当前位置:首页>文档>精品解析:北京市海淀区2019-2020学年七年级上学期期末地理试题(解析版)(1)_北京初中期末题_C605-京七八九_B京地理七八九_地理_北京7上地理_2019-2020

精品解析:北京市海淀区2019-2020学年七年级上学期期末地理试题(解析版)(1)_北京初中期末题_C605-京七八九_B京地理七八九_地理_北京7上地理_2019-2020

  • 2026-04-09 21:24:53 2026-03-09 02:44:39

文档预览

精品解析:北京市海淀区2019-2020学年七年级上学期期末地理试题(解析版)(1)_北京初中期末题_C605-京七八九_B京地理七八九_地理_北京7上地理_2019-2020
精品解析:北京市海淀区2019-2020学年七年级上学期期末地理试题(解析版)(1)_北京初中期末题_C605-京七八九_B京地理七八九_地理_北京7上地理_2019-2020
精品解析:北京市海淀区2019-2020学年七年级上学期期末地理试题(解析版)(1)_北京初中期末题_C605-京七八九_B京地理七八九_地理_北京7上地理_2019-2020
精品解析:北京市海淀区2019-2020学年七年级上学期期末地理试题(解析版)(1)_北京初中期末题_C605-京七八九_B京地理七八九_地理_北京7上地理_2019-2020
精品解析:北京市海淀区2019-2020学年七年级上学期期末地理试题(解析版)(1)_北京初中期末题_C605-京七八九_B京地理七八九_地理_北京7上地理_2019-2020
精品解析:北京市海淀区2019-2020学年七年级上学期期末地理试题(解析版)(1)_北京初中期末题_C605-京七八九_B京地理七八九_地理_北京7上地理_2019-2020
精品解析:北京市海淀区2019-2020学年七年级上学期期末地理试题(解析版)(1)_北京初中期末题_C605-京七八九_B京地理七八九_地理_北京7上地理_2019-2020
精品解析:北京市海淀区2019-2020学年七年级上学期期末地理试题(解析版)(1)_北京初中期末题_C605-京七八九_B京地理七八九_地理_北京7上地理_2019-2020
精品解析:北京市海淀区2019-2020学年七年级上学期期末地理试题(解析版)(1)_北京初中期末题_C605-京七八九_B京地理七八九_地理_北京7上地理_2019-2020
精品解析:北京市海淀区2019-2020学年七年级上学期期末地理试题(解析版)(1)_北京初中期末题_C605-京七八九_B京地理七八九_地理_北京7上地理_2019-2020
精品解析:北京市海淀区2019-2020学年七年级上学期期末地理试题(解析版)(1)_北京初中期末题_C605-京七八九_B京地理七八九_地理_北京7上地理_2019-2020
精品解析:北京市海淀区2019-2020学年七年级上学期期末地理试题(解析版)(1)_北京初中期末题_C605-京七八九_B京地理七八九_地理_北京7上地理_2019-2020
精品解析:北京市海淀区2019-2020学年七年级上学期期末地理试题(解析版)(1)_北京初中期末题_C605-京七八九_B京地理七八九_地理_北京7上地理_2019-2020
精品解析:北京市海淀区2019-2020学年七年级上学期期末地理试题(解析版)(1)_北京初中期末题_C605-京七八九_B京地理七八九_地理_北京7上地理_2019-2020
精品解析:北京市海淀区2019-2020学年七年级上学期期末地理试题(解析版)(1)_北京初中期末题_C605-京七八九_B京地理七八九_地理_北京7上地理_2019-2020
精品解析:北京市海淀区2019-2020学年七年级上学期期末地理试题(解析版)(1)_北京初中期末题_C605-京七八九_B京地理七八九_地理_北京7上地理_2019-2020
精品解析:北京市海淀区2019-2020学年七年级上学期期末地理试题(解析版)(1)_北京初中期末题_C605-京七八九_B京地理七八九_地理_北京7上地理_2019-2020
精品解析:北京市海淀区2019-2020学年七年级上学期期末地理试题(解析版)(1)_北京初中期末题_C605-京七八九_B京地理七八九_地理_北京7上地理_2019-2020

文档信息

文档格式
docx
文档大小
3.599 MB
文档页数
18 页
上传时间
2026-03-09 02:44:39

文档内容

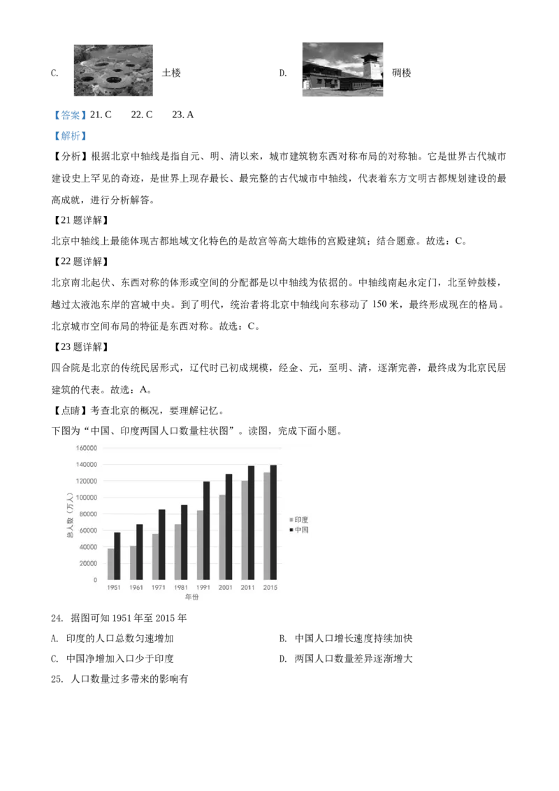
海淀 2019-2020 第一学期期末试卷 一、单项选择题(每小题 2分,共50分) 下列各小题均有四个选项,其中只有一项是符合题意要求的。请将所选答案前的字母,填写 在答题纸的表格内。 在学习了地球运动的相关知识后,同学们用灯泡和地球仪演示地球运动。据此,完成下面小题。 1. 通过学习,同学们知道地球仪上 A. 极点的纬度度数应标注为 90° B. 纬度度数由赤道向两极递减 C. 经度度数的范围是 0°~160° D. 0°经线是东西半球的分界线 2. 地球仪上的经纬网 A. 所有的经线都是相交的 B. 0°和 180°组成的经线圈最大 C. 纬线圈的长度都不相等 D. 共有 180 条经线 3. 在演示地球公转的过程中,地球仪 ①应在与赤道平行的平面上运动 ②向下俯视时,顺时针围绕灯泡转动 ③应保持地轴的空间指向不变 ④同时保持自西向东的自转 A. ①④ B. ②③ C. ②④ D. ③④ 【答案】1. A 2. A 3. D 【解析】 【分析】根据经线是连接南北两极并同纬线垂直相交的半圆,也称子午线。经线指示南北方向;所有经线 都呈半圆状且长度相等;两条正相对的经线形成一个经线圈;任何一个经线圈都能把地球平分为两个半球。 纬线是在地球仪上,顺着东西方向,环绕地球仪一周的圆圈。所有的纬线都相互平行,并与经线垂直,纬 线指示东西方向。纬线圈的大小不等,赤道为最大的纬线圈,从赤道向两极纬线圈逐渐缩小,到南、北两 极缩小为点;地球在自转的同时还要绕着太阳转动叫地球公转,地球公转的方向是自西向东,地球公转的 轨道为椭圆形,在公转轨道上为逆时针方向旋转,进行分析解答。 【1题详解】 极点的纬度度数应标注为 90°,故A正确。纬度度数由赤道向两极增加,长度递减,故B错误。 经度度数的范围是 0°~180°,故C错误。 0°经线是东西经度的界线;东西半球的分界线是20°W和160°E,故D错误。 故选:A。 【2题详解】 所有的经线都是相交于南北极点,故A正确。 所有的经线圈一样大,故B错误。 纬度度数相同的纬线圈长度相等;纬线圈的长度都不相等,由赤道向两极逐渐变短,故C错误。 经线有无数条,故D错误。 故选:A。 【3题详解】 地球仪在与水平面平行的平面上运动,与赤道有一定的夹角,故①错误。 向下俯视时,地球仪应逆时针围绕灯泡转动,故②错误。 地球仪在公转过程中,保持地轴的空间指向不变,始终指向北极星附近,故③正确。 地球仪在进行公转运动的同时,始终进行自转,故④正确。 故选:D。 【点睛】本题主要考查经纬线及地球公转的特点。 某学校操场上 O 处有一垂直于地面的旗杆,OP 表示正午时旗杆在地面的影子。右图为地球公转示意图。 读图,完成下面小题。 4. 当地球运动至右图中甲处时,正午旗杆影子如图中OP所示,据此推断该校位于 A. 南回归线附近 B. 赤道附近 C. 南寒带 D. 北温带 5. 造成旗杆影长随季节变化的主要是 A. 地球的形状 B. 地球的大小 C. 地球的自转 D. 地球的公转 6. 地球由乙处运动至丙处的过程中 A. 太阳直射点逐渐北移 B. 南极地区极昼范围逐渐增大C. 天安门广场升旗时间提前 D. 正午射入朝南教室的阳光面积减小 7. 2020年1月25日是我国农历春节,此时地球位于公转轨道的位置是 A. 甲→乙之间 B. 乙→丙之间 C. 丙→丁之间 D. 丁→甲之间 【答案】4. D 5. D 6. B 7. C 【解析】 【分析】根据地球的公转方向是自西向东的,当太阳光直射在南回归线上时,这一天称为冬至日,为12月 22日,北半球昼短夜长,北极圈以内地区有极夜现象;当太阳光直射在北回归线上时,这一天称为夏至日, 为6月22日,北半球昼长夜短,北极圈以内地区有极昼现象;当太阳光第一次直射在赤道上时,这一天称 为春分日,为3月21日,全球昼夜平分;第二次直射在赤道上时为秋分日,为 9月23日,全球昼夜平分, 进行分析解答。 【4题详解】 读图可得,图中甲是北半球的夏至日,此时太阳直射北回归线,图中的影子朝北,说明该地位于北回归线 以北,该地位于北温带。故选:D。 【5题详解】 造成旗杆影子长短随季节变化的主要原因是地球的公转运动,公转运动造成南北半球太阳高度角的变化, 太阳高度角大,正午旗杆影子短,太阳高度角小,正午旗杆影子长。故选:D。 【6题详解】 地球由乙运动至丙即由秋分日向冬至日的过程中,太阳直射点由赤道向南回归线移动,太阳直射点向南移 动,南极地区极昼范围逐渐增大,天安门广场升旗时间推迟,正午射入朝南教室的阳光面积增加,故 B正 确。故选:B。 【7题详解】 2020年1月25日是我国农历春节,此时地球位于公转轨道的丙冬至日(12月22日前后)丁春分日(3月 321日前后)之间。故选:C。 【点睛】本题主要考查地球公转示意图的判读。 某中学制作主题为“点亮中国”的宫灯。下图为学生手绘的设计图。图中的甲、乙分别为“粤港澳大湾 区”和“中国竖版地图”的示意图。读图 ,完成下面小题。8. 甲图中澳门位于深圳的 A. 东南方向 B. 东北方向 C. 西北方向 D. 西南方向 9. 乙图的中国地图上1厘米代表实地距离约为 A. 50 千米 B. 200 千米 C. 500 千米 D. 2000 千米 10. 有同学想在乙图中绘制北京与香港之间的京九铁路,他应该选择的图例是 A. B. C. D. 11. 图中的甲图比乙图 A. 表示的实地范围更大 B. 表示的内容更简略 C. 比例尺更大 D. 图幅范围更大 【答案】8. D 9. B 10. B 11. C 【解析】 【分析】根据地图的三要素包括,比例尺、方向、图例和注记;任何一幅地图都要具备这三要素,进行分 析解答。 【8题详解】 该图没有指向标和经纬网,可根据“上北下南,左西右东”判断方向;故甲图中澳门位于深圳的西南方向。 故选:D。 【9题详解】 已知,比例尺等于图上距离比上实际距离;我国南北距离约为5500千米=550000000厘米,乙图中南北直 线距离为30厘米,则比例尺=30:550000000=1:18300000,即图示1厘米表示实际距离18300000厘米 =183千米,选项中与此最近的数值是200千米。故选:B。 【10题详解】 读图分析可知,A表示国界线;B表示铁路线;C表示公路;D表示运河。故选:B。 【11题详解】 读图分析可知,图中的甲图实际范围小于乙图;图幅相同的情况下,实际范围越小,比例尺越大,内容越 详细。结合题意。故选:C。 【点睛】本题主要考查地图中比例尺、方向、图例的判读。 地震是一种危害极大的自然灾害。下图为“六大板块分布及部分地震分布示意图”。读图,完成下面小题。12. 近10年来的8级以上地震主要发生在 A. 太平洋板块内部 B. 亚欧板块与印度洋板块张裂处 C. 板块相互碰撞的边界 D. 非洲板块与美洲板块的交界处 13. 当地震发生时,适宜的避难措施是 A. 迅速乘坐电梯下楼 B. 赶紧沿着楼梯蜂拥而下 C. 在窗户旁大声呼救 D. 暂时躲在小房间的墙角 【答案】12. C 13. D 【解析】 【分析】根据地质学家经过长期的研究,提出了板块构造学说,认为全球由六大板块组成,一般来说板块 内部比较稳定,板块与板块交界地带,地壳比较活跃,多火山、地震,进行分析解答。 【12题详解】 读图分析可知,在板块与板块的交界处的碰撞挤压地带,地壳比较活跃,因此多火山、地震。故选:C。 【13题详解】 当地震来时,千万不要惊慌,身处高楼层时,乘电梯或走楼梯危险性都较大,阳台等处也不安全。 若是在 高楼层的教室上课,要就近躲在课桌旁边,或小开间的墙角处,半蹲,并用书包等护住头部;切不可因为 恐惧从窗户跳下。若是在高楼层的家中,则要迅速撤离到空间较小或有三角支撑的洗漱间,可用枕头保护 头部。若是在低楼层教室或是平房中,可以迅速跑到开阔的地方,远离建筑物和危险品。ABC错误。结合 题意。故选:D。 【点睛】本题主要考查地震发生位置特点及自救措施。 北京某学校计划举办郊游活动,同学们查询了近期的天气情况,如表所示,回答下列各题。14. 根据表中的天气信息,下列说法正确的是 A. 15日多云,空气质量较差,需带好口罩 B. 16日气温降低,为阴雨天气,请带好雨具 C. 17日东南风强劲,外出请远离广告牌 D. 18日天气晴朗,气温日较差最大,注意增减衣物 15. 从15日到18日 A. 气温持续降低 B. 风力逐渐增强 C. 空气质量变差 D. 天气转晴 16. 从天气情况考虑,表中四天最适合郊游的是 A. 15日 B. 16日 C. 17日 D. 18日 17. 同学们在此季节来到郊外,可能会看到 A. 樱花盛开 B. 荷叶田田 C. 枫叶正红 D. 白雪纷飞 【答案】14. B 15. D 16. D 17. C 【解析】 【分析】根据在天气预报图上,我们可以看到一些符号,这些符号都是用来表示天气状况的,他们都有特 定的含义。我们只有认识各种天气符号,才能看懂天气预报,才能为我们的生活和生产服务,进行分析解 答。 【14题详解】 15日为阴天,空气质量较差,需带好口罩,故A错误; 16日气温降低,为阴雨天气,请带好雨具,故B正确; 17日为西北风强劲,外出请远离广告牌,故C错误; 18日天气晴朗,气温日较差最小,故D错误。 故选B 。 【15题详解】 从15日到18日气温基本平稳,故A错误; 从15日到18日风力变化明显,并没有持续增强,故B错误; 空气质量逐渐变好,故C错误; 天气持续转晴,故D正确。故选D。 【16题详解】 从天气情况考虑,表中四天最适合郊游的是18日,该天天气晴朗,气温适宜,风力较小,适宜郊游。故选 D。 【17题详解】 读图表可知,该时段为10月份为秋季正适宜欣赏红叶;樱花盛开,荷叶田田属于夏季景观;白雪纷飞为冬 季景观。故选C。 【点睛】本题主要考查天气预报的解读。 下图为“地球夜晚灯光图”,图中白色部分代表夜晚 的灯光。读图,完成下面小题。 18. 灯光较密集的大洲是 A. 欧洲、北美洲、亚洲 B. 非洲、大洋洲、南美洲 C. 非洲、亚洲、南美洲 D. 大洋洲、北美洲、欧洲 19. 影响灯光强弱的主要因素有 ①人口密集程度 ②经济发展水平 ③森林面积大小 ④旅游资源数量 A. ①② B. ③④ C. ①③ D. ②④ 20. 全球海陆分布的特点有 A. 陆地面积大于海洋面积 B. 陆地多集中分布于北半球 C. 北极地区主要为陆地 D. 海洋被陆地分为四部分,互不相连 【答案】18. A 19. A 20. B 【解析】 【分析】根据地球上的陆地被海洋分割成六个大块和许多小块,面积较大的陆地叫大陆,面积较小的陆地 叫岛屿,大陆和它附近的岛屿合称大洲。全球共有七大洲,按面积由大到小排列分别为:亚洲、非洲、北 美洲、南美洲、南极洲、欧洲和大洋洲。地球上广阔的海洋连为一体,习惯上人们把大洋分为四大部分, 分别为太平洋、大西洋、印度洋、北冰洋,进行分析解答。【18题详解】 据图并结合大洲和大洋的分布可知,夜晚灯光范围大的地区主要分布在欧洲、北美洲、亚洲。所以A正确, BCD错误。故选:A。 【19题详解】 影响灯光强弱的主要因素有人口密集程度和经济发展水平。结合题意。故选:A。 【20题详解】 地球表面陆地面积小于海洋面积,故A错误。 陆地多集中分布于北半球和东半球,故B正确。 北极地区主要为海洋,南极地区主要是陆地,故C错误。 为 海洋被陆地分 四大洋,相互连为一体,故D错误。 故选:B。 【点睛】本题主要考查大洲大洋及海陆的分布。 北京中轴线代表着我国古代在都城建设中的最高成就。北京某中学同学开展了考察北京中轴线的地理实践 活动,读“北京中轴线手绘图”,完成下面小题。 21. 北京中轴线上最能体现古都地域文化特色的是 A. 古色古香的街巷胡同 B. 小桥流水的城市公园 C. 高大雄伟的宫殿建筑 D. 四通八达的古代运河 22. 中轴线影响下,北京城市空间布局的特征是 A. 南北对称 B. 自由 C. 东西对称 D. 开放 23. 下列属于北京传统民居的是 A. 四合院 B. 竹楼C. 土楼 D. 碉楼 【答案】21. C 22. C 23. A 【解析】 【分析】根据北京中轴线是指自元、明、清以来,城市建筑物东西对称布局的对称轴。它是世界古代城市 建设史上罕见的奇迹,是世界上现存最长、最完整的古代城市中轴线,代表着东方文明古都规划建设的最 高成就,进行分析解答。 【21题详解】 北京中轴线上最能体现古都地域文化特色的是故宫等高大雄伟的宫殿建筑;结合题意。故选:C。 【22题详解】 北京南北起伏、东西对称的体形或空间的分配都是以中轴线为依据的。中轴线南起永定门,北至钟鼓楼, 越过太液池东岸的宫城中央。到了明代,统治者将北京中轴线向东移动了150米,最终形成现在的格局。 北京城市空间布局的特征是东西对称。故选:C。 【23题详解】 四合院是北京的传统民居形式,辽代时已初成规模,经金、元,至明、清,逐渐完善,最终成为北京民居 建筑的代表。故选:A。 【点睛】考查北京的概况,要理解记忆。 下图为“中国、印度两国人口数量柱状图”。读图,完成下面小题。 24. 据图可知1951年至2015年 A. 印度的人口总数匀速增加 B. 中国人口增长速度持续加快 C. 中国净增加入口少于印度 D. 两国人口数量差异逐渐增大 25. 人口数量过多带来的影响有A. ①② B. ①③ C. ②③ D. ②④ 【答案】24. C 25. C 【解析】 【分析】根据中国和印度是世界人口最多的两个国家,两国人口基数大,人口增长快;带来了一系列人口 问题,如:住房紧张,交通拥堵等,进行分析解答。 【24题详解】 据图可知1951年至2015年印度的人口总数增速加快;中国人口增长速度持续减缓;中国净增加入口少于 印度;两国人口数量差异逐渐缩小。结合题意。故选:C。 【25题详解】 读图分析可知,人口数量过多,使居民的就业问题难以解决,故①错误;人口数量过多,造成水资源短缺, 水井越挖越深,故②正确;人口数量过多,使地球不堪负重,故③正确;人口数量少,人口增长过慢,造 成人口老龄化严重,养老负担加重,故④错误。依据题意。 故选:C。 【点睛】本题主要考查印度和中国的人口状况及人口问题。 二、综合题(共50分) 26. 有“北京最美乡村”之称的X村坐落于北京西郊。因其历史悠久、建筑独特,近年来成为了京郊旅游 的热门景点。左图为“X村所在区域等高线地形图”。阅读图文资料,完 成下列问题。 (1)左图中的等高距为_____米。该区域的主要地形类型是_____。一名游客从游客服务中心出发,沿公路步行至A处观看山腰处的溶洞。其行进的方向大致为先向______,再向_____,其步行距离约为_____米。 步行的过程中,该游客感到一直在_____(上坡/下坡)。 溶洞的海拔高度约在_____米。 (2)右图为该游客拍摄的村落照片。村落前面被一道弓形墙围绕,中部被一条弧形大墙分为上下两部分, 放眼望去,呈现独特的元宝形态。推测该游客的拍摄地点位于左图中的_______(B/C/D)处,判断的理由 是_____。(至少答出2点) (3)该村落堪称山区院落民居的典范。村中保留了大量明清时期的院落,这些院落小巧精致, 组织紧凑。 院落形状以四合院为主,多坐北朝南,院中屋舍在南面设置窗户,其他三面设置 砖墙。主要是因为这里 属于_______气候(填写气候类型),四季分明,夏季_______,冬季_______(填写气温特征)。屋舍在 南面设置窗户有利于冬季______,其他三面设置砖墙有利于减少冬季的_____风(填写风向)的侵袭。 【答案】 ①. 20 ②. 山地 ③. 西 ④. 西北 ⑤. 350 ⑥. 上坡 ⑦. 730米——750 米 ⑧. D ⑨. D处海拔高于村落最高点,可俯视拍摄;D处位于开阔山谷中,与村落之间视野开阔 无遮挡;由地图中的村落形态可知,D处的拍摄角度恰当;D处与村落之间有一定的距离,适合拍摄村落 全景 ⑩. 温带季风 ⑪. 炎热 ⑫. 寒冷 ⑬. 采光通风 ⑭. 西北 【解析】 【分析】根据在等高线地形图上,等高线闭合且等高线数值中间高四周低为山顶,两山顶之间相对低洼的 部位为鞍部,等高线闭合且等高线数值中间低四周高为盆地,等高线向海拔低处凸为山脊,等高线向海拔 高处凸为山谷,等高线重合的地方为陡崖。等高线密集表示坡陡,等高线稀疏表示坡缓,进行分析解答。 【详解】读图分析可知: (1)左图中的等高距为20米。该区域的海拔大部分在500米以上,地形类型是山地;游客从游客服务中 心出发,沿公路步行至A处观看山腰处的溶洞。其行进的方向大致为先向西出发,再向西北方向;可测得 图上距离约为5厘米,比例尺为1:5000,可求得其步行实际距离约为5000×5=25000厘米=250米。其线 路为穿行在峡谷中,在步行的过程中,该游客感到一直在上坡。溶洞的海拔高度在730米——750米之间。 (2)右图为该游客拍摄的村落照片。村落前面被一道弓形墙围绕,中部被一条弧形大墙分为上下两部分, 放眼望去,呈现独特的元宝形态。拍摄点位于D处;D处海拔高于村落最高点,可俯视拍摄;D处位于开 阔山谷中,与村落之间视野开阔无遮挡;由地图中的村落形态可知,D处的拍摄角度恰当;D处与村落之 间有一定的距离,适合拍摄村落全景。 (3)该村落堪称山区院落民居的典范。村中保留了大量明清时期的院落,这些院落小巧精致, 组织紧凑。 院落形状以四合院为主,多坐北朝南,院中屋舍在南面设置窗户,其他三面设置砖墙。主要是因为这里属 于温带季风气候,四季分明,夏季炎热多雨,冬季寒冷干燥。屋舍在南面设置窗户有利于冬季获取光照, 采光通风,其他三面设置砖墙有利于减少冬季的西北风的侵袭。 【点睛】本题主要考查等高线地形图的判读。 27. 日晷是人类古代利用日影测得时刻的一种计时仪器。某校利用假期时间组织同学们去故宫参加社会实践活动,观察了放置在太和殿前的日晷,并绘制了日晷计时示意图(左图)。右图为参观当日的太阳光照 示意图。读图,完成下列问题。 (1)据右图可知,同学们是利用__________(寒假/暑假)开展社会实践活动的。参观当日,太阳直射 的地点在______(南/北)半球,极昼现象出现在_____(北极/南极)地区。全球白昼的面积______(大 于/等于/小于)黑夜的面积。北京的昼夜长短情况为______(昼长夜短/昼短夜长),从参观这一天到新 学期开学期间,北京白昼长短的变化是_____。(选择填空) A.逐渐变短 B.逐渐变长 C.先变短,后变长 D.先变长,后变短 (2)一天中从日出到日落,晷针投影长度变化的规律是先变____(长/短),再变_____(长/短)。根据 左图可以判断,同学们观测日晷的时间接近______(日出/中午/日落)。 (3)影响北京故宫日晷计时效果的因素有_______、_______等。 【答案】 ①. 暑假 ②. 北 ③. 北极 ④. 等于 ⑤. 昼长夜短 ⑥. A ⑦. 短 ⑧. 长 ⑨. 中午 ⑩. 天气状况 ⑪. 昼夜状况 【解析】 【分析】根据地球围绕太阳公转时,地轴与公转轨道的平面成66.5°的固定夹角,这就使得一年内太阳光 线的直射点有规律地在南北回归线之间移动.当太阳光线直射赤道时是北半球的春分日或秋分日;当太阳 光线直射北回归线时是北半球的夏至日;当太阳光线直射南回归线时是北半球的冬至日,进行分析解答。 【详解】(1)据右图可知,同学们是利用暑假开展社会实践活动的。参观当日,太阳直射的地点在北半 球的北回归线上,北极圈内的北极地区有极昼现象;全球白昼的面积等于黑夜的面积。北京的昼夜长短情 况为昼长夜短,从参观这一天到新学期开学期间,北京白昼长短的变化是 逐渐变短。 (2)日出到正午,投影长度在变短,正午到日落,投影长度在变长;同学们观测日晷的时间接近中午。 (3)日晷计时必须有光照,故还受到天气状况和昼夜状况的影响。 【点睛】本题主要考查地球公转的特点。 28. 亚洲是世界最大的大洲,自然环境和人文环境复杂多样。阅读图文资料,完成下列问题。(1)下面有两位来自亚洲不同地区的朋友分别介绍各自家乡的地理概况和传统习俗。在阿迪 勒,安吉斯 两位的介绍中有明显错误,找出其中的两处错误,抄写在下面的横线上。 我叫阿迪勒,来自 A 地区,我的家乡夏天凉爽,冬天温暖、全年降水少。我们这 里森林广布,我们 用红茶和烤全羊招待贵宾,会带客 人骑骆驼,滑沙子。大家好我叫安吉斯,来自 M 地 区,我们这里夏天炎热,冬天寒冷,全年多雨。我们住在大草原上, 蒙古包就是我们的家。我们招待贵客的美食有奶茶、手抓肉,带客人骑马射箭。 错误 1:_____;错误 2:_____ (2)来自北京的小明同学想要向两位外国朋友介绍自己生活的地方。运用所学知识,帮小明完善下面的 介绍。 我生活在中国的首都——北京。她位于中国的________部,属于________ 纬度地区。北京的气候四季分 明,一 年中景色变幻多姿。我最喜欢秋天,每当天气转凉,苍翠的树木纷纷换上五彩的叶片,这是因为 北京生长的主要是______(落叶/常绿)阔叶林。在北京生活的人们的人种大多属于_____,常用的语言为 _____。作为历史悠久的文化名城,北京拥有十三陵、颐和园、_______ 等众多的名胜古迹。 (3)一方水土养一方人,独特的自然环境往往会对人们的生产生活产生影响。据图比较三地的气候特征 及主要影响因素,并完成下表。 气候特征 主要影响因素 年平均气温最高的是______ ________ 气温年较差最大的是______ ________ 全年降水量最多的是______ ________ 【答案】 ①. 我的家乡夏天凉爽,冬天温暖、全年降水少。我们这里森林广布; ②. 来自 M 地区, 我们这里夏天炎热,冬天寒冷,全年多雨; ③. 东; ④. 中; ⑤. 落叶; ⑥. 黄色人种; ⑦. 汉语; ⑧. 故宫; ⑨. A; ⑩. 纬度位置; ⑪. M; ⑫. 海陆位置; ⑬. 北京; ⑭. 海陆位置。 【解析】 【分析】根据亚洲气候的特点是:亚洲气候复杂多样,季风气候显著,大陆性特征明显,其中亚洲分布最 广的气候类型是温带大陆性气候,亚洲面积广大,地跨寒温热三带,且地形复杂多样,除温带海洋性气候 外,世界上的各种气候在亚洲都有分布,进行分析解答。 【详解】(1)错误1:我的家乡夏天凉爽,冬天温暖、全年降水少。我们这里森林广布;应改为:我的家乡为热带沙漠气候,终年炎热,全年降水少。我们沙漠广布; 错误2:来自 M 地区,我们这里夏天炎热,冬天寒冷,全年多雨; 应改为:这里为温带大陆性气候,夏天炎热,冬天寒冷,气候干旱,降水较少,集中于夏季。 (2)中国的首都北京,位于中国的东部地区,属于中纬度地区。北京为温带季风气候,四季分明,一年 中景色变幻多姿。北为落叶阔叶林。在北京生活的人们的人种大多属于黄色人种,通用语言为汉语。作为 历史悠久的文化名城,北京拥有十三陵、颐和园、故宫等众多的名胜古迹。 的 (3)年平均气温最高 是A地,该地地处低纬度地区的热带,影响因素是纬度因素;年温差较大的是 M地,该地深居内陆远离海洋,为温带大陆性气候,夏季炎热,冬季寒冷,年温差大,影响因素是海陆因 素。年降水量最多的是北京,受海陆位置的影响,北京季风气候显著,降水较多,集中于夏秋季节。 【点睛】本题考查亚洲不同气候类型的分布及影响因素等,读图解答即可。 29. 一个国家要发展和进步,就需要同其他国家开展合作与交流,相互取长补短,实现共同进步。下图为 世界政区图。读图文资料,回答下列问题。 资料一 2018年11月15日,国家主席习近平离京出席亚太经合组织第二十六次领导人非正式会议, 并对巴布亚新几内亚、文莱和菲律宾进行国事访问。 资料二 2018年11月27日至12月5日,国家主席习近平应邀对西班牙、阿根廷、巴拿马、葡萄牙四 国进行国事访问,并出席在阿根廷举行的二十国集团领导人第十三次峰会。 (1)习主席出访的巴布亚新几内亚、文莱、菲律宾三国都位于________群岛,这是世界上最大的群岛, 该群岛处于________洋和________洋之间。 (2)访问西班牙是习主席十九大后首次访问________洲、下图为西班牙著名的圣家族大教堂。它是三大 宗教中________教的建筑。(3)“阿根廷,跨越大半个地球来看你”。离开西班牙后,习主席到访距离中国最远的国家——阿根廷。 从南北半球来看,阿根廷位于________半球,从东西半球来看,阿根廷位于________半球。 (4)巴拿马拥有著名的巴拿马运河,该运河是________洲和________洲的分界线,为世界重要的航运通 道。 (5)西班牙、葡萄牙是欧盟重要的成员国,习主席此次出访,同两国分别签署了多项合作文件,涉及经 贸、科技、金融、能源等领域。二十国集团之间的经济合作属于________。(选择填空) A.南北合作 B.南南合作 C.南北对话 D.南南对话 【答案】 ①. 马来 ②. 太平(洋) ③. 印度(洋) ④. 欧 ⑤. 基督教 ⑥. 南 ⑦. 西 ⑧. 北美 ⑨. 南美 ⑩. C 【解析】 【分析】世界上的国家有近两百个,根据各国经济发展水平的不同,可以将这些国家划分为发达国家和发 展中国家,大部分国家是发展中国家,少数国家是发达国家,发达国家主要分布在欧洲、北美洲和大洋洲。 【详解】(1)由图可以看出,习主席出访的巴布亚新几内亚、文莱、菲律宾三国都位于世界最大的群岛 -马来群岛上;该群岛因位于太平洋板块与印度洋板块之间的交界处,地壳活动频繁。 (2)西班牙是欧洲西部国家,是习近平十九大以后首次访问欧洲;图中所示是基督教 的宗教建筑-教 堂。 (3)从图中的世界地图可以看出,阿根廷是位于南北半球的南半球,东西半球的西半球。 (4)巴拿马运河是南美洲与北美洲的分界线,沟通了太平洋和大西洋,是世界重要的海上通道。 (5)“二十二国集团”中既有发达国家,也有发展中国家,国家间的合作称为“南北对话”,故选C。