值为 . 26关注公众号:陆陆高分冲刺 ~领取:最新版“小中高考-总复习”、最新试卷下载 k y (k0,x0) 41.如图,矩形OABC的顶点 A ,C分别在x轴,y轴正半轴上,反比例函数 x 的图象分别 与矩形OABC两边AB,BC交于点D,E,沿直线DE将DBE翻折得到DFE,且点F 恰好落在直 CE AD AF 线 上.下列四个结论:① ;②  ;③tanFED ;④ .其中结论正 OA CE AD BE BD AB OEEF 确的有 .(仅填代号即可) 题型六 等线段模型 42.如图,已知函数 的图象与 轴、 轴分别交于点 、 ,与双曲线 交于点 、 ,若 ,则 的值为 . 27关注公众号:陆陆高分冲刺 ~领取:最新版“小中高考-总复习”、最新试卷下载 2023 年辽宁省锦州市中考数学真题 43.如图,在平面直角坐标系中,AOC的边OA在y轴上,点C在第一象限内,点B为AC的中点,反比 k y x0 例函数 x 的图象经过B,C两点.若AOC的面积是6,则k的值为 . 44.如图,直线y=2x与双曲线y= 交于A、B两点,AC⊥AB交双曲线于点C,连接BC,则sin∠ABC的 值是___________. y A C O x B 45.如图,在平面直角坐标系xOy中,直线y= x与双曲线y= 相交于A,B两点,C是第一象限内双曲线 上一点,连接 CA并延长交 y轴于点 P,连接 BP,BC.若△PBC的面积是 20,则点 C的坐标为 ___________. y P A C O x B 46.如图,在平面直角坐标系xOy中,直线y=mx与双曲线y=(k>0)相交于A、B两点,直线y=mx+ n经过点B,与双曲线交于另一点C,若△ABC的面积为6,则k的值为___________. 28关注公众号:陆陆高分冲刺 ~领取:最新版“小中高考-总复习”、最新试卷下载 y A C O x B 47.如图,直线l与反比例函数y= 的图象在第二象限交于B,C两点,与x轴交于点A,连接OC, ∠ACO 的角平分线交 x轴于点 D.若 AB∶BC∶CO=1∶2∶2,△COD 的面积为 6,则 k的值为 _________. y l C B A D O x 48.如图,一次函数y=kx+b的图象与反比例函数y= 的图象相交于A、B两点,与x轴交于点C(-, 0),连接BO并延长交反比例函数y= 的图象于点D,若∠BAD=120°,△ABD的面积为2,则点A 的坐标为___________. y A D C O x B 湖北随州·统考中考真题 k y (k 0) 49.如图,直线 与双曲线 在第一象限内交于 、 两点,与 轴交于点 ,点 为线段 AB x A B x C B AC的中点,连接OA,若AOC的面积为3,则k的值为 . 29关注公众号:陆陆高分冲刺 ~领取:最新版“小中高考-总复习”、最新试卷下载 2021·贵州毕节·统考中考真题 k 50.如图,直线 与反比例函数y k 0,x0 的图象交于A,B两点,与x轴交于点C,且 , AB x ABBC 连接OA.已知OAC的面积为12,则k的值为 . k 51.如图,已知直线 与x轴交于点A,与y轴交于点B,与双曲线y= (x>0)交于C、D两 x 点,且∠AOC=∠ADO,则k的值为 . 江苏省宿迁市 2021 年中考数学真题 k y x>0 52.如图,点A、B在反比例函数 的图像上,延长AB交 轴于C点,若△AOC的面 x x 30关注公众号:陆陆高分冲刺 ~领取:最新版“小中高考-总复习”、最新试卷下载 积是12,且点B是AC的中点,则k = . 53.如图,A,B是反比例函数 (k≠0)图象上的两点,延长线段AB交y轴于点C,且B为线段AC的 中点,过点A作AD⊥x轴于点D,E为线段OD的三等分点,且OE<DE.连接AE,BE.若S = ABE △ 7,则k的值为 . 题型七 等角模型 54.如图,直线y=kx与反比例函数y= 的图象交于A、B两点,过点A作AD∥x轴,交y轴于点 D,直线BD交反比例函数y= 的图象于另一点C,则 的值为___________. y C A D O x B 55.如图,直线y=2x与双曲线y=交于A、B两点,过点A作AC⊥AB交y轴于点C,连接BC并延长交双 曲线于点D,连接AD,则 的值为__________. 31关注公众号:陆陆高分冲刺 ~领取:最新版“小中高考-总复习”、最新试卷下载 y B O x A C D 56.如图,在平面直角坐标系中,□ABCD的顶点A、B分别在y轴、x轴的正半轴上,顶点C、D在反比 例函数y= 的图象上,若AB=2AD,OA=2,□ABCD的面积为8,则点D的坐标为___________. y D A C O B x 湖北武汉·中考真题 57.如图,已知四边形ABCD是平行四边形,BC=2AB,A,B两点的坐标分别是(-1,0),(0,2),C,D k 两点在反比例函数y (x0)的图象上,则k的值等于 . x 32关注公众号:陆陆高分冲刺 ~领取:最新版“小中高考-总复习”、最新试卷下载 A0,2 B1,0 ABCD 58.如图,在直角坐标系中,平行四边形 的顶点 、 在y轴、x轴上,另两个顶点C、D k y (k 0) 在第一象限内,且 ;若反比例函数 的图象经过C,D两点,则k的值是 . AD3AB x k 59.如图,平行四边形 的顶点 , 的坐标分别是 , ,顶点 , 在双曲线y 上, ABCD A B A(1,0) B(0,2) C D x 边AD交 y 轴于点E,且四边形BCDE的面积是ABE面积的5倍,则k . 题型八 反比例函数中的设而不求法 12 60.(2023·深圳市一模)如图,A、B是函数y= 上两点,P为一动点,作 轴, 轴.若 x PBy 111 PAx S =3.6 BOP ,则S =( ) ABP △ 33关注公众号:陆陆高分冲刺 ~领取:最新版“小中高考-总复习”、最新试卷下载 A.3.6 B.4.8 C.5.4 D.6 湖北武汉·中考真题 k 61.如图,点A在双曲线y= 的第一象限的那一支上,AB垂直于y轴与点B,点C在x轴正半轴上,且 x OC=2AB,点E在线段AC上,且AE=3EC,点D为OB的中点,若△ADE的面积为3,则k的值为 . k y (k0,x0) 62.如图,在平面直角坐标系中,矩形ABCD的顶点A,B在x轴的正半轴上,反比例函数 x 的图象经过顶点D,分别与对角线AC,边BC交于点E,F,连接EF,AF.若点E为AC的中点, △AEF 的面积为1,则k的值为( ) 34关注公众号:陆陆高分冲刺 ~领取:最新版“小中高考-总复习”、最新试卷下载 12 3 A. B. C.2 D.3 5 2 2022·辽宁鞍山·统考中考真题) 63.如图,在平面直角坐标系中,O是坐标原点.在RtVOAB中,OAB90,边OA在 y 轴上,点D是 k y x0 边OB上一点,且OD:DB1:2,反比例函数 x 的图象经过点D交AB于点C,连接OC.若 S 4,则k的值为 . OBC 64.(2022·浙江温州·统考一模)如图,OABC位于平面直角坐标系中,点B在x轴正半轴上,点A及 k 4 y y x0 的中点D在反比例函数 的图象上,点C在反比例函数 的图象上,则k的值为 AB x x . xOy AOB 65.(2022上·四川成都·九年级统考期末)如图,在平面直角坐标系 中, 的顶点A在函数 35 4 1 4 y  (x0) y (x0) y  (x0) x AO AB x x关注公众号:陆陆高分冲刺 ~领取:最新版“小中高考-总复习”、最新试卷下载 4 4 1 y  (x0)的图象上,顶点B在x轴正半轴上,边 , 分别交的数y (x0),y  (x0)的 x AO AB x x 图象于点M,N.连接MN,若MN∥x轴,则AOB的面积为 . 题型九 反比例函数与相似相似三角形结合 江苏宿迁·统考中考真题 k 66.如图,点A在反比例函数y= (x>0)的图象上,点B在x轴负半轴上,直线AB交y轴于点C,若 x AC 1 = , AOB的面积为6,则k的值为 . BC 2 △ 深圳统考真题 k 67.如图,已知点A在反比例函数y= (x<0)上,作Rt ABC,点D是斜边AC的中点,连接DB并延 x  长交y轴于点E,若BCE的面积为7,则k的值为 . 36关注公众号:陆陆高分冲刺 ~领取:最新版“小中高考-总复习”、最新试卷下载 徐州·统考真题 68.如图,平面直角坐标系中,O为原点,点A、B分别在y轴、x轴的正半轴上. AOB的两条外角平 k 分线交于点P,P在反比例函数y k 0,x0 的图像上.PA的延长线交x轴于点C,PB的延长线 x 交y轴于点D,连接CD.若OD3,OC 5,则k的值为 . 12 k 12 69.如图,已知双曲线y= (x<0)和y= (x>0),y 与直线交于点A,将直线OA向下平移与 x x x 12 k 双曲线y= ,与y轴分别交于点 ,与双曲线y= 交于点 ,S ABC=6,BP:CP=2:1,则k x B,P x C △ 的值为 . 37关注公众号:陆陆高分冲刺 ~领取:最新版“小中高考-总复习”、最新试卷下载 2023·江苏盐城·统考中考真题 k 70.如图,在平面直角坐标系xOy中,点A,B都在反比例函数 y x x0 的图象上,延长AB交y轴于点 C A AD y D BD x E CE AB2BC BCE ,过点 作 轴于点 ,连接 并延长,交 轴于点 ,连接 .若 , 的面 积是4.5,则k的值为 . 71.(2023·江苏泰州·统考一模)如图,在RtOAB中,OBA90,OA在x轴上,AC平分OAB, k 平分 , 与 相交于点 ,且 , ,反比例函数 y (k0,x0) 的图 OD AOB AC OD E OC  5 CE 2 x 象经过点E,则k的值为 . 72.诺贝尔物理学奖是有关于“复杂系统的理解”,我们可以用动力系统的方法来研究复杂系统.已知直 3 y 线yx2,双曲线 ,点A(1,-1),我们从A 点出发构造无穷点列A(x,y),A(x, x 1 1 2 2 2 3 3 yx2 y)…构造规则为:若点An(x,y)在直线 上,那么下一个点A (x ,y )就在双曲 3 n n n+1 n+1 n+1 3 3 y y 线 上,且x =x;若点An(x,y)在双曲线 上,那么下一个点A (x ,y )就在 x n+1 n n n x n+1 n+1 n+1 yx2 直线 上,且y =y,根据规则,点A 的坐标为 .无限进行下去,无限接近的点的坐标 n+1 n 3 . 38关注公众号:陆陆高分冲刺 ~领取:最新版“小中高考-总复习”、最新试卷下载 2022·江苏镇江·统考中考真题 k 73.如图,一次函数 y2xb 与反比例函数y x k 0 的图像交于点A1,4,与 y 轴交于点 B . (1)k_________,b_________; k (2)连接并延长 ,与反比例函数y k 0 的图像交于点 ,点 在 轴上,若以 、 、 为顶点 AO x C D y O C D 的三角形与AOB相似,求点D的坐标. 2023·江苏镇江·统考中考真题 k 74.如图,正比例函数 y3x 与反比例函数y x k 0 的图象交于A,B1,m两点,点C在x轴负半轴 上,ACO45. 39关注公众号:陆陆高分冲刺 ~领取:最新版“小中高考-总复习”、最新试卷下载 (1)m______,k______,点C的坐标为______. (2)点P在x轴上,若以B,O,P为顶点的三角形与AOC相似,求点P的坐标. 2023·山东泰安·统考中考真题 k y  75.如图,一次函数y 1 2x2的图象与反比例函数 2 x 的图象分别交于点 A ,点 B ,与y轴, x 轴分 别交于点C,点D,作AE y轴,垂足为点E,OE4. (1)求反比例函数的表达式; y  y x (2)在第二象限内,当 1 2时,直接写出 的取值范围; (3)点P在x轴负半轴上,连接PA,且PA AB,求点P坐标. 2023·四川成都·统考中考真题 k 76.如图,在平面直角坐标系 中,直线 与y轴交于点A,与反比例函数y 的图象的一个 xOy yx5 x 交点为B(a,4),过点B作AB的垂线l. 40关注公众号:陆陆高分冲刺 ~领取:最新版“小中高考-总复习”、最新试卷下载 (1)求点A的坐标及反比例函数的表达式; (2)若点C在直线l上,且ABC的面积为5,求点C的坐标; (3)P是直线l上一点,连接PA,以P为位似中心画△ PDE,使它与PAB位似,相似比为m.若点D,E恰 好都落在反比例函数图象上,求点P的坐标及m的值. 题型十 反比例函数与一次函数综合 【题型梳理】 1、比大小,2、由交点个数求参数的值或范围,3、一次函数平移后相关问题;4、与几何结合 77.定义:在平面直角坐标系 中,函数图象上到两条坐标轴的距离之积等于 的点,叫做该函 数图象的“n阶积点”.例如,点 为一次函数 图象的“ 阶积点”.若y关于x的 一次函数 图象的“n阶积点”恰好有3个,则n的值为 . 1 k 78.(2023·江西吉安·校考三模)如图,一次函数 y x3 的图象与反比例函数y x0 于点B,与x轴 2 x k y x0 交于点A,与y轴交于点D,C为反比例函数 x 的图象上的点,且CA AB于点A 41关注公众号:陆陆高分冲刺 ~领取:最新版“小中高考-总复习”、最新试卷下载 (1)求△AOD的面积. (2)若AC 2AB,求k的值. 2023·山东淄博·统考中考真题 m 79.如图,直线 ykxb 与双曲线y  x 相交于点A2,3,Bn,1. (1)求双曲线及直线对应的函数表达式; (2)将直线AB向下平移至 CD 处,其中点 C2,0 ,点 D 在 y 轴上.连接 AD , BD ,求 △ABD 的面积; m (3)请直接写出关于 的不等式kxb 的解集. x x 2022·江苏徐州·统考中考真题 8 y (x0) 80.如图,一次函数ykxb(k 0)的图像与反比例函数 x 的图像交于点 A ,与x轴交于点 B , 与 y 轴交于点C,ADx轴于点D,CBCD,点C关于直线AD的对称点为点E. (1)点E是否在这个反比例函数的图像上?请说明理由; (2)连接AE、DE,若四边形ACDE为正方形. ①求k、b的值; 42关注公众号:陆陆高分冲刺 ~领取:最新版“小中高考-总复习”、最新试卷下载 y PEPB ②若点P在 轴上,当 最大时,求点P的坐标. 2022·四川绵阳·统考中考真题 k y 2 81.如图,一次函数yk 1 xb与反比例函数 x 在第一象限交于M(2,8)、 N 两点, NA 垂直x轴于点 A,O为坐标原点,四边形OANM 的面积为38. (1)求反比例函数及一次函数的解析式; (2)点P是反比例函数第三象限内的图象上一动点,请简要描述使PMN的面积最小时点P的位置(不需证 明),并求出点P的坐标和PMN面积的最小值. 43关注公众号:陆陆高分冲刺 ~领取:最新版“小中高考-总复习”、最新试卷下载 2022·四川资阳·中考真题 6 82.如图,一次函数y kxb的图象与反比例函数 y 2  x 的图象交于点 A(1,m) 和点 B(n,2) . 1 (1)求一次函数的表达式; x0 y  y 1 2 (2)结合图象,写出当 时,满足 的x的取值范围; (3)将一次函数的图像平移,使其经过坐标原点.直接写出一个反比例函数表达式,使它的图像与平移后的 一次函数图像无交点. 2023·黑龙江大庆·统考中考真题 k 83.一次函数 yxm 与反比例函数y x 的图象交于 A , B 两点,点 A 的坐标为1,2. (1)求一次函数和反比例函数的表达式; (2)求OAB的面积; k (3)过动点Tt,0作 x 轴的垂线 l , l 与一次函数 yxm 和反比例函数y x 的图象分别交于 M , N 两点, 当M 在N 的上方时,请直接写出t的取值范围. 44关注公众号:陆陆高分冲刺 ~领取:最新版“小中高考-总复习”、最新试卷下载 2023·湖北黄冈·统考中考真题 1  m A(4,1),B ,a y  (x0)   84.如图,一次函数y 1 kxb(k 0)与函数为 2 x 的图象交于 2 两点. (1)求这两个函数的解析式; y y 0 1 2 (2)根据图象,直接写出满足 时x的取值范围; y △POQ (3)点P在线段 AB 上,过点P作x轴的垂线,垂足为M,交函数 2的图象于点Q,若 面积为3,求 点P的坐标. 题型十一 反比例函数中的探究类问题 2023·山东济南·统考中考真题 85.综合与实践 8m2 ABCD 如图1,某兴趣小组计划开垦一个面积为 的矩形地块 种植农作物,地块一边靠墙,另外三边用 木栏围住,木栏总长为am2. 45关注公众号:陆陆高分冲刺 ~领取:最新版“小中高考-总复习”、最新试卷下载 【问题提出】 小组同学提出这样一个问题:若a10,能否围出矩形地块? 【问题探究】 小颖尝试从“函数图象”的角度解决这个问题: 设AB为xm, BC 为 ym .由矩形地块面积为 8m2 ,得到 xy8 ,满足条件的 x,y 可看成是反比例函数 8 y x 的图象在第一象限内点的坐标;木栏总长为 10m ,得到 2xy10 ,满足条件的x,y可看成一次函 y2x10 x,y 数 的图象在第一象限内点的坐标,同时满足这两个条件的 就可以看成两个函数图象交点 的坐标. 8 如图2,反比例函数 y x x0 的图象与直线l 1 :y2x10的交点坐标为1,8和_________,因此,木 栏总长为10m时,能围出矩形地块,分别为:AB1m,BC 8m;或AB___________m,BC  __________m. (1)根据小颖的思路点拨思路,完成上面的填空. 【类比探究】 (2)若a6,能否围出矩形地块?请仿照小颖的方法,在图2中画出一次函数图象并说明理由. 【问题延伸】 当木栏总长为am时,小颖建立了一次函数y2xa.发现直线y2xa可以看成是直线y2x通过 8 平移得到的,在平移过程中,当过点2,4时,直线y2xa与反比例函数 y x x0 的图象有唯一交 46关注公众号:陆陆高分冲刺 ~领取:最新版“小中高考-总复习”、最新试卷下载 点. y2xa 2,4 a (3)请在图2中画出直线 过点 时的图象,并求出 的值. 【拓展应用】 8 小颖从以上探究中发现“能否围成矩形地块问题”可以转化为“ 与y 图象在第一象限内交 y2xa x 点的存在问题”. (4)若要围出满足条件的矩形地块,且AB和BC的长均不小于1m,请直接写出a的取值范围. 2023·江苏连云港·统考中考真题 86.【问题情境 建构函数】 ABCD AB4,M CD AEBM E BC x,AE y (1)如图1,在矩形 中, 是 的中点, ,垂足为 .设 ,试用 含x的代数式表示 y . 【由数想形 新知初探】 (2)在上述表达式中, y 与x成函数关系,其图像如图2所示.若x取任意实数,此时的函数图像是否具 有对称性?若有,请说明理由,并在图2上补全函数图像. 【数形结合 深度探究】 (3)在“x取任意实数”的条件下,对上述函数继续探究,得出以下结论:①函数值 y 随x的增大而增大; 47关注公众号:陆陆高分冲刺 ~领取:最新版“小中高考-总复习”、最新试卷下载 y 4 2  y4 2 ②函数值 的取值范围是 ;③存在一条直线与该函数图像有四个交点;④在图像上存在四 点A、B、C、D,使得四边形ABCD是平行四边形.其中正确的是__________.(写出所有正确结论的序 号) 【抽象回归 拓展总结】 (4)若将(1)中的“AB4”改成“AB2k”,此时 y 关于x的函数表达式是__________;一般地, 当k 0,x取任意实数时,类比一次函数、反比例函数、二次函数的研究过程,探究此类函数的相关性质 (直接写出3条即可). 2022·湖北荆州·统考中考真题 4x21x0  y 4 87.小华同学学习函数知识后,对函数  x1或x0 通过列表、描点、连线,画出了如图1所示  x 的图象. - 3 1 1 x … -4 -2 -1    0 1 2 3 4 … 3 4 2 4 4 9 1 4 y … 1 2 4 1 0 -4 -2  -1 … 3 4 4 3 请根据图象解答:     x,y x,y (1)【观察发现】①写出函数的两条性质:______;______;②若函数图象上的两点 1 1 , 2 2 满足 x x 0 y y 0 1 2 1 2 48关注公众号:陆陆高分冲刺 ~领取:最新版“小中高考-总复习”、最新试卷下载 x x 0 y y 0 1 2 ,则 1 2 一定成立吗?______.(填“一定”或“不一定”) A1,4 B4,1 (2)【延伸探究】如图2,将过 , 两点的直线向下平移n个单位长度后,得到直线l与函数 4 y x1 的图象交于点P,连接PA,PB. x ①求当n=3时,直线l的解析式和△PAB的面积; ②直接用含n的代数式表示△PAB的面积. 2021·广东深圳·统考中考真题 1 88.探究:是否存在一个新矩形,使其周长和面积为原矩形的2倍、2倍、k倍. (1)若该矩形为正方形,是否存在一个正方形,使其周长和面积都为边长为2的正方形的2倍?_______ (填“存在”或“不存在”). (2)继续探究,是否存在一个矩形,使其周长和面积都为长为3,宽为2的矩形的2倍? 同学们有以下思路: xy10  设新矩形长和宽为x、y,则依题意xy10,xy12,联立xy12 得x210x120,再探究根的情 1 况:根据此方法,请你探究是否存在一个矩形,使其周长和面积都为原矩形的2 倍;如图也可用反比例函 12 数与一次函数证明l : yx10 ,l :y x ,那么, 1 2 ①是否存在一个新矩形为原矩形周长和面积的2倍?_______. 49关注公众号:陆陆高分冲刺 ~领取:最新版“小中高考-总复习”、最新试卷下载 1 ②请探究是否有一新矩形周长和面积为原矩形的2 ,若存在,用图像表达; ③请直接写出当结论成立时k的取值范围:. 2023·四川达州·统考中考真题 89.【背景】在一次物理实验中,小冉同学用一固定电压为12V的蓄电池,通过调节滑动变阻器来改变电 R 2Ω 流大小,完成控制灯泡 L (灯丝的阻值 L )亮度的实验(如图),已知串联电路中,电流与电 U 阻 R、R 之间关系为 I  RR ,通过实验得出如下数据: L L R/Ω … 1 a 3 4 6 … I /A … 4 3 2.4 2 b … (1) _______, _______; a b 12 12 y x0 y x0 (2)【探究】根据以上实验,构建出函数 ,结合表格信息,探究函数 的图象 x2 x2 与性质. 12 y x0 ①在平面直角坐标系中画出对应函数 的图象; x2 50关注公众号:陆陆高分冲刺 ~领取:最新版“小中高考-总复习”、最新试卷下载 ②随着自变量x的不断增大,函数值 y 的变化趋势是_________. 12 3  x6 (3)【拓展】结合(2)中函数图象思路点拨,当x0时, x2 2 的解集为________. 2023·浙江衢州·统考中考真题 90.视力表中蕴含着很多数学知识,如:每个“E”形图都是正方形结构,同一行的“E”是全等图形且对应 着同一个视力值,不同的检测距离需要不同的视力表. 素材1 国际通用的视力表以5米为检测距离,任选视力表中7个视力值n,测得对应行的“E”形图边长b (mm),在平面直角坐标系中描点如图1. 探究1 检测距离为5米时,归纳n与b的关系式,并求视力值1.2所对应行的“E”形图边长. 素材2 图2为视网膜成像示意图,在检测视力时,眼睛能看清最小“E”形图所成的角叫做分辨视角,视 1 力值 与分辨视角 (分)的对应关系近似满足n 0.510 . n   探究2 当n1.0时,属于正常视力,根据函数增减性写出对应的分辨视角的范围.  b b 素材3 如图3,当 确定时,在A处用边长为 1 的I号“E”测得的视力与在B处用边长为 2 的Ⅱ号“E”测 得的视力相同. 探究3 若检测距离为3米,求视力值1.2所对应行的“E”形图边长. 题型十二 反比例函数与与几何综合 91.如图,平面直角坐标系中,矩形 的顶点 在 轴负半轴上,边 与 轴交于点 ,连接 , 51关注公众号:陆陆高分冲刺 ~领取:最新版“小中高考-总复习”、最新试卷下载 轴,反比例函数 的图象经过点 ,及 边上一点 , ,若 ,则 的值为 . 2022·浙江湖州·统考中考真题 92.如图,已知在平面直角坐标系xOy中,点A在x轴的负半轴上,点B在y轴的负半轴上, 1 y tanABO3,以AB为边向上作正方形ABCD.若图像经过点C的反比例函数的解析式是 x ,则 图像经过点D的反比例函数的解析式是 . 2023·山东·统考中考真题 k 93.如图,在平面直角坐标系中,点A,B在反比例函数 y (x0) 的图象上.点 的坐标为 m,2 .连接 x A OA,OB,AB.若OA AB,OAB90,则k的值为 . 52关注公众号:陆陆高分冲刺 ~领取:最新版“小中高考-总复习”、最新试卷下载 2023·四川内江·统考中考真题 94.如图,在平面直角坐标系中,O为坐标原点,MN垂直于x轴,以MN为对称轴作ODE的轴对称图 k 形,对称轴 与线段 相交于点F,点D的对应点B恰好落在反比例函数y (x0)的图象上, MN DE x 1 S  点O、E的对应点分别是点C、A.若点A为 OE 的中点,且 △EAF 4 ,则k的值为 . 2023·浙江宁波·统考中考真题 a y (a0) 95.如图,点A,B分别在函数 图象的两支上(A在第一象限),连接AB交x轴于点C.点 x b D,E在函数y x (b0,x0)图象上, AEx 轴, BD∥y 轴,连接 DE,BE .若 AC 2BC , ABE 的面积为9,四边形ABDE的面积为14,则ab的值为 ,a的值为 . 53关注公众号:陆陆高分冲刺 ~领取:最新版“小中高考-总复习”、最新试卷下载 2023·陕西·统考中考真题 96.如图,在矩形OABC和正方形CDEF 中,点A在y轴正半轴上,点C,F均在x轴正半轴上,点D在 边BC上,BC 2CD,AB3.若点B,E在同一个反比例函数的图象上,则这个反比例函数的表达 式是 . 2023·辽宁鞍山·统考中考真题 97.如图,在ABC中,BABC,顶点C,B分别在x轴的正、负半轴上,点A在第一象限,经过点A的 k y x0 反比例函数 x 的图象交AC于点E,过点E作EF x轴,垂足为点F.若点E为AC的中点, BD2AD,BFCF 3,则k的值为 . 54关注公众号:陆陆高分冲刺 ~领取:最新版“小中高考-总复习”、最新试卷下载 2022·山东济南·统考中考真题 1 98.如图,一次函数y x1的图象与反比例函数y k x0的图象交于点Aa,3,与y轴交于点B. 2 x (1)求a,k的值; (2)直线CD过点A,与反比例函数图象交于点C,与x轴交于点D,AC=AD,连接CB. ①求△ABC的面积; ②点P在反比例函数的图象上,点Q在x轴上,若以点A,B,P,Q为顶点的四边形是平行四边形,请求 出所有符合条件的点P坐标. 2023·四川凉山·统考中考真题 99.阅读理解题: 阅读材料: 1 如图1,四边形 是矩形, 是等腰直角三角形,记 为 、 为 ,若tan , ABCD △AEF BAE  FAD  2 1 则tan . 3 55关注公众号:陆陆高分冲刺 ~领取:最新版“小中高考-总复习”、最新试卷下载 1 证明:设 ,∵tan ,∴ , BEk 2 AB2k △AEB≌△EFCAAS 易证 ∴EC 2k,CF k, ∴FDk,AD3k DF k 1 ∴tan   , AD 3k 3 1 1 若 时,当tan ,则tan . 45 2 3 1 1 同理:若 时,当tan ,则tan . 45 3 2 根据上述材料,完成下列问题: m 如图2,直线 与反比例函数y (x0)的图象交于点 ,与 轴交于点 .将直线 绕点 顺 y3x9 x A x B AB A 时针旋转45后的直线与y轴交于点E,过点A作AM  x轴于点M ,过点A作AN  y轴于点N ,已知 OA5. (1)求反比例函数的解析式; (2)直接写出tanBAM、tanNAE的值; (3)求直线AE的解析式. 56关注公众号:陆陆高分冲刺 ~领取:最新版“小中高考-总复习”、最新试卷下载 题型十三 反比例函数的找规律问题 2023·山东枣庄·统考中考真题 8 y (x0) 100.如图,在反比例函数 x 的图象上有P 1 ,P 2 ,P 3 ,P 2024 等点,它们的横坐标依次为1,2, 3,…,2024,分别过这些点作x轴与y轴的垂线,图中所构成的阴影部分的面积从左到右依次为 S ,S ,S ,,S S S S S  1 2 3 2023,则 1 2 3 2023 . 101.如图,点 加在x轴上,且 ,分别过点 作y轴的平行线与反比例函数 的图象分别交于点 ,分别 过点 作x轴的平行线,分别于y轴交于点 ,连接 ,那么图中从左到右第2022个阴影部分的面积为( ) 57关注公众号:陆陆高分冲刺 ~领取:最新版“小中高考-总复习”、最新试卷下载 A. B. C. D. 102.如图, , , ,…是分别以 , , ,…为直角顶点,一条直角边在x轴正 半轴上的等腰直角三角形,其斜边的中点 , , ,…均在反比例函数 的图象上,则 的值为( ) A. B.900 C. D. 103.滑草是同学们喜欢的一项运动,滑道两边形如两条双曲线.如图,点 、 、 ……在反比例函数 的图象上,点 、 、 ,一反比例函数 的图象上, …… 58关注公众号:陆陆高分冲刺 ~领取:最新版“小中高考-总复习”、最新试卷下载 轴,已知点 、 ……的横坐标分别为1、2……,令四边形 、 …的面积分别为 、 ……,若 ,则k的值为 . 104.如图,已知等边 的顶点 在双曲线 上,点 的坐标为 ;在 的右侧作等边 ,顶点 在双曲线上,点 在 轴上;在 的右侧作等边 ,顶点 在双曲线上,点 在 轴上;…以此类推,点 的横坐标为 . 105.如图,线段 端点 、端点 ,曲线 是双曲线 的一部分,点 的横坐标是 . 由点 开始,不断重复曲线“ ”,形成一组波浪线.已知点 , 均在该 组波浪线上,分别过点 、 向 轴作垂线段,垂足分别为 和 ,则四边形 的面积为 . 59关注公众号:陆陆高分冲刺 ~领取:最新版“小中高考-总复习”、最新试卷下载 106.如图,一次函数 与反比例函数 的图象交于点A,过点A作 交x轴于点B, 作 交反比例函数图象于点 ,过点 作 交x轴于点 ,再作 交反比例 函数图象于点 ,依次进行下去,……,则点 的纵坐标为 . 60