当前位置:首页>文档>专题15函数零点问题(含2021-2023高考真题)(解析版)_2.2025数学总复习_2024年新高考资料_3.2024专项复习_2024年新高考数学之函数专项重难点突破练(新高考专用)

专题15函数零点问题(含2021-2023高考真题)(解析版)_2.2025数学总复习_2024年新高考资料_3.2024专项复习_2024年新高考数学之函数专项重难点突破练(新高考专用)

  • 2026-04-02 11:13:13 2026-03-16 03:50:30

文档预览

专题15函数零点问题(含2021-2023高考真题)(解析版)_2.2025数学总复习_2024年新高考资料_3.2024专项复习_2024年新高考数学之函数专项重难点突破练(新高考专用)
专题15函数零点问题(含2021-2023高考真题)(解析版)_2.2025数学总复习_2024年新高考资料_3.2024专项复习_2024年新高考数学之函数专项重难点突破练(新高考专用)
专题15函数零点问题(含2021-2023高考真题)(解析版)_2.2025数学总复习_2024年新高考资料_3.2024专项复习_2024年新高考数学之函数专项重难点突破练(新高考专用)
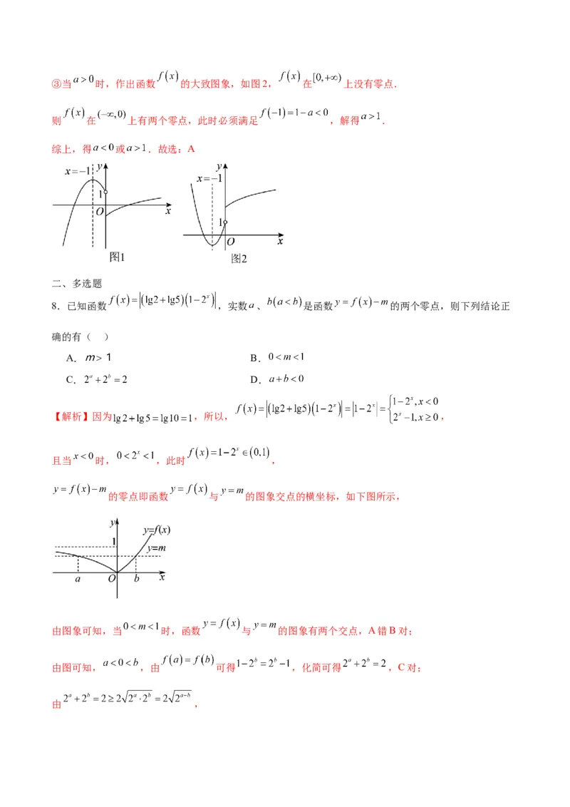
专题15函数零点问题(含2021-2023高考真题)(解析版)_2.2025数学总复习_2024年新高考资料_3.2024专项复习_2024年新高考数学之函数专项重难点突破练(新高考专用)
专题15函数零点问题(含2021-2023高考真题)(解析版)_2.2025数学总复习_2024年新高考资料_3.2024专项复习_2024年新高考数学之函数专项重难点突破练(新高考专用)
专题15函数零点问题(含2021-2023高考真题)(解析版)_2.2025数学总复习_2024年新高考资料_3.2024专项复习_2024年新高考数学之函数专项重难点突破练(新高考专用)
专题15函数零点问题(含2021-2023高考真题)(解析版)_2.2025数学总复习_2024年新高考资料_3.2024专项复习_2024年新高考数学之函数专项重难点突破练(新高考专用)
专题15函数零点问题(含2021-2023高考真题)(解析版)_2.2025数学总复习_2024年新高考资料_3.2024专项复习_2024年新高考数学之函数专项重难点突破练(新高考专用)
专题15函数零点问题(含2021-2023高考真题)(解析版)_2.2025数学总复习_2024年新高考资料_3.2024专项复习_2024年新高考数学之函数专项重难点突破练(新高考专用)
专题15函数零点问题(含2021-2023高考真题)(解析版)_2.2025数学总复习_2024年新高考资料_3.2024专项复习_2024年新高考数学之函数专项重难点突破练(新高考专用)
专题15函数零点问题(含2021-2023高考真题)(解析版)_2.2025数学总复习_2024年新高考资料_3.2024专项复习_2024年新高考数学之函数专项重难点突破练(新高考专用)
专题15函数零点问题(含2021-2023高考真题)(解析版)_2.2025数学总复习_2024年新高考资料_3.2024专项复习_2024年新高考数学之函数专项重难点突破练(新高考专用)
专题15函数零点问题(含2021-2023高考真题)(解析版)_2.2025数学总复习_2024年新高考资料_3.2024专项复习_2024年新高考数学之函数专项重难点突破练(新高考专用)
专题15函数零点问题(含2021-2023高考真题)(解析版)_2.2025数学总复习_2024年新高考资料_3.2024专项复习_2024年新高考数学之函数专项重难点突破练(新高考专用)
专题15函数零点问题(含2021-2023高考真题)(解析版)_2.2025数学总复习_2024年新高考资料_3.2024专项复习_2024年新高考数学之函数专项重难点突破练(新高考专用)
专题15函数零点问题(含2021-2023高考真题)(解析版)_2.2025数学总复习_2024年新高考资料_3.2024专项复习_2024年新高考数学之函数专项重难点突破练(新高考专用)
专题15函数零点问题(含2021-2023高考真题)(解析版)_2.2025数学总复习_2024年新高考资料_3.2024专项复习_2024年新高考数学之函数专项重难点突破练(新高考专用)
专题15函数零点问题(含2021-2023高考真题)(解析版)_2.2025数学总复习_2024年新高考资料_3.2024专项复习_2024年新高考数学之函数专项重难点突破练(新高考专用)
专题15函数零点问题(含2021-2023高考真题)(解析版)_2.2025数学总复习_2024年新高考资料_3.2024专项复习_2024年新高考数学之函数专项重难点突破练(新高考专用)
专题15函数零点问题(含2021-2023高考真题)(解析版)_2.2025数学总复习_2024年新高考资料_3.2024专项复习_2024年新高考数学之函数专项重难点突破练(新高考专用)
专题15函数零点问题(含2021-2023高考真题)(解析版)_2.2025数学总复习_2024年新高考资料_3.2024专项复习_2024年新高考数学之函数专项重难点突破练(新高考专用)
专题15函数零点问题(含2021-2023高考真题)(解析版)_2.2025数学总复习_2024年新高考资料_3.2024专项复习_2024年新高考数学之函数专项重难点突破练(新高考专用)
专题15函数零点问题(含2021-2023高考真题)(解析版)_2.2025数学总复习_2024年新高考资料_3.2024专项复习_2024年新高考数学之函数专项重难点突破练(新高考专用)
专题15函数零点问题(含2021-2023高考真题)(解析版)_2.2025数学总复习_2024年新高考资料_3.2024专项复习_2024年新高考数学之函数专项重难点突破练(新高考专用)
专题15函数零点问题(含2021-2023高考真题)(解析版)_2.2025数学总复习_2024年新高考资料_3.2024专项复习_2024年新高考数学之函数专项重难点突破练(新高考专用)

文档信息

文档格式
docx
文档大小
1.711 MB
文档页数
25 页
上传时间
2026-03-16 03:50:30

文档内容

专题15 函数零点问题 真题呈现 1.(2021·天津·统考高考真题)设 ,函数 ,若 在区间 内恰有6个零点,则a的取值范围是( ) A. B. C. D. 【解析】 最多有2个根,所以 至少有4个根, 由 可得 ,由 可得 , (1) 时,当 时, 有4个零点,即 ; 当 , 有5个零点,即 ; 当 , 有6个零点,即 ; (2)当 时, , , 当 时, , 无零点; 当 时, , 有1个零点; 当 时,令 ,则 ,此时 有2个零点; 所以若 时, 有1个零点. 综上,要使 在区间 内恰有6个零点,则应满足或 或 , 则可解得a的取值范围是 . 2.(2023·全国·统考高考真题)已知函数 在区间 有且仅有3个零点,则 的 取值范围是________. 【解析】因为 ,所以 ,令 ,则 有3个根, 令 ,则 有3个根,其中 , 结合余弦函数 的图像性质可得 ,故 , 故答案为: . 3.(2023·天津·统考高考真题)若函数 有且仅有两个零点,则 的取值范围为 ___. 【解析】(1)当 时, ,即 , 若 时, ,此时 成立; 若 时, 或 , 若方程有一根为 ,则 ,即 且 ; 若方程有一根为 ,则 ,解得: 且 ; 若 时, ,此时 成立. (2)当 时, ,即 ,若 时, ,显然 不成立; 若 时, 或 , 若方程有一根为 ,则 ,即 ; 若方程有一根为 ,则 ,解得: ; 若 时, ,显然 不成立; 综上, 当 时,零点为 , ; 当 时,零点为 , ; 当 时,只有一个零点 ; 当 时,零点为 , ; 当 时,只有一个零点 ; 当 时,零点为 , ; 当 时,零点为 . 所以,当函数有两个零点时, 且 . 故答案为: . 4.(2022·天津·统考高考真题)设 ,对任意实数x,记 .若 至少有3个零点,则实数 的取值范围为______. 【解析】设 , ,由 可得 . 要使得函数 至少有 个零点,则函数 至少有一个零点,则 , 解得 或 . ①当 时, ,作出函数 、 的图象如下图所示:此时函数 只有两个零点,不合乎题意; ②当 时,设函数 的两个零点分别为 、 , 要使得函数 至少有 个零点,则 , 所以, ,解得 ; ③当 时, ,作出函数 、 的图象如下图所示: 由图可知,函数 的零点个数为 ,合乎题意; ④当 时,设函数 的两个零点分别为 、 , 要使得函数 至少有 个零点,则 , 可得 ,解得 ,此时 . 综上所述,实数 的取值范围是 . 5.(2021·北京·统考高考真题)已知函数 ,给出下列四个结论: ①若 , 恰 有2个零点; ②存在负数 ,使得 恰有1个零点; ③存在负数 ,使得 恰有3个零点;④存在正数 ,使得 恰有3个零点. 其中所有正确结论的序号是_______. 【解析】对于①,当 时,由 ,可得 或 ,①正确; 对于②,考查直线 与曲线 相切于点 , 对函数 求导得 ,由题意可得 ,解得 , 所以,存在 ,使得 只有一个零点,②正确; 对于③,当直线 过点 时, ,解得 , 所以,当 时,直线 与曲线 有两个交点, 若函数 有三个零点,则直线 与曲线 有两个交点, 直线 与曲线 有一个交点,所以, ,此不等式无解, 因此,不存在 ,使得函数 有三个零点,③错误; 对于④,考查直线 与曲线 相切于点 , 对函数 求导得 ,由题意可得 ,解得 , 所以,当 时,函数 有三个零点,④正确. 故答案为:①②④.6.(2022·北京·统考高考真题)若函数 的一个零点为 ,则 _____; __. 【解析】∵ ,∴ ,∴ ,故答案为:1, 考点一 函数零点的定义 一、单选题 1.函数 的零点为( ) A.2,3 B.2 C. D. 【解析】由 ,得 ,即 或 ,解得 或 , 所以函数 的零点为2,3.故选:A 2.若 是二次函数 的两个零点,则 的值是( ) A.3 B.15 C. D. 【解析】由题意知 是二次函数 的两个零点, 故 是 的两个根, 则 ,且 ,则 且 , 故 ,故选:B 3.关于 的函数 的两个零点为 ,且 ,则 =( ) A. B. C. D. 【解析】依题意得 是方程 的两不等实根,所以 ,, ,所以 ,即 , 又 ,所以 .故选:A 4.若向量 , ,则函数 的零点为( ) A. B. C. D. , 【解析】由题意可得, ,令 ,可得 或 ,所以函数 的零点是 .故选:D 5.函数 有且只有一个零点,则实数m的值为( ) A.9 B.12 C.0或9 D.0或12 【解析】因为 ,令 ,得到 , 当 时, ,得到 ,满足题意, 当 时,因为函数 有且只有一个零点,故 ,得到 ,综上, 或 . 故选:C. 二、填空题 6.函数 的零点为________. 【解析】依题意有 ,所以 . 7.若函数 有且仅有两个零点 ,且 ,则 _______. 【解析】函数 的定义域为 ,由 ,得 , 即 ,令 ,则 ,,即函数 为增函数,而 ,于是 有唯一解,即有 , 因此 的两个解为 ,此时 , , 即 , ,显然 ,则有 ,解得 , 所以 . 三、解答题 8.求下列函数的零点. (1) ;(2) . 【解析】(1)由 ,得 ,又 ,所以 , 即 ,所以函数 的零点为 . (2)由 ,得 , ①当 , 时,函数有唯一零点 ; ②当 ,即 时,函数有两个零点 和 . 考点二 零点存在定理判断零点所在区间 一、单选题 1.函数 的零点所在区间是( ) A. B. C. D. 【解析】因为函数 、 均为 上的增函数,故函数 为 上的增函数, 因为 , , 由零点存在定理可知,函数 的零点所在区间是 .故选:B. 2.已知方程 的解在 内,则 ( )A.3 B.2 C.1 D.0 【解析】令函数 ,显然函数 在 上单调递增, 而 , ,因此函数 的零点 , 所以方程 的解在 内,即 .故选:C 3.已知函数 ,则 的零点所在的区间为( ). A. B. C. D. 【解析】因为 , , 所以由零点存在性定理知, 的零点所在的区间为 .故选:B. 4.函数 在区间 上的零点必属于区间( ) A. B. C. D. 【解析】解法一:二分法 由已知可求得, , , , , . 对于A项,因为 ,所以A项错误; 对于B项,因为 ,所以B项错误; 对于C项,因为 ,所以C项错误; 对于D项,因为 ,所以D项正确. 解法二:因为 ,所以 ,即函数 在区 间 上的零点为2,故D正确. 故选:D.5.已知 唯一的零点同时在区间 和 内,下列说法错误的是( ) A.函数 在 内有零点 B.函数 在 内无零点 C.函数 在 内有零点 D.函数 在 内无零点 【解析】因为 唯一的零点同时在区间 和 内, 则该函数唯一的零点同时在区间 内,可知B,C,D正确, 对于A,函数 唯一的零点可能在 内,也可能在 内,故A错误. 故选:A 6.已知函数 ,若方程 的实根在区间 上,则k的最大值是 ( ) A. B. C. D. 【解析】当 时, ,当 时,解得 ; 当 时, ,其中 , , 当 时,解得 ,综上k的最大值是1.故选:C. 7.已知函数 ( 且 )的图象过定点 ,则函数 的零 点所在区间为( ) A. B. C. D. 【解析】因为函数 ( 且 )的图象过定点 , 则 ,可得 ,所以, , 因为函数 、 在 上均为减函数,所以,函数 在 上为减函数, 且 , , 由零点存在定理可知,函数 的零点在区间 内.故选:A. 二、填空题 8.函数 的零点所在区间(取整数)是_________. 【解析】由题意,得 的定义域为 ,易知函数 和 在 均为增函数, 所以 在 单调递增,因为 , , 所以由零点存在定理可知,函数零点所在区间为 . 考点三 求函数零点个数 一、单选题 1.函数 在区间 上的零点个数是( ) A.3 B.4 C.5 D.6 【解析】求函数 在区间 上的零点个数, 转化为方程 在区间 上的根的个数. 由 ,得 或 ,解得: 或 或 , 所以函数 在区间 上的零点个数为3.故选:A. 2.函数 的零点个数为( ) A.1 B.3 C.5 D.7【解析】 定义域为R, , 又 ,故 为奇函数, 当 时,由于 恒成立,故 恒成立,无零点,故 时,也不存在零点, 当 时, , 当 时, , 单调递增, 当 时, , 单调递减, 故 在 处取得极大值,也时最大值, ,显然 , ,故由零点存在性定理知,在 上存在一零点,结合函数为奇函数,在 上存在一零点,综上, 一共有3个零点.故选:B 3.函数 的零点个数为( ) A.0个 B.1个 C.2个 D.3个 【解析】由题意可知:要研究函数 的零点个数, 只需研究函数 , 的图像交点个数即可.画出函数 , 的图像, 因为 时, , 时, , 时, , 可知当 和 时,图像各有一个交点, 时,必有一个交点, 且交点为 , 及第二象限的点C.故选:D 4.函数 的零点个数为( ) A.2 B.3 C.4 D.5 【解析】本题转化为函数 和函数 的交点个数,做出两个函数的图像,如图, 根据图像可得两个函数交点的个数为 个,所以函数 的零点个数为 个.故选:C. 5.已知函数 ,则函数 零点个数为( ) A.0 B.1 C.2 D.3 【解析】当 时, ,所以不存在零点; 当 时, ,也不存在零点,所以函数 的零点个数为0.故选:A. 6.设函数 若 , ,则关于 的方程 的解的个数为 ( ) A.1 B.2 C.3 D.4 【解析】由 得 ,①由 得 ,② 由①②得 , .所以 , 当 时,由 得方程 ,解得 , ; 当 时,由 得 (舍去).故方程共有2个解.故选:B 7.方程 , 实根的个数为( ) A.6 B.5 C.4 D.3 【解析】因为 ,则 与 , 的图象如下所示: 由图可得 与 , 有且仅有 个交点, 所以方程 , 实根有 个.故选:C 8.已知函数 , ,则 在区间 上的零点个数为 ( ) A.1 B.2 C.3 D.4 【解析】 , 当2x- =kπ,k∈Z时,x= + ,k∈Z,所以当k=0时,x= ,当k=1时,x= , 所以f(x)在区间(0,π)上有2个零点.故选:B. 9.已知定义域为 的偶函数 满足 ,且当 时, ,若将方程实数解的个数记为 ,则 ( ) A. B. C. D. 【解析】因为 ,所以 的对称轴为 . 因为 为偶函数,所以 , 所以 ,所以 的周期为2,所以 的图象如图所示: 当 时,方程 有2个实数解,所以 , 当 时,方程 有4个实数解,所以 , 可知 是一个首项为2,公差为2的等差数列,所以 . 因为 , 所以 , 故 .故选:D 二、填空题 10.函数 的零点个数是__________. 【解析】当 时,由 解得 ,当 时,由 解得 ,所以函数 的零点个数是2个 11.已知 ,方程 的实根个数为__________. 【解析】由 ,则 ,则令 , , 分别作出它们的图象如下图所示, 由图可知,有两个交点,所以方程 的实根个数为2. 12.定义在R上的函数 满足 , ,当 时, ,则 函数 有__________个零点. 【解析】因为定义在R上的函数 满足 ,所以 是以4为周期的周期函数, 因为当 时, ,所以 的图象如图所示, 由 ,得 ,所以将问题转化为 的图象与 交点的个数, 因为 , , , ,所以 的图象与 的图象共有7个交点, 所以 有7个零点, 故答案为:7考点四 根据函数零点求参 一、单选题 1.函数 在区间 上存在零点,则实数 的取值范围是( ) A. B. C. D. 【解析】由零点存在定理可知,若函数 在区间 上存在零点, 显然函数为增函数,只需满足 ,即 , 解得 ,所以实数 的取值范围是 .故选:D 2.已知函数 ,若 恰有两个零点,则正数 的取值范围是( ) A. B. C. D. 【解析】当 时, ,得 成立,因为函数 恰有两个零点, 所以 时, 有1个实数根,显然a小于等于0,不合要求, 当 时,只需满足 ,解得: .故选:C 3.已知函数 (e为自然对数的底数,a∈R)有3个不同的零点,则实数a 的取值范围是( )A. B. C. D. 【解析】当 时, ,且 ,∴二次函数开口向下且 在 内抛物线与 轴只有一个交点,∴ 在 内只有一个零点, 当 时, , 不是 的零点,由已知得当 时, 有两个零点, 由 得 ,令 ,即 ,只有函数 与 有两个交点时,函数 有两个 零点,∵ ,∴ 时, , 时, , ∴ 的单调递减区间为 ,单调递增区间为 ,当 时, , ∴ 时,函数 有两个零点,综上所述,实数a的取值范围是 ,故选: . 4.已知函数 ,若 有3个不同的解,则a的取值范围是( ) A. B. C. D. 【解析】 ,令 ,则 , ∴当 或 时, ,当 时, , ∴ 在 , 上单调递减,在 上单调递增, 则 ,可得函数的大致图象,所以 有3个不同的解等价于 有两个解 , 且 , , 整理可得 ,∴根据根的分布,得 , 解得 ,则a的取值范围是 .故选:A. 5.已知函数 若函数 有五个零点,则实数 的取值范围是( ) A. B. C. D. 【解析】当 时, 则 , 此时 ,则 或 , 当 时, 则 , 此时 ,则 , 故问题转为 , 共有四个零点, 画出函数图象如下可知:则 ,故选:D6.已知函数 ,若方程 有四个不同的实数根,则实数a的取值范围是 ( ) A. B. C. D. 【解析】设 ,该直线恒过点 ,方程 有四个不同的实数根 如图作出函数 的图象, 结合函数图象,则 ,所以直线 与曲线 有两个不同的公共点, 所以 在 有两个不等实根,令 , 实数 满足 ,解得 ,所以实数 的取值范围是 .故选:D. 7.若函数 恰有2个零点,则实数a的取值范围为( ) A. B. C. D. 【解析】①当 时, 则 只有一个零点0,不符合题意; ②当 时,作出函数 的大致图象,如图1, 在 和 上各有一个零点,符合题意;③当 时,作出函数 的大致图象,如图2, 在 上没有零点. 则 在 上有两个零点,此时必须满足 ,解得 . 综上,得 或 .故选:A 二、多选题 8.已知函数 ,实数 、 是函数 的两个零点,则下列结论正 确的有( ) A. B. C. D. 【解析】因为 ,所以, , 且当 时, ,此时 , 的零点即函数 与 的图象交点的横坐标,如下图所示, 由图象可知,当 时,函数 与 的图象有两个交点,A错B对; 由图可知, ,由 可得 ,化简可得 ,C对; 由 ,因为 ,所以等号取不到,可得 ,所以 ,D对, 故选:BCD. 9.已知函数 且方程 的6个解分别为 ,则( ) A. B. C. D. 【解析】 ,整理得到 , 故 或 ,画出 的图象,如下: 显然 有三个根,分别为 , 有三个根,分别为 , , , , A选项,数形结合得到 ,A错误; B选项,由于 , ,故 ,故B错误; C选项,由 得 ,由 ,得到 ,故 ,C正确; D选项,因为 , ,故 ,D正确. 故选:CD 三、填空题 10.设函数 在区间[ 上有零点,则实数 的取值范围是___________.【解析】令 ,则 ,函数 在区间[ ,3]上有零点等价于直线 与曲线 在 上有交点, 则 ,当 时, 单调递减,当 时, 单调递增, , ,显然 , , 即当 时,函数 在 上有零点;故答案为: . 11.函数 在 上存在零点,则整数t的值为______. 【解析】 在R上单调递增,由零点存在性定理可知, , 由于 , ,故整数 . 12.若函数 在区间 内恰有一个零点,其中 ,则 的值为__________. 【解析】如图所示,函数 的零点,即函数 与 图象的交点, 由图象可知,两函数的图象只有一个交点,且 , 所以 ,所以函数 在 内有一个零点, 又由 ,所以 ,所以 . 13.方程 在区间 上有解,则实数a的取值范围为__________.【解析】考查 ,因为 ,且 开口向上, 故 在区间 上最多有一个零点,结合零点存在性定理可得,若方程 在区间 上有 解, 则 ,即 ,解得 . 14.函数 在区间 上存在零点,则 的最小值为_________. 【解析】设 为 在 上的零点,可得 , 所以 ,即点 在直线 ,又 表示点 到原点距离的平方, 则 有解,即 有解, 令 ,可得 , 因为 , ,所以 恒成立,可得 在 上为单调递增函数, 所以当 时, ,所以 ,即 的最小值为 . 15.已知函数 ,若 在区间 上有零点,则 的最大值为__________. 【解析】设 ,则 ,此时 ,则 , 令 ,当 时, , 记 ,则 ,所以 在 上递增,在 上递减, 故 ,所以 ,所以 的最大值为 .16.若关于 的方程 在 上有解,则实数 的取值范围是______. 【解析】方程 在 上有解,等价于函数 与 在 有交点, 因为 ,所以 ,所以 ,解得 . 17.已知函数 ,若 有三个零点,则实数 的取值范围为________. 【解析】因为 ,解得 , 所以 或 , , 所以 在 , 上单调递增,在 上单调递减,又因为 有3个零点, 所以 ,解得 ,所以实数b的取值范围为 . 18.已知 ,若存在三个不同实数 使得 ,则 的取值范围是 ______. 【解析】作出函数 的图像如下图所示: 设 ,由图像可知 ,则 ,解得 , 由 可得 ,即 ,可得 . .