当前位置:首页>文档>专题10导数的综合运用(解析版)_2.2025数学总复习_2024年新高考资料_2.2024二轮复习_2024年高三数学二轮优化提优专题训练

专题10导数的综合运用(解析版)_2.2025数学总复习_2024年新高考资料_2.2024二轮复习_2024年高三数学二轮优化提优专题训练

  • 2026-04-12 11:29:25 2026-03-13 12:01:19

文档预览

专题10导数的综合运用(解析版)_2.2025数学总复习_2024年新高考资料_2.2024二轮复习_2024年高三数学二轮优化提优专题训练
专题10导数的综合运用(解析版)_2.2025数学总复习_2024年新高考资料_2.2024二轮复习_2024年高三数学二轮优化提优专题训练
专题10导数的综合运用(解析版)_2.2025数学总复习_2024年新高考资料_2.2024二轮复习_2024年高三数学二轮优化提优专题训练
专题10导数的综合运用(解析版)_2.2025数学总复习_2024年新高考资料_2.2024二轮复习_2024年高三数学二轮优化提优专题训练
专题10导数的综合运用(解析版)_2.2025数学总复习_2024年新高考资料_2.2024二轮复习_2024年高三数学二轮优化提优专题训练
专题10导数的综合运用(解析版)_2.2025数学总复习_2024年新高考资料_2.2024二轮复习_2024年高三数学二轮优化提优专题训练
专题10导数的综合运用(解析版)_2.2025数学总复习_2024年新高考资料_2.2024二轮复习_2024年高三数学二轮优化提优专题训练
专题10导数的综合运用(解析版)_2.2025数学总复习_2024年新高考资料_2.2024二轮复习_2024年高三数学二轮优化提优专题训练
专题10导数的综合运用(解析版)_2.2025数学总复习_2024年新高考资料_2.2024二轮复习_2024年高三数学二轮优化提优专题训练
专题10导数的综合运用(解析版)_2.2025数学总复习_2024年新高考资料_2.2024二轮复习_2024年高三数学二轮优化提优专题训练
专题10导数的综合运用(解析版)_2.2025数学总复习_2024年新高考资料_2.2024二轮复习_2024年高三数学二轮优化提优专题训练
专题10导数的综合运用(解析版)_2.2025数学总复习_2024年新高考资料_2.2024二轮复习_2024年高三数学二轮优化提优专题训练
专题10导数的综合运用(解析版)_2.2025数学总复习_2024年新高考资料_2.2024二轮复习_2024年高三数学二轮优化提优专题训练
专题10导数的综合运用(解析版)_2.2025数学总复习_2024年新高考资料_2.2024二轮复习_2024年高三数学二轮优化提优专题训练
专题10导数的综合运用(解析版)_2.2025数学总复习_2024年新高考资料_2.2024二轮复习_2024年高三数学二轮优化提优专题训练
专题10导数的综合运用(解析版)_2.2025数学总复习_2024年新高考资料_2.2024二轮复习_2024年高三数学二轮优化提优专题训练
专题10导数的综合运用(解析版)_2.2025数学总复习_2024年新高考资料_2.2024二轮复习_2024年高三数学二轮优化提优专题训练
专题10导数的综合运用(解析版)_2.2025数学总复习_2024年新高考资料_2.2024二轮复习_2024年高三数学二轮优化提优专题训练
专题10导数的综合运用(解析版)_2.2025数学总复习_2024年新高考资料_2.2024二轮复习_2024年高三数学二轮优化提优专题训练
专题10导数的综合运用(解析版)_2.2025数学总复习_2024年新高考资料_2.2024二轮复习_2024年高三数学二轮优化提优专题训练
专题10导数的综合运用(解析版)_2.2025数学总复习_2024年新高考资料_2.2024二轮复习_2024年高三数学二轮优化提优专题训练
专题10导数的综合运用(解析版)_2.2025数学总复习_2024年新高考资料_2.2024二轮复习_2024年高三数学二轮优化提优专题训练
专题10导数的综合运用(解析版)_2.2025数学总复习_2024年新高考资料_2.2024二轮复习_2024年高三数学二轮优化提优专题训练
专题10导数的综合运用(解析版)_2.2025数学总复习_2024年新高考资料_2.2024二轮复习_2024年高三数学二轮优化提优专题训练
专题10导数的综合运用(解析版)_2.2025数学总复习_2024年新高考资料_2.2024二轮复习_2024年高三数学二轮优化提优专题训练
专题10导数的综合运用(解析版)_2.2025数学总复习_2024年新高考资料_2.2024二轮复习_2024年高三数学二轮优化提优专题训练
专题10导数的综合运用(解析版)_2.2025数学总复习_2024年新高考资料_2.2024二轮复习_2024年高三数学二轮优化提优专题训练
专题10导数的综合运用(解析版)_2.2025数学总复习_2024年新高考资料_2.2024二轮复习_2024年高三数学二轮优化提优专题训练
专题10导数的综合运用(解析版)_2.2025数学总复习_2024年新高考资料_2.2024二轮复习_2024年高三数学二轮优化提优专题训练
专题10导数的综合运用(解析版)_2.2025数学总复习_2024年新高考资料_2.2024二轮复习_2024年高三数学二轮优化提优专题训练
专题10导数的综合运用(解析版)_2.2025数学总复习_2024年新高考资料_2.2024二轮复习_2024年高三数学二轮优化提优专题训练
专题10导数的综合运用(解析版)_2.2025数学总复习_2024年新高考资料_2.2024二轮复习_2024年高三数学二轮优化提优专题训练
专题10导数的综合运用(解析版)_2.2025数学总复习_2024年新高考资料_2.2024二轮复习_2024年高三数学二轮优化提优专题训练
专题10导数的综合运用(解析版)_2.2025数学总复习_2024年新高考资料_2.2024二轮复习_2024年高三数学二轮优化提优专题训练
专题10导数的综合运用(解析版)_2.2025数学总复习_2024年新高考资料_2.2024二轮复习_2024年高三数学二轮优化提优专题训练
专题10导数的综合运用(解析版)_2.2025数学总复习_2024年新高考资料_2.2024二轮复习_2024年高三数学二轮优化提优专题训练
专题10导数的综合运用(解析版)_2.2025数学总复习_2024年新高考资料_2.2024二轮复习_2024年高三数学二轮优化提优专题训练
专题10导数的综合运用(解析版)_2.2025数学总复习_2024年新高考资料_2.2024二轮复习_2024年高三数学二轮优化提优专题训练
专题10导数的综合运用(解析版)_2.2025数学总复习_2024年新高考资料_2.2024二轮复习_2024年高三数学二轮优化提优专题训练
专题10导数的综合运用(解析版)_2.2025数学总复习_2024年新高考资料_2.2024二轮复习_2024年高三数学二轮优化提优专题训练
专题10导数的综合运用(解析版)_2.2025数学总复习_2024年新高考资料_2.2024二轮复习_2024年高三数学二轮优化提优专题训练

文档信息

文档格式
docx
文档大小
1.877 MB
文档页数
41 页
上传时间
2026-03-13 12:01:19

文档内容

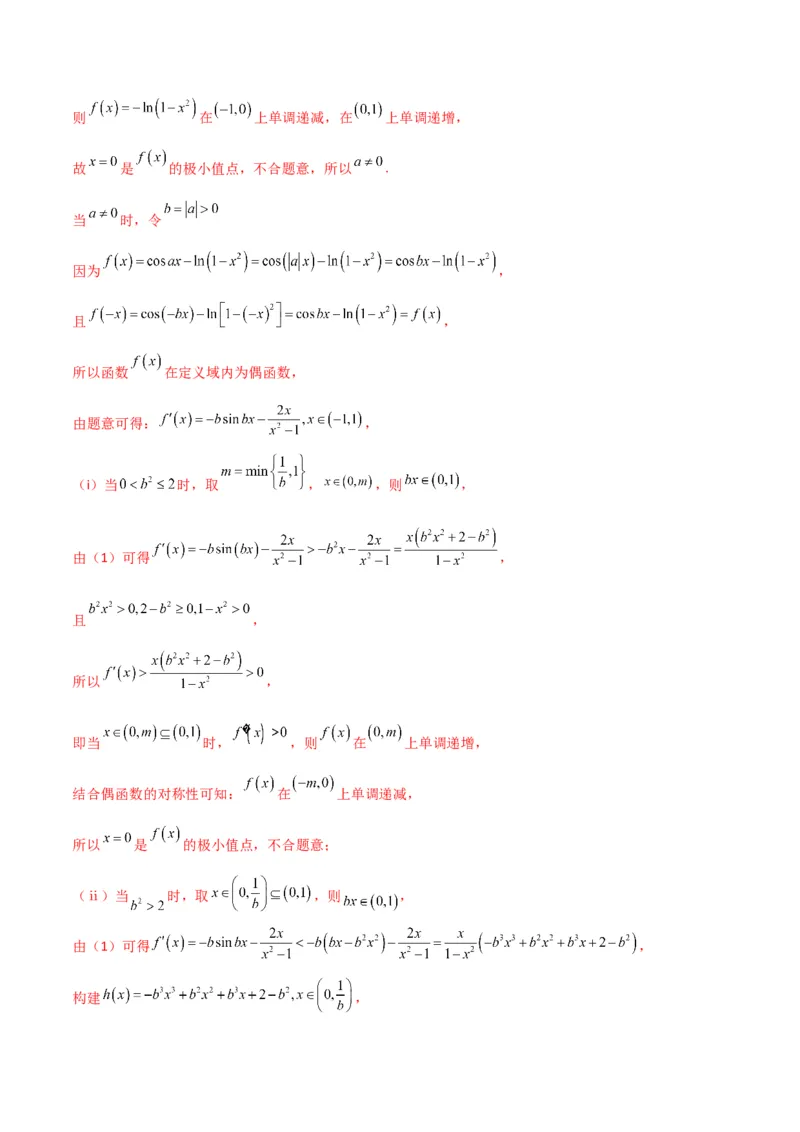
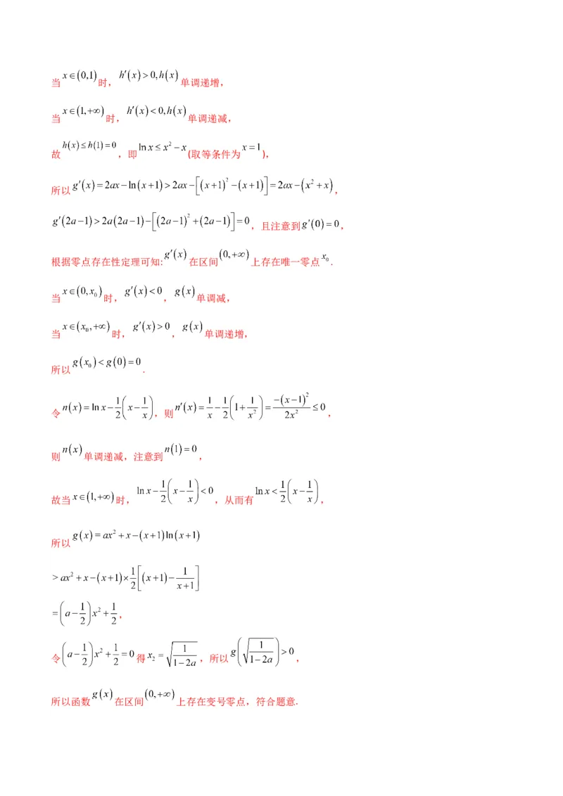
专题10 导数的综合运用 1、【2022年全国乙卷】已知x=x 和x=x 分别是函数f(x)=2ax−ex2(a>0且a≠1)的极小值点和极大 1 2 值点.若x 0, 1 2 1 2 若a>1时,当x<0时,2lna⋅ax>0,2ex<0,则此时f'(x)>0,与前面矛盾, 故a>1不符合题意, 若00,f(x)单调递增f(x)≥f(1)=e+1−a, 若f(x)≥0,则e+1−a≥0,即a≤e+1 所以a的取值范围为(−∞,e+1] (2)由题知,f(x)一个零点小于1,一个零点大于1 不妨设x <1f( ) 1 x 1 x 2 2 1 因为f(x )=f(x ),即证f(x )>f( ) 1 2 2 x 2 ex 1 1 即证 −lnx+x−xex−lnx− >0,x∈(1,+∞) x x ex 1 1 1 即证 −xex−2[lnx− (x− )]>0 x 2 x ex 1 1 1 下面证明x>1时, −xex>0,lnx− (x− )<0 x 2 x ex 1 设g(x)= −xex,x>1, x1 1 1 1 1 1 1 1 1 则g' (x)=( − )ex−(ex+xex⋅(− ))= (1− )ex−ex(1− ) x x2 x2 x x x 1 ex 1 x−1 ex 1 =(1− )( −ex)= ( −ex) x x x x ex 1 1 x−1 设φ(x)= (x>1),φ' (x)=( − )ex= ex>0 x x x2 x2 1 所以φ(x)>φ(1)=e,而 ex0,所以g' (x)>0 x 所以g(x)在(1,+∞)单调递增 ex 1 即g(x)>g(1)=0,所以 −xex>0 x 1 1 令ℎ(x)=lnx− (x− ),x>1 2 x 1 1 1 2x−x2−1 −(x−1) 2 ℎ ' (x)= − (1+ )= = <0 x 2 x2 2x2 2x2 所以ℎ(x)在(1,+∞)单调递减 1 1 即ℎ(x)< ℎ(1)=0,所以lnx− (x− )<0; 2 x ex 1 1 1 综上, −xex−2[lnx− (x− )]>0,所以x x <1. 1 2 x 2 x 7、【2022年全国乙卷】已知函数f (x)=ln(1+x)+axe−x (1)当a=1时,求曲线y=f (x)在点(0,f (0))处的切线方程; (2)若f (x)在区间(−1,0),(0,+∞)各恰有一个零点,求a的取值范围. 【解析】 (1)f(x)的定义域为(−1,+∞) x 1 1−x 当a=1时,f(x)=ln(1+x)+ ,f(0)=0,所以切点为(0,0) f' (x)= + ,f' (0)=2,所以切线斜率为 ex 1+x ex 2 所以曲线y=f(x)在点(0,f(0))处的切线方程为y=2xax 1 a(1−x) ex+a(1−x2) (2)f(x)=ln(1+x)+ f' (x)= + = ex 1+x ex (1+x)ex 设g(x)=ex+a(1−x2) 1°若a>0,当x∈(−1,0),g(x)=ex+a(1−x2)>0,即f' (x)>0 所以f(x)在(−1,0)上单调递增,f(x)0 所以g(x)在(0,+∞)上单调递增所以g(x)>g(0)=1+a⩾0,即f' (x)>0 所以f(x)在(0,+∞)上单调递增,f(x)>f(0)=0 故f(x)在(0,+∞)上没有零点,不合题意 3°若a<−1 (1)当x∈(0,+∞),则g' (x)=ex−2ax>0,所以g(x)在(0,+∞)上单调递增g(0)=1+a<0,g(1)=e>0 所以存在m∈(0,1),使得g(m)=0,即f' (m)=0 当x∈(0,m),f' (x)<0,f(x)单调递减 当x∈(m,+∞),f' (x)>0,f(x)单调递增 所以当x∈(0,m),f(x)0 1 所以g' (x)在(−1,0)单调递增g' (−1)= +2a<0,g' (0)=1>0 e所以存在n∈(−1,0),使得g' (n)=0 当x∈(−1,n),g' (x)<0,g(x)单调递减 当x∈(n,0),g' (x)>0,g(x)单调递增,g(x)0 e 所以存在t∈(−1,n),使得g(t)=0,即f' (t)=0 当x∈(−1,t),f(x)单调递增,当x∈(t,0),f(x)单调递减 有x→−1,f(x)→−∞ 而f(0)=0,所以当x∈(t,0),f(x)>0 所以f(x)在(−1,t)上有唯一零点,(t,0)上无零点 即f(x)在(−1,0)上有唯一零点 所以a<−1,符合题意 所以若f(x)在区间(−1,0),(0,+∞)各恰有一个零点,求a的取值范围为(−∞,−1) 题组一、函数的零点、极值点的综合性问题 f'(x) 1-1、(2022·湖北·黄石市有色第一中学高三期末)(多选题)设函数f (x)=xlnx,g(x)= ,则下列 x 说法正确的有( )(1 ) A.不等式g(x)>0的解集为 ,+∞ ; e gx B.函数 在(0,e)单调递增,在(e,+∞)单调递减; (1 ) C.当x∈ ,1 时,总有f (x)0) x 对于A:由g(x)= lnx+1 >0,可得lnx>−1,解得x> 1 ,所以解集为 (1 ,+∞ ) ,故A正确; x e e 1 ⋅x−(lnx+1) 对于B: g' (x)= x = −lnx,令g' (x)=0,解得x=1, x2 x2 x(0,1) g(x) 所以当 时,g' (x)>0,函数 为增函数, g(x) 当x∈(1,+∞)时,g' (x)<0,函数 为减函数,故B错误; (1 ) 对于C:当x∈ ,1 时,若f (x)0,函数ℎ ' (x)为增函数, e 又ℎ ' (1)=0+1−1=0,所以ℎ ' (x)<0在x∈ (1 ,1 ) 是恒成立, e 所以ℎ(x)=x2lnx−lnx−1,x∈ (1 ,1 ) 为减函数, e又ℎ(x) = ℎ (1) =− 1 <0,所以ℎ(x)=x2lnx−lnx−1<0在x∈ (1 ,1 ) 是恒成立, max e e2 e (1 ) 所以当x∈ ,1 时,总有f (x)0,函数m(x)为增函数, 当x∈(1,+∞)时,m' (x)<0,函数m(x)为减函数, 又当x0时,m(x)→−∞,当x时,m(x)→0,m(1)=1, ( 1) 所以2a∈(0,1),解得a∈ 0, ,故D正确. 2 故选:ACD 1-2、(2023·江苏连云港·统考模拟预测)已知函数 . (1)求函数 在区间 上的最大值; (2)若关于 的方程 有两个不相等的实数根,求实数 的取值范围. 【答案】(1) ;(2) 【分析】(1)利用导数分析函数 在 上的单调性,即可求得函数 在 上的最大值; (2)由 可得出 ,令 ,可知直线 与函数 的图象有两个交点, 利用导数分析函数 的单调性与极值,数形结合可得出实数 的取值范围. 【详解】(1)解:当 时, ,则 , 所以,函数 在 上单调递增,所以, .(2)解:函数 的定义域为 ,由 可得 , 令 ,其中 ,则 , 令 ,其中 ,则 , 所以,函数 在 上为减函数,且 , 当 时, ,则 ,所以,函数 在 上单调递增, 当 时, ,则 ,所以,函数 在 上单调递减, 所以, , 令 ,其中 ,则 ,则函数 在 上为增函数, 因为 , ,则存在 ,使得 , 当 时, ;当 时, . 由题意可知,直线 与函数 的图象有两个交点,如下图所示: 由图可知,当 时,直线 与函数 的图象有两个交点, 故实数 的取值范围是 . 1-3、(2022·河北深州市中学高三期末)已知函数 . (1)证明:函数 在 上存在唯一的零点;(2)若函数 在区间 上的最小值为1,求a的值. 【解析】(1)证明:∵ ,∴ . ∵ 在区间 上单调递增, 在区间 上单调递减, ∴函数 在 上单调递增. 又 ,令 , , 则 在 上单调递减, ,故 . 令 ,则 , 所以函数 在 上存在唯一的零点. (2)解:由(1)可知存在唯一的 ,使得 ,即 (*). 函数 在 上单调递增, ∴当 时, , 单调递减;当 时, , 单调通增; ∴ , 由(*)式得 . ∴ ,显然 是方程的解, 又∵ 是单调递减函数,方程 有且仅有唯一的解 , 把 代入(*)式,得 ,∴ ,即所求实数 的值为 题组二、利用导数研究不等式及证明问题2-1、(2023·江苏徐州·徐州市第七中学校考一模)已知函数 . (1)若 且函数 在 上是单调递增函数,求 的取值范围; (2)设 的导函数为 ,若 满足 ,证明: . 【答案】(1) ;(2)见解析 【分析】(1)由题意可得 在 上恒成立,令 ,求导,分 、 讨论 在 上恒成立即可; (2)由 可得 ,由(1)知 ,即有 ,①,令 ,求导得当 时, ,即有 ,于是得以 ,代入①式中化简即可得证. 【详解】(1)解:当 时, , , 因为 在 上是单调递增函数, 所以 在 上恒成立, 令 ,则 , 当 时, , 令 , , 所以 在 上递增, 即 ,所以 在 上恒成立,符合题意; 当 时, , ,且 在 为单调递增函数, 所以存在唯一 使得 , 所以当 时, , 在 递减, 即 , ,不符合题意; 综上所述 ; (2)证明: , 当 时,由(1)可知 是增函数,所以 , 设 , , 移项得 , 由(1)知 ,即 , 所以 , 即 ,① 设 , , 所以当 时, , 即 ,所以 ,即 , 所以 , 代入①式中得到 , 即 , 所以 ,命题得证. 2-2、(2023·江苏南通·统考一模)已知函数 和 有相同的最大值. (1)求实数 ; (2)设直线 与两条曲线 和 共有四个不同的交点,其横坐标分别为 ,证明: . 【答案】(1) ;(2)见解析 【分析】(1)利用导函数分别讨论两个函数的单调性和最值即可求解; (2)构造函数 和 ,利用导数和单调性讨论函数的零点,结合函数 分 类讨论对应方程根的个数和分布证明. 【详解】(1) ,令 . 有最大值, 且 在 上单调递增 上单调递减, . 时, , 当 时, 单调递增;当 时, 单调递减,. (2)由 ,由 , 令 , 当 时, ,当 时, , 所以 在 上单调递增; 上单调递减, 至多两个零点, 令 , 当 时, ,当 时, , 所以 在 上单调递增; 上单调递减; 至多两个零点. 令 , 当 时, ,所以 ; 当 时,由 , 设 , , 所以当 时, , 所以 在 单调递增,所以 , 所以 ,且 ,所以 , 设 当 时, ,当 时, , 所以 在 上单调递减, 方程无解,当 时,由 在 上单调递增, 方程有唯一解 , 当 时,注意到 , 设 , 对 恒成立, 所以 , 所以当 时, ,即 , 因为 ,所以 , ,所以 , 所以 , 在 和 上各有一个零点 , 示意图 如下注意到 , 令 , ,即函数 在 上单调递减, 因此 ,即有 ,在 和 上各有一个零点 . 且由 ,而 , 而 在 上单调递增,由 , 由 ,而 而 在 上单调递减,由 , 于是得 , ,证毕 2-3、(2023·江苏南通·统考模拟预测)设函数 , . (1)若函数 图象恰与函数 图象相切,求实数 的值; (2)若函数 有两个极值点 , ,设点 , ,证明: 、 两点连线的斜率 . 【答案】(1)1;(2)证明见解析 【分析】(1)设切点为 ,结合导数的几何意义求解即可; (2)由 有两个极值点,可得 有两个不等的正根 ,且 ,可得 ,要证: ,即证 .令 证,进而构造函数,再利用导数求解即可; 【详解】(1)设 与 切于 , 由 ,则 , 所以 ,则 , 即 , 令 ,则 , 所以 在 上单调递增, 又 ,所以 , 所以 . (2)解法一: 由 , 所以 , 因为 有两个极值点, ,即 有两个不等的正根 ,且 , ,要证: ,即证 . 不妨设 ,即证: , 即证: , 令 证 令 , 在 上 ,证毕! 解法二: 因为 ,所以 , 令 ,则 , 因为函数 有两个极值点 ,所以 ,解得 . 所以 , 所以 的斜率 . 令 ,则 , 所以 在 上单调递增,又 ,所以当 时, . 不妨设 ,令 ,则 , 所以 , 即 ,证毕! 2-4、(2023·江苏南京·南京市秦淮中学校考模拟预测)已知函数 . (1)当 时,讨论 的单调性; (2)当 时, ,求a的取值范围; (3)设 ,证明: . 【答案】(1) 的减区间为 ,增区间为 ;(2) ;(3)见解析 【分析】(1)求出 ,讨论其符号后可得 的单调性. (2)设 ,求出 ,先讨论 时题设中的不等式不成立,再就 结合放缩 法讨论 符号,最后就 结合放缩法讨论 的范围后可得参数的取值范围. (3)由(2)可得 对任意的 恒成立,从而可得 对任意的 恒成立, 结合裂项相消法可证题设中的不等式. 【详解】(1)当 时, ,则 , 当 时, ,当 时, ,故 的减区间为 ,增区间为 . (2)设 ,则 , 又 ,设 , 则 , 若 ,则 , 因为 为连续不间断函数, 故存在 ,使得 ,总有 , 故 在 为增函数,故 , 故 在 为增函数,故 ,与题设矛盾. 若 ,则 , 下证:对任意 ,总有 成立, 证明:设 ,故 , 故 在 上为减函数,故 即 成立. 由上述不等式有 , 故 总成立,即 在 上为减函数, 所以 . 当 时,有 , 所以 在 上为减函数,所以 .综上, . (3)取 ,则 ,总有 成立, 令 ,则 , 故 即 对任意的 恒成立. 所以对任意的 ,有 , 整理得到: , 故 , 故不等式成立. 题组三、利用导数研究含参问题 3-1、(2023·江苏泰州·泰州中学校考一模)已知函数 ( 为自然对数的底数). (1)若不等式 恒成立,求实数 的取值范围; (2)若不等式 在 上恒成立,求实数 的取值范围. 【答案】(1) ;(2) 【分析】(1)先判断 在 上单调递增,再利用单调性解不等式得解; (2)等价于 对 恒成立,令 ,利 用二次求导对 分类讨论求函数 的最大值得解.【详解】(1)解: ,由复合函数的单调性原理得 在 上单调递增,由 得 ,即 . (2)解: 对 恒成立 令 , , , 在 上单调递减, , 若 ,即 时, 在 上恒成立,则 在 上单调递减, 符合题意. 若 ,即 时, (i)若 ,则 , 在 上单调递增, 这与题设矛盾,舍去. (ii)若 ,则存在 使 ,且当 时, 单调递增,此时 这与题设也矛盾,舍去. 综上:实数 的取值范围为3-2、(2023·江苏南京·校考一模)已知函数 (其中 为自然对数的底数). (1)当 时,求证:函数 图象上任意一点处的切线斜率均大于 ; (2)若 对于任意的 , 恒成立,求实数 的取值范围. 【答案】(1)见解析;(2) . 【分析】(1)代入 的值,求出函数的导数,结合函数的单调性证明即可; (2)求出 , , ,得到 ,得到 ,再根据 得到结论成立即可确定 的取值范围. 【详解】解:(1)证明: 时, , , 设 ,则 ,令 ,解得: , 故 在区间 上单调递减,在 上单调递增, 故 的最小值是 ,即 对任意 恒成立, 故函数 图象上任意一点处的切线斜率均大于 ; (2)先证对任意 , , , 令 , ,令 ,解得: , 故 在区间 递增,在 递减, 故 ,故 , 令 , , , 令 ,解得: , 故 在区间 递减,在区间 递增, 故 ,故 , 递增, 故 ,故 , , ,对于任意 , 恒成立, ,故 , 当 时, , 即 对于任意的 , 恒成立, 综上: 的取值范围是 . 3-3、(2023·云南曲靖·统考一模)已知函数 的图像与直线l: 相切于点 . (1)求函数 的图像在点 处的切线在x轴上的截距; (2)求c与a的函数关系 ; (3)当a为函数g(a)的零点时,若对任意 ,不等式 恒成立.求实数k的最值. 【答案】(1) ;(2) ;(3)最大值为3,最小值为 . 【分析】(1)利用导数求切线方程,进而求出截距;(2)先求出函数 在x=1处的切线方程 ,对照系数消去b即可得到; (3)把题意转化为对 ,不等式 恒成立.对x分类讨论:①x=0直接判断;② 时,利用分离参数法得到 恒成立.设 ,求得 .利用导数求出 ;③当 时,与②同,求出 的范围. 【详解】(1) , , , . 函数 的图像在点 处的切线方程是: . 令y=0得 ,所以该切线在x轴上的截距等于 . (2) , ,函数 的图像在x=1处的切线方程是: ,即 , 两端乘以b变作: ①. 又已知函数 的图像在点 处的切线方程是: ②. 直线①与直线②重合,则 ③, ④,联立③④消去b得 ,所以c与a的函 数关系为: . (3)函数 的零点为a=1,a=1时 . 对 , 恒成立,转化为对 ,不等式 恒成立. ①当x=0时, 对 恒成立,此时 .②当0<x≤2时, 恒成立. 设 ,求得 . 0<x≤2时 ,由 得 ,由 得 , 所以 在区间 上单调递减,在区间 上单调递增. 所以当 时, 取得极小值, ,此时 . ③当 时, 恒成立. 与②同,设 , . 令 ,则 , 在 上单调递增. 所以, 时 ,得 , 在 上单调递减. 所以, 时, 取得最大值 ,此时 . 整合①②③三种情形,得 ,且等号都取得到. 所以,实数k的最大值为3,最小值为 1、(2023·黑龙江·黑龙江实验中学校考一模)设函数 . (1)若曲线 在点 处的切线斜率为 ,求 的值; (2)若 存在两个极值点 ,且对任意 恒成立,求实数 的取值范围. 【答案】(1) ;(2) 或 . 【分析】(1)求出 ,令 ,求解可得答案;(2)令 得 , ,当 由 可得 ,令 ,求导利用单调性可得答案; 当 根据 ,令可得 求解可得 答案. 【详解】(1) , 所以 ,解得 ; (2) ,令 得 , 解得 ,或 时 且 , 当 即 时, ,对任意 恒成立, 得 可得 , , 时成立, 时,有 在 恒成立, 令 , ,所以 在 单调递减, 有 ,所以 ; 当 即 时, ,对任意 恒成立,求实数 的取值范围,即 在 上恒成立, 因为 ,可得 , 解得 , 当 即 时, 重合,不符合题意,综上所述, 或 . 2、(2023·吉林通化·梅河口市第五中学校考一模)已知 . (1)求证:当x>0时, (2)若不等式 ,(其中 )恒成立时,实数m的取值范围为(-∞,t],求证: . 【答案】见解析 【分析】(1)令 ,再证明 即得证; (2)令 ,即证 ,证明 ,令 , 即得证. 【详解】(1)证明:令 , 所以 , , ∵ ,∴ ,∴ , 在 上递增, ∴ ,故 在 上递增, ∴ ,即 . (2)证明:据题意,对于任意的 ,不等式 恒成立时,等价于 对于 , 令 ,又实数m的取值范围为 ,故t是实数m的最大值. 要证 ,即证 .令 ,则 , , 所以 在 上单调递增,又 , , 故 ,使得 ,即 所以 ,有 , 单调递减; , , 单调递增. 所以 , , , ,所以存在 ,使得 , 即 ,且满足 , , 单调递减; , , 单调递增; 所以 令 ,则 ,故 单调递减, 又 ,所以 , 则只需证明 由(1)知:当 时, ∴ ,故 . 3、(2023·黑龙江大庆·统考一模)已知函数 的两个不同极值点分别为 , (). (1)求实数 的取值范围; (2)证明: ( 为自然对数的底数). 【答案】(1) ;(2)见解析 【分析】(1)把函数 有两个不同极值点 , 转化为 有两个不同的实数 根,令 ,结合其导数分析 值域情况,从而得到实数 的取值范围; (2)由题意可知 , 是方程 的两个根,从而有 ,变形可得: ,令 ,则 ,再利用分析法即可证明 . 【详解】(1)解:因为 有两个不同极值点 , , 所以 有两个不同的根 , , 令 ,则 . 令 ,得 ;令 得 . 所以 在 上单调递增,在 上单调递减, 所以 . 因为当 时, ,所以 .(2)证明:由(1)可知 ,且 , 是方程 的两个根, 即 ,所以 , 所以 ,所以 . 令 ,则 , 要证 ,即证 ,即证 ,即证 . 令 ,则 , 所以 在 上单调递增. 因为 ,所以 ,所以 成立,故 成立. 4、(2023·四川广安·四川省广安友谊中学校考模拟预测)已知函数 . (1)若函数 在 处的切线斜率为 ,求实数 的值; (2)若函数 有且仅有三个不同的零点,分别设为 (i)求实数 的取值范围; (ii)求证: . 【答案】(1) (2)(i) ;(ii)证明见解析 【详解】(1)因为 ,函数 在x=1处的切线斜率为 ,所以 ,则 ; (2)(i)因为x>0,所以 , 令 ,因为函数 有且仅有三个不同的零点, 所以函数 有且仅有三个不同的零点, , 设 , ,则 , ①当 即 时, , ,所以 在 上单调递减, 所以 不可能有三个不同的零点,即函数 不可能有三个不同的零点,舍去; ②当 即 时, 有两个不同的零点, 由 ,得 , , 所以 , ,又因为 开口向下, 所以当 时, , , 在 上单调递减; 当 时, , , 在 上单调递增; 当 时, , , 在 上单调递减, 因为 ,且 , 所以 ,所以 , 因为 ,令 , , 则 ,所以 在 上单调递增, 所以 ,即 , 由函数零点存在性定理可知, 在区间 上有唯一的一个零点 , 因为 , 又 ,所以 ,则 , 所以 在区间 上有唯一的一个零点 , 故当 时, 有且仅有三个不同的零点 ,2, , 综上,实数a的取值范围是 ; (ii)证明:因为函数 的三个不同的零点分别为 所以由(i)可知,