当前位置:首页>文档>专题07解三角形(面积问题(含定值,最值,范围问题))(典型题型归类训练)(解析版)_2.2025数学总复习_2024年新高考资料_3.2024专项复习_三角函数、平面向量及解三角形

专题07解三角形(面积问题(含定值,最值,范围问题))(典型题型归类训练)(解析版)_2.2025数学总复习_2024年新高考资料_3.2024专项复习_三角函数、平面向量及解三角形

  • 2026-04-05 12:00:53 2026-03-12 07:10:44

文档预览

专题07解三角形(面积问题(含定值,最值,范围问题))(典型题型归类训练)(解析版)_2.2025数学总复习_2024年新高考资料_3.2024专项复习_三角函数、平面向量及解三角形
专题07解三角形(面积问题(含定值,最值,范围问题))(典型题型归类训练)(解析版)_2.2025数学总复习_2024年新高考资料_3.2024专项复习_三角函数、平面向量及解三角形
专题07解三角形(面积问题(含定值,最值,范围问题))(典型题型归类训练)(解析版)_2.2025数学总复习_2024年新高考资料_3.2024专项复习_三角函数、平面向量及解三角形
专题07解三角形(面积问题(含定值,最值,范围问题))(典型题型归类训练)(解析版)_2.2025数学总复习_2024年新高考资料_3.2024专项复习_三角函数、平面向量及解三角形
专题07解三角形(面积问题(含定值,最值,范围问题))(典型题型归类训练)(解析版)_2.2025数学总复习_2024年新高考资料_3.2024专项复习_三角函数、平面向量及解三角形
专题07解三角形(面积问题(含定值,最值,范围问题))(典型题型归类训练)(解析版)_2.2025数学总复习_2024年新高考资料_3.2024专项复习_三角函数、平面向量及解三角形
专题07解三角形(面积问题(含定值,最值,范围问题))(典型题型归类训练)(解析版)_2.2025数学总复习_2024年新高考资料_3.2024专项复习_三角函数、平面向量及解三角形
专题07解三角形(面积问题(含定值,最值,范围问题))(典型题型归类训练)(解析版)_2.2025数学总复习_2024年新高考资料_3.2024专项复习_三角函数、平面向量及解三角形
专题07解三角形(面积问题(含定值,最值,范围问题))(典型题型归类训练)(解析版)_2.2025数学总复习_2024年新高考资料_3.2024专项复习_三角函数、平面向量及解三角形
专题07解三角形(面积问题(含定值,最值,范围问题))(典型题型归类训练)(解析版)_2.2025数学总复习_2024年新高考资料_3.2024专项复习_三角函数、平面向量及解三角形
专题07解三角形(面积问题(含定值,最值,范围问题))(典型题型归类训练)(解析版)_2.2025数学总复习_2024年新高考资料_3.2024专项复习_三角函数、平面向量及解三角形
专题07解三角形(面积问题(含定值,最值,范围问题))(典型题型归类训练)(解析版)_2.2025数学总复习_2024年新高考资料_3.2024专项复习_三角函数、平面向量及解三角形
专题07解三角形(面积问题(含定值,最值,范围问题))(典型题型归类训练)(解析版)_2.2025数学总复习_2024年新高考资料_3.2024专项复习_三角函数、平面向量及解三角形
专题07解三角形(面积问题(含定值,最值,范围问题))(典型题型归类训练)(解析版)_2.2025数学总复习_2024年新高考资料_3.2024专项复习_三角函数、平面向量及解三角形
专题07解三角形(面积问题(含定值,最值,范围问题))(典型题型归类训练)(解析版)_2.2025数学总复习_2024年新高考资料_3.2024专项复习_三角函数、平面向量及解三角形
专题07解三角形(面积问题(含定值,最值,范围问题))(典型题型归类训练)(解析版)_2.2025数学总复习_2024年新高考资料_3.2024专项复习_三角函数、平面向量及解三角形
专题07解三角形(面积问题(含定值,最值,范围问题))(典型题型归类训练)(解析版)_2.2025数学总复习_2024年新高考资料_3.2024专项复习_三角函数、平面向量及解三角形
专题07解三角形(面积问题(含定值,最值,范围问题))(典型题型归类训练)(解析版)_2.2025数学总复习_2024年新高考资料_3.2024专项复习_三角函数、平面向量及解三角形
专题07解三角形(面积问题(含定值,最值,范围问题))(典型题型归类训练)(解析版)_2.2025数学总复习_2024年新高考资料_3.2024专项复习_三角函数、平面向量及解三角形
专题07解三角形(面积问题(含定值,最值,范围问题))(典型题型归类训练)(解析版)_2.2025数学总复习_2024年新高考资料_3.2024专项复习_三角函数、平面向量及解三角形
专题07解三角形(面积问题(含定值,最值,范围问题))(典型题型归类训练)(解析版)_2.2025数学总复习_2024年新高考资料_3.2024专项复习_三角函数、平面向量及解三角形
专题07解三角形(面积问题(含定值,最值,范围问题))(典型题型归类训练)(解析版)_2.2025数学总复习_2024年新高考资料_3.2024专项复习_三角函数、平面向量及解三角形
专题07解三角形(面积问题(含定值,最值,范围问题))(典型题型归类训练)(解析版)_2.2025数学总复习_2024年新高考资料_3.2024专项复习_三角函数、平面向量及解三角形
专题07解三角形(面积问题(含定值,最值,范围问题))(典型题型归类训练)(解析版)_2.2025数学总复习_2024年新高考资料_3.2024专项复习_三角函数、平面向量及解三角形
专题07解三角形(面积问题(含定值,最值,范围问题))(典型题型归类训练)(解析版)_2.2025数学总复习_2024年新高考资料_3.2024专项复习_三角函数、平面向量及解三角形
专题07解三角形(面积问题(含定值,最值,范围问题))(典型题型归类训练)(解析版)_2.2025数学总复习_2024年新高考资料_3.2024专项复习_三角函数、平面向量及解三角形
专题07解三角形(面积问题(含定值,最值,范围问题))(典型题型归类训练)(解析版)_2.2025数学总复习_2024年新高考资料_3.2024专项复习_三角函数、平面向量及解三角形
专题07解三角形(面积问题(含定值,最值,范围问题))(典型题型归类训练)(解析版)_2.2025数学总复习_2024年新高考资料_3.2024专项复习_三角函数、平面向量及解三角形
专题07解三角形(面积问题(含定值,最值,范围问题))(典型题型归类训练)(解析版)_2.2025数学总复习_2024年新高考资料_3.2024专项复习_三角函数、平面向量及解三角形
专题07解三角形(面积问题(含定值,最值,范围问题))(典型题型归类训练)(解析版)_2.2025数学总复习_2024年新高考资料_3.2024专项复习_三角函数、平面向量及解三角形
专题07解三角形(面积问题(含定值,最值,范围问题))(典型题型归类训练)(解析版)_2.2025数学总复习_2024年新高考资料_3.2024专项复习_三角函数、平面向量及解三角形
专题07解三角形(面积问题(含定值,最值,范围问题))(典型题型归类训练)(解析版)_2.2025数学总复习_2024年新高考资料_3.2024专项复习_三角函数、平面向量及解三角形

文档信息

文档格式
docx
文档大小
1.757 MB
文档页数
32 页
上传时间
2026-03-12 07:10:44

文档内容

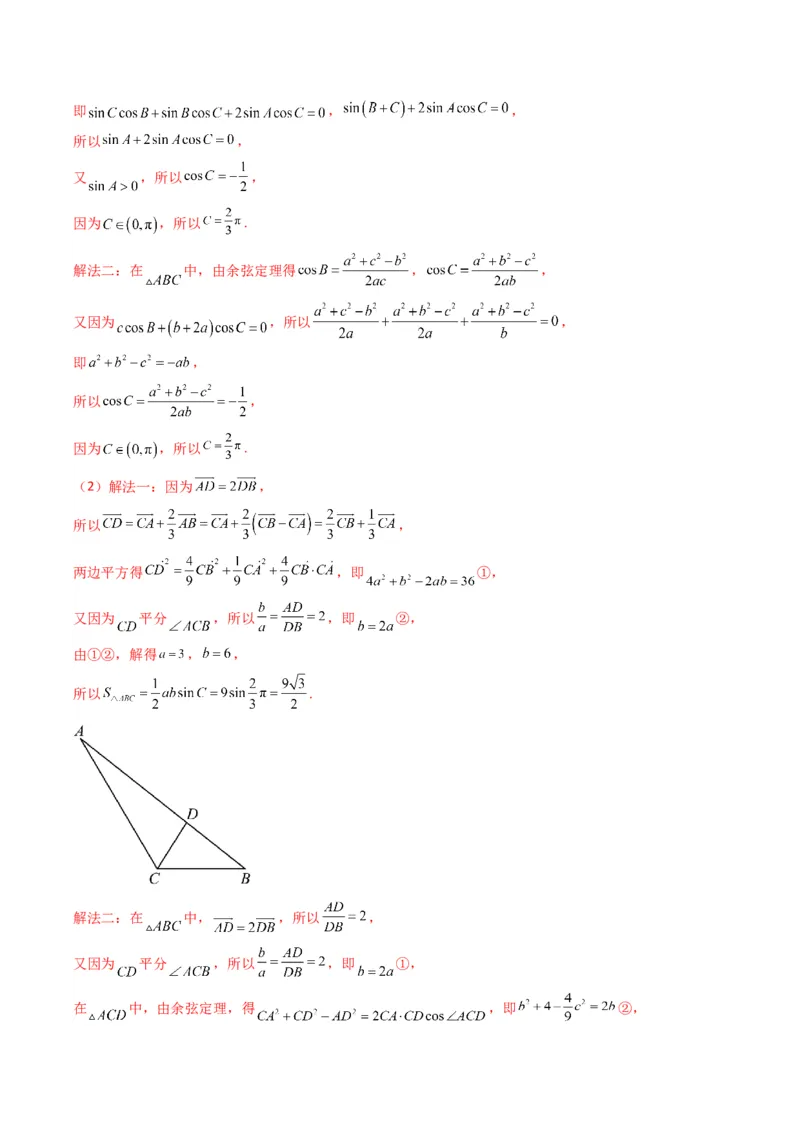
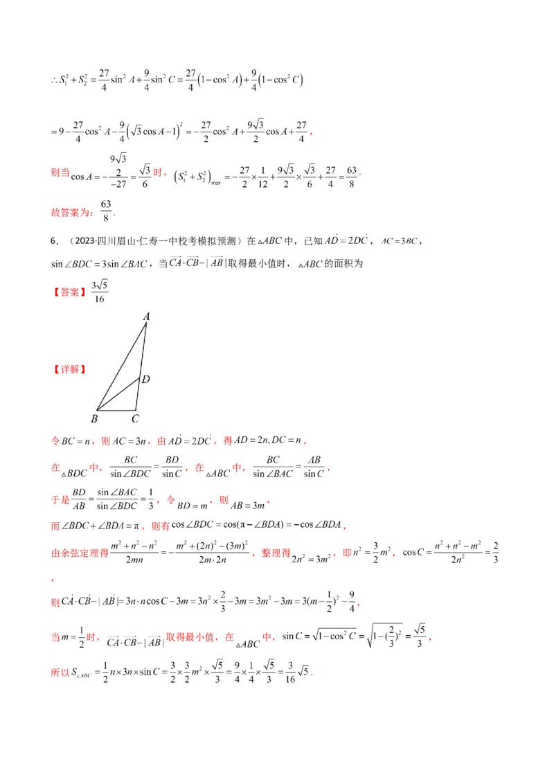
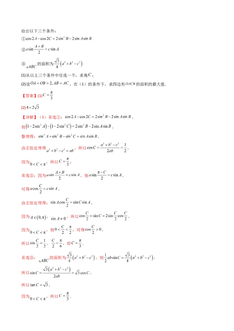
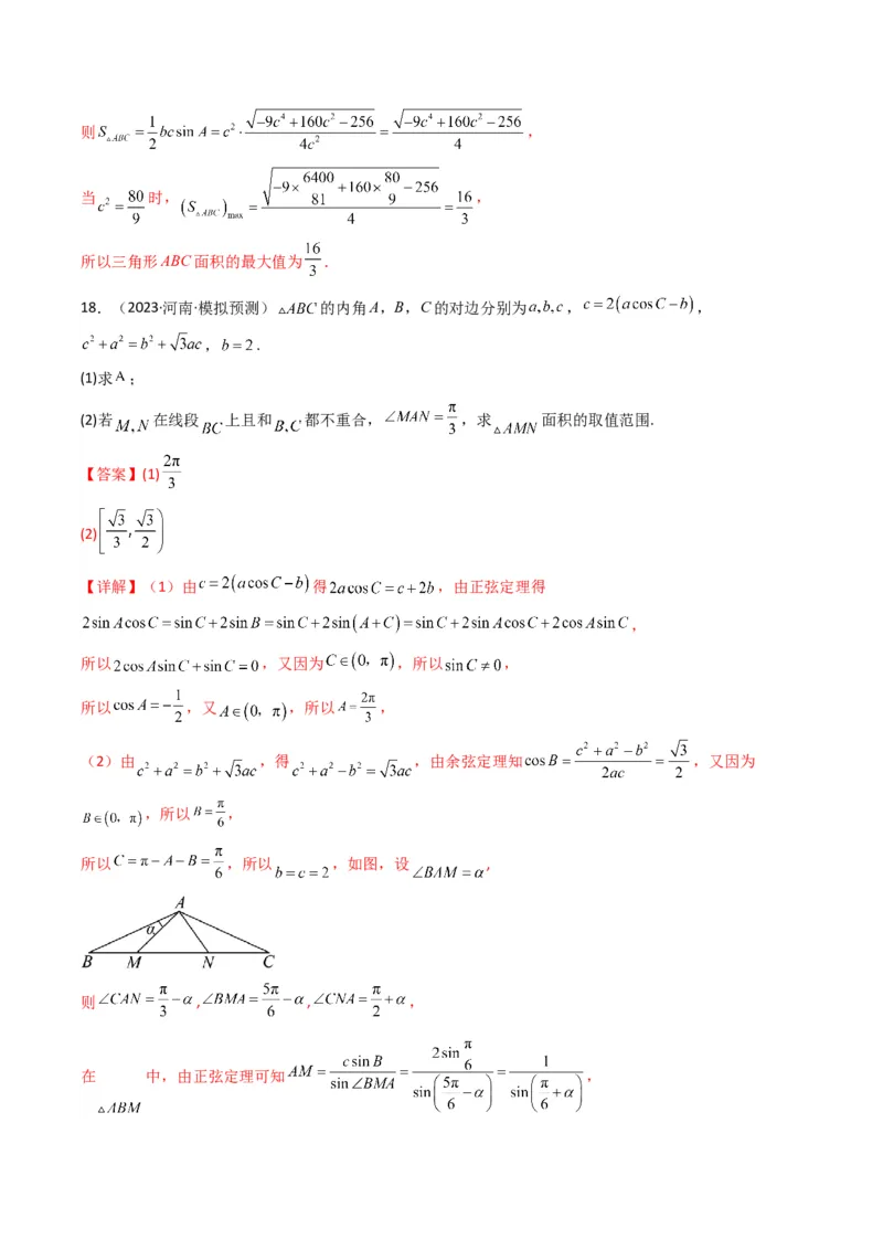
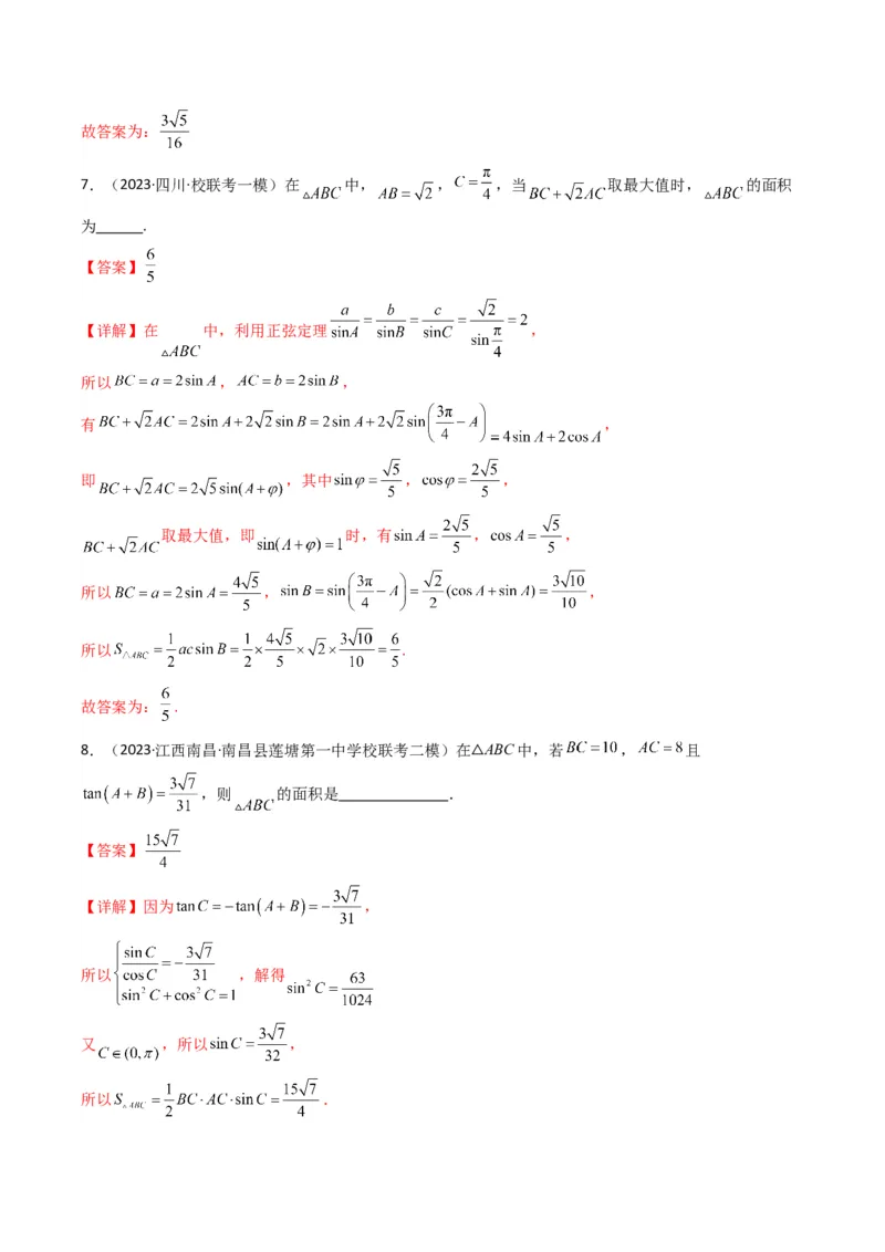
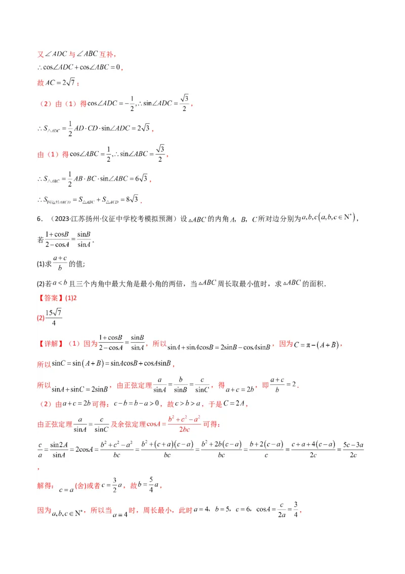
专题 07 解三角形(面积问题(含定值,最值,范围问题)) (典型题型归类训练) 目录 一、必备秘籍........................................................1 二、典型题型........................................................2 题型一:求三角形面积(定值问题).................................2 题型二:求三角形面积(最值问题,优先推荐基本不等式).............6 题型三:求三角形面积(范围问题,优先推荐正弦定理化角)..........11 三、专项训练.......................................................15 一、必备秘籍 基本公式1、正弦定理及其变形 基本公式2、余弦定理及其推论 基本公式3、常用的三角形面积公式 1 (1)S = ×底×高; ΔABC 21 1 1 (2)S = absinC= bcsinA= casinB(两边夹一角); ΔABC 2 2 2 核心秘籍1、基本不等式 ① ② 核心秘籍2:利用正弦定理化角(如求三角形面积取值范围,优先考虑化角求范围) 利用正弦定理 , ,代入面积公式,化角,再结合辅助角公式,根据角的取值范 围,求面积的取值范围. 二、典型题型 题型一:求三角形面积(定值问题) 1.(2023·陕西渭南·统考模拟预测)已知 的内角 的对边分别为 ,且 . (1)求角B; (2)若 ,求 的面积. 【答案】(1) (2) 【详解】(1)根据 ,由正弦定理可得 , 又 ,所以可得 ,即 ; 因为 ,所以 即 . (2)由 结合(1)中的结论 , 由余弦定理可得 ,即 , 解得 ,即 , 所以 .即 的面积为 . 2.(2023·湖南永州·统考一模)在 中,设 所对的边分别为 ,且满足 . (1)求角 ; (2)若 的内切圆半径 ,求 的面积. 【答案】(1) (2) 【详解】(1)在 中,由 得 , 即 , 故 ,由于 , 故 ,而 ,故 . (2)由 可得 ,而 , 故 ,则 , 由 的内切圆半径 ,可得 , 即 ,即 , 故 ,解得 , 故 的面积 . 3.(2023·云南·校联考模拟预测)已知 .在 中, . (1)求角 的大小; (2) 是边 上的一点,且 , 平分 ,且 ,求 的面积. 【答案】(1) ; (2) .【详解】(1)依题意, , 由 ,得 ,而 ,即 ,因此 , 所以 . (2)在 中,由 及正弦定理,得 , 由(1)及 平分 ,得 , 又 ,由 ,得 , 即 ,解得 , , 所以 的面积 . 4.(2023·福建·校联考模拟预测)设 的内角 , , 的对边分别为 , , ,已知 , ,且 . (1)求 ; (2)求 的面积. 【答案】(1) (2) 【详解】(1)由 及 ,得 , 由正弦定理得 所以 , , 所以 , 又因为 ,所以 . (2)由 结合正弦定理得 ,即 所以 或 . 又因为 ,所以 . 所以 ,因为 , 所以 , 所以 , 即 的面积为 . 5.(2023·辽宁沈阳·沈阳铁路实验中学校考二模)如图,在四边形 中, 与 互补, . (1)求 ; (2)求四边形 的面积. 【答案】(1) (2) 【详解】(1)连接 ,如图, 与 互补, 与 互补, 在 中, , 即 , 得 , 在 中, , 即 , 得 ,又 与 互补, , 故 ; (2)由(1)得 , , 由(1)得 , , . 6.(2023·江苏扬州·仪征中学校考模拟预测)设 的内角 所对边分别为 , 若 . (1)求 的值; (2)若 且三个内角中最大角是最小角的两倍,当 周长取最小值时,求 的面积. 【答案】(1)2 (2) 【详解】(1)因为 ,所以 ,因为 , 所以 , 所以 ,由正弦定理 ,得 ,即 . (2)由 可得: ,故 ,于是 , 由正弦定理 及余弦定理 可得: , 解得: (舍)或者 ,故 , 因为 ,所以当 时,周长最小,此时 ,所以 ,所以 的面积为 . 题型二:求三角形面积(最值问题,优先推荐基本不等式) 1.(2023·福建福州·福建省福州第一中学校考模拟预测)在 中,角 的对边分别是 ,且 . (1)求角 ; (2)若 的中线 长为 ,求 面积的最大值. 【答案】(1) (2) 【详解】(1)在 中,由正弦定理得: , 而 , 所以 , 化简得 , 因为 ,所以 , , 即 ,所以 , 又因为 ,所以 ,即 . (2)由 是 的中线, , 所以 , 即 ,所以 ,所以 , 当且仅当 时,等号成立, 所以三角形面积 , 即 的面积的最大值为 . 2.(2023·四川成都·石室中学校考模拟预测)在 中,角A,B,C所对的边分别为a,b,c,且 ,边BC上有一动点D.(1)求角A的大小; (2)当D为边BC中点时, ,求 面积的最大值. 【答案】(1) (2) 【详解】(1)因为 , 所以 ,即 . 由正弦定理,得 . 因为 ,所以 . 因为 ,所以 . 又因为 ,所以 ,则 . (2)因为D为边BC中点,所以 ,则 . 又 , ,所以 ,即 ,仅当 时取等号, 所以 ,故 面积的最大值为 . 3.(2023·湖南邵阳·邵阳市第二中学校考模拟预测)在 中,角 , , 所对的边分别是 , , ,若 . (1)求角 的大小; (2)若 ,求 的面积 的最大值. 【答案】(1) (2) 【详解】(1)因为 , , 所以 可化为 , 所以 ,又因为 解得 ,又因为 ,所以 . (2)由余弦定理得 ,所以 , 又 ,所以 , 所以 , 又因为 ,当且仅当 时等号成立, 所以 ,所以 ,当且仅当 时等号成立, 所以三角形的面积 ,当且仅当 时等号成立, 所以三角形面积的最大值为 . 4.(2023·湖南衡阳·衡阳市八中校考模拟预测)在 中,内角 的对边分别为 ,从① ,② ,③ ,这三个条件中任选一个作为题目 的补充条件,你的选择是___________,并解答下面问题: (1)求角 的大小; (2)若 ,求 面积的最大值. 【答案】(1) (2) 【详解】(1)选择① ,且由正弦定理得: , ,即: 由余弦定理得: , 在 中, ,即: . 选择② ,且由正弦定理得: , ,整理得: , 在 中, ,即: , 又 ,即: .选择③ ,且在 中: ,即: , 又 ,则 . (2)由(1)得: ,且 ,且 , ,即: 当且仅当 时,等号成立. 又 面积为: 面积的最大值为: . 5.(2023·贵州毕节·校考模拟预测)已知 的内角 的对边分别是 , . (1)求 ; (2)若 ,求 面积的最大值. 【答案】(1) (2) 【详解】(1)由 , 知 , 则 . (2)由(1)知 , 由基本不等式可得 , 即 ,当且仅当 时等号成立, 故 的面积 ,当且仅当 时等号成立, 即 时, 面积的最大值取最大值,最大值为 . 6.(2023·福建南平·统考模拟预测)已知 中,角A,B,C的对边分别是a,b,c,且. (1)求A的大小; (2)设AD是BC边上的高,且 ,求 面积的最小值. 【答案】(1) ; (2) . 【详解】(1)在 中,由 及二倍角公式,得 , 即 ,整理得 , 因此 ,即 ,而 , 所以 . (2)由(1)及已知,得 ,即有 , 由余弦定理得 ,即 , 因此 ,即 , 于是 ,当且仅当 时取等号,而 , 所以 面积的最小值为 . 题型三:求三角形面积(范围问题,优先推荐正弦定理化角) 1.(2023·湖南郴州·统考一模)已知向量 , ,函数 . (1)若 ,求 的值; (2)已知 为锐角三角形, , , 为 的内角 , , 的对边, ,且 ,求 面积的取值范围. 【答案】(1) (2) 【详解】(1) , ,则 ; ; (2) , 又 ,所以 , ,得 ,即 , 因为 ,所以 , 所以 , 所以 , 解得 ,则 故 , 即 面积的取值范围为 . 2.(2023·浙江嘉兴·统考模拟预测)在 中,内角 , , 的对边分别为 , , ,且 , . (1)若 边上的高等于1,求 ; (2)若 为锐角三角形,求 的面积的取值范围. 【答案】(1) (2)【详解】(1)由正弦定理, , 所以 ,则 ,又 ,所以 , 因为 , 所以 ,解得 , 又由余弦定理, , 解得 ,所以 . (2)由正弦定理有 ,且由(1)可知 , 所以 , 又因为锐角 , 所以 ,解得 , 所以 ,所以 , 所以 , 所以 面积的取值范围是 . 3.(2023·上海闵行·上海市七宝中学校考三模)如图, 是边长为2的正三角形 所在平面上一点 (点 、 、 、 逆时针排列),且满足 ,记 . (1)若 ,求 的长;(2)用 表示 的面积 ,并求 的取值范围. 【答案】(1) (2) 【详解】(1)由 ,且 是边长为2的正三角形, 则 ,且 , 所以在 中,由余弦定理得 , 所以 ; (2)由 ,则 ,则 , 在 中,由正弦定理有 ,得 , 所以 , 又 ,且 ,则 ,所以 , 所以 ,则 , 故 的取值范围为 . 4.(2023·江苏南京·南京师大附中校考模拟预测)已知 、 、 分别为 的三个内角 、 、 的对 边长, ,且 . (1)求角 的值; (2)求 面积的取值范围. 【答案】(1) (2) 【详解】(1)由条件,可得 , 由正弦定理,得 ,所以 ,所以 ,因为 ,所以 . (2)由正弦定理,可知 , , ∵ ,∴ ,∴ . 5.(2023·重庆·统考模拟预测)在锐角 中,角A、B、C的对边分别为a、b,c,其面积为S,且 . (1)求角A的大小; (2)若 ,求S的取值范围. 【答案】(1) ; (2) . 【详解】(1)在锐角 中, ,由余弦定理 , 得 ,即 ,又 , , 因此 ,有 ,而 ,解得 , 所以 . (2)由(1)知, , , 由正弦定理得: ,即 , 则, 又 是锐角三角形,则有 ,即 ,亦即 , 于是 , , 所以S的取值范围是 . 三、专项训练 1.(2023·四川绵阳·四川省绵阳南山中学校考模拟预测)在 中,角 的对边分别为 ,已 知 ,则 的面积为( ) A. B.5 C. D. 【答案】A 【详解】在 中,因为 ,可得 , 由正弦定理 ,可得 , 又因为 ,可得 ,所以 , 所以 , 则 . 故选:A. 2.(2023·甘肃定西·统考模拟预测)若三角形三边长分别为a,b,c,则三角形的面积为 ,其中 ,这个公式被称为海伦—秦九韶公式.已知 中,角A,B,C的对边分别为a,b,c, ,a=6,则 面积的最大值为( ) A.8 B.12 C.16 D.20 【答案】B 【详解】在 中,因为 ,所以 ,又a=6,所以 , 可得 ,且 , 故 的面积 , 当且仅当 ,即 时取等号, 故 面积的最大值为12. 故选:B 3.(2023·四川宜宾·统考三模)在 中,角A,B,C所对边分别记为a,b,c,若 , ,则 面积的最大值是( ) A. B.2 C. D. 【答案】C 【详解】由余弦定理可得 , 所以 . 因为 , ,所以 ,即 ,解得 . 所以 , 当 时, . 故选:C. 4.(2023·西藏拉萨·统考一模)在 中,角A,B,C所对的边分别为a,b,c,若 ,, ,则 的面积为( ) A. B. C.12 D.16 【答案】B 【详解】由正弦定理及 ,得 , 所以 , 所以 , 即 , 所以 . 由正弦定理得 . 因为 ,所以 , 又 ,所以由余弦定理得 , 解得 , 所以 的面积为 . 故选:B. 5.(2023·甘肃·统考一模)在如图所示的平面四边形ABCD中, , ,记 △ABD,△BCD的面积分别为 ,则 的最大值为 . 【答案】 【详解】在 中,由余弦定理得: , 在 中,由余弦定理得: , ,整理可得: , , ,, 则当 时, . 故答案为: . 6.(2023·四川眉山·仁寿一中校考模拟预测)在 中,已知 , , ,当 取得最小值时, 的面积为 【答案】 【详解】 令 ,则 ,由 ,得 , 在 中, ,在 中, , 于是 ,令 ,则 , 而 ,则有 , 由余弦定理得 ,整理得 ,即 , , 则 , 当 时, 取得最小值,在 中, , 所以 .故答案为: 7.(2023·四川·校联考一模)在 中, , ,当 取最大值时, 的面积 为 . 【答案】 【详解】在 中,利用正弦定理 , 所以 , , 有 , 即 ,其中 , , 取最大值,即 时,有 , , 所以 , , 所以 . 故答案为: . 8.(2023·江西南昌·南昌县莲塘第一中学校联考二模)在 ABC中,若 , 且 △ ,则 的面积是 . 【答案】 【详解】因为 , 所以 ,解得 又 ,所以 , 所以 .故答案为: 9.(2023·广西南宁·南宁二中校考模拟预测)在 中, ,点D在线段AC上,且 , ,则 面积的最大值为 . 【答案】 【详解】设 ,则 , 在 中,由余弦定理,得 , 在 中,由余弦定理,得 , 由于 ,得 , 即 ,整理,得 , 在 中,由余弦定理,得 ,即 ,代入 式化简整理, 得 , 由 ,解得 ,当且仅当 时,等号成立, 所以 面积的最大值为 . 故答案为: . 10.(2023·福建泉州·统考模拟预测) 的内角 所对的边分别为 ,且满足 . (1)求 ; (2)若 平分 ,且 , ,求 的面积. 【答案】(1) (2) 【详解】(1)解法一:因为 , 所以由正弦定理可得 ,即 , , 所以 , 又 ,所以 , 因为 ,所以 . 解法二:在 中,由余弦定理得 , , 又因为 ,所以 , 即 , 所以 , 因为 ,所以 . (2)解法一:因为 , 所以 , 两边平方得 ,即 ①, 又因为 平分 ,所以 ,即 ②, 由①②,解得 , , 所以 . 解法二:在 中, ,所以 , 又因为 平分 ,所以 ,即 ①, 在 中,由余弦定理,得 ,即 ②,在 中,由余弦定理,得 ,即 ③, 由①②③解得 , , 所以 . 解法三:过 点作 交 于点 , 因为 ,且 平分 ,所以 , 所以 为等边三角形,所以 , 又因为 ,所以 , , 所以 . 11.(2023·江苏无锡·校考模拟预测)已知函数 . (1)求函数 的最小正周期和单调递增区间; (2)在 中,内角 所对的边分别是 ,且 ,若 ,求 的面积. 【答案】(1)最小正周期为 ,单调递增区间为 . (2) 【详解】(1) , 所以函数 的最小正周期为 . 令 ,得 , 故函数 的单调递增区间为 . (2)由 ,得 ,由 得 ,所以 ,得 . 由余弦定理得 ,即 , 因为 ,所以 , 从而有 ,得 , 则 12.(2023·贵州黔东南·凯里一中校考模拟预测)在 中,角 的对边分别为 ,满足 ,且 . (1)求 的大小; (2)若 ,求 的面积. 【答案】(1) (2) 【详解】(1)解:因为 , 由正弦定理得 , 可得 , 又因为 ,所以 ,且 ,所以 , 因为 ,所以 . (2)解:因为 , 在 中,可得 ,即 , 又因为 ,可得 ,联立方程组,解得 , 由正弦定理 ,可得 , 所以 . 13.(2023·辽宁沈阳·东北育才学校校考模拟预测)已知函数(1)求 的单调增区间; (2)设 是锐角三角形,角 的对边分别为 ,若 ,求 的面积. 【答案】(1) (2) 【详解】(1) , 令 , , 解得 , , 取 ,则 故函数在 的单调递增区间为 (2)由 ,可得 , 因为 ,可得 ,可得 ,故 , 因为 , , 由余弦定理得 , 解得 或 , 由于 ,故 舍去,只取 , 当 时, 14.(2023·山东泰安·统考模拟预测)如图,平面四边形 中, 的三内角 对应的三边为 .给出以下三个条件: ① ② ③ 的面积为 (1)从以上三个条件中任选一个,求角 ; (2)设 ,在(1)的条件下,求四边形 的面积的最大值. 【答案】(1) (2) 【详解】(1)若选①: , 则 , 整理得: , 由正弦定理得 ,所以 , 因为 ,所以 ; 若选②:因为 ,则 , 可得 , 由正弦定理得: , 因为 , ,所以 , 因为 ,则 ,可得 , 所以 , ,即 . 若选③: 的面积为 ,则 , 所以 , 所以 , 因为 ,所以 .(2)因为 ,由(1)可知 ,所以 为正三角形, 设 ,则 , 可得 , 在 中,由余弦定理 , 可得 , 所以四边形 的面积 , 因为 ,所以 , 所以当 ,即 时,四边形 的面积取到最大值 . 15.(2023·浙江宁波·镇海中学校考模拟预测)设函数 , , . (1)求函数 的单调递增区间; (2)已知凸四边形 中, , , ,求凸四边形 面积的最大值. 【答案】(1) , (2) 【详解】(1)由题意知 ,得 . 因为 ,所以 , 所以 ,所以 , ∴ , 令 ,解得 ,所以 的单调递增区间为 , . (2) 由 ,可得 ,而 , 故 ,故 ,故 , 设 , ,而四边形 的面积 , 则 , 其中 , ,且 ,而 故 ,故当 时, . 16.(2023·福建泉州·泉州五中校考模拟预测)凸四边形 中, , , , . (1)当 ,且 时,证明: ; (2)求四边形 的面积的最大值. 【答案】(1)证明见解析 (2) . 【详解】(1)在 中,由余弦定理得: .因为 , ,所以 , 则在 中,由正弦定理得: , 所以 . 又因为 ,所以∠CBD必为锐角,所以 ,所以∠ADB=∠CBD,所以 . (2)由(1)知 ,所以 . 在 中,由余弦定理得: , 所以 , 所以 ,当且仅当 时取等号, 所以 , 所以当且仅当 时,四边形 的面积取最大值 . 17.(2023·江西·江西省丰城中学校联考模拟预测)记 的内角A,B,C的对边分别为a,b,c,已知 . (1)求 的值; (2)若 ,求三角形ABC面积的最大值. 【答案】(1) (2) 【详解】(1)因为 , 由正弦定理得 ,即 , 所以 ,所以 ; (2) ,故 , 则 ,则 , 当 时, , 所以三角形ABC面积的最大值为 . 18.(2023·河南·模拟预测) 的内角A,B,C的对边分别为 , , , . (1)求 ; (2)若 在线段 上且和 都不重合, ,求 面积的取值范围. 【答案】(1) (2) 【详解】(1)由 得 ,由正弦定理得 , 所以 ,又因为 ,所以 , 所以 ,又 ,所以 , (2)由 ,得 ,由余弦定理知 ,又因为 ,所以 , 所以 ,所以 ,如图,设 , 则 , , , 在 中,由正弦定理可知 ,在 中,由正弦定理可知 , 故 , 因为 ,所以 ,所以 , 所以 ,所以 , 即 . 19.(2023·湖南郴州·统考模拟预测)在 中,角A,B,C的对边分别为a,b,c,且 . (1)求角A的大小; (2)若D是BC上一点,且 ,求 面积的最大值. 【答案】(1) ; (2) . 【详解】(1)在 中,由 及正弦定理得 , 因为 ,则有 ,即 , 由 ,得 , 所以 . (2)依题意, , 在 与 中,分别由余弦定理得 ,,又 , 于是 ,则有 , 整理得 ,即 ,当且仅当 时取等号, 所以 面积的最大值为 .