当前位置:首页>文档>专题16立体几何线面位置关系及空间角的计算(练)解析版_2.2025数学总复习_2023年新高考资料_二轮复习_备战2023年高考数学二轮复习考点精讲练(新教材·新高考)

专题16立体几何线面位置关系及空间角的计算(练)解析版_2.2025数学总复习_2023年新高考资料_二轮复习_备战2023年高考数学二轮复习考点精讲练(新教材·新高考)

  • 2026-04-15 15:03:50 2026-03-16 08:41:01

文档预览

专题16立体几何线面位置关系及空间角的计算(练)解析版_2.2025数学总复习_2023年新高考资料_二轮复习_备战2023年高考数学二轮复习考点精讲练(新教材·新高考)
专题16立体几何线面位置关系及空间角的计算(练)解析版_2.2025数学总复习_2023年新高考资料_二轮复习_备战2023年高考数学二轮复习考点精讲练(新教材·新高考)
专题16立体几何线面位置关系及空间角的计算(练)解析版_2.2025数学总复习_2023年新高考资料_二轮复习_备战2023年高考数学二轮复习考点精讲练(新教材·新高考)
专题16立体几何线面位置关系及空间角的计算(练)解析版_2.2025数学总复习_2023年新高考资料_二轮复习_备战2023年高考数学二轮复习考点精讲练(新教材·新高考)
专题16立体几何线面位置关系及空间角的计算(练)解析版_2.2025数学总复习_2023年新高考资料_二轮复习_备战2023年高考数学二轮复习考点精讲练(新教材·新高考)
专题16立体几何线面位置关系及空间角的计算(练)解析版_2.2025数学总复习_2023年新高考资料_二轮复习_备战2023年高考数学二轮复习考点精讲练(新教材·新高考)
专题16立体几何线面位置关系及空间角的计算(练)解析版_2.2025数学总复习_2023年新高考资料_二轮复习_备战2023年高考数学二轮复习考点精讲练(新教材·新高考)
专题16立体几何线面位置关系及空间角的计算(练)解析版_2.2025数学总复习_2023年新高考资料_二轮复习_备战2023年高考数学二轮复习考点精讲练(新教材·新高考)
专题16立体几何线面位置关系及空间角的计算(练)解析版_2.2025数学总复习_2023年新高考资料_二轮复习_备战2023年高考数学二轮复习考点精讲练(新教材·新高考)
专题16立体几何线面位置关系及空间角的计算(练)解析版_2.2025数学总复习_2023年新高考资料_二轮复习_备战2023年高考数学二轮复习考点精讲练(新教材·新高考)
专题16立体几何线面位置关系及空间角的计算(练)解析版_2.2025数学总复习_2023年新高考资料_二轮复习_备战2023年高考数学二轮复习考点精讲练(新教材·新高考)
专题16立体几何线面位置关系及空间角的计算(练)解析版_2.2025数学总复习_2023年新高考资料_二轮复习_备战2023年高考数学二轮复习考点精讲练(新教材·新高考)
专题16立体几何线面位置关系及空间角的计算(练)解析版_2.2025数学总复习_2023年新高考资料_二轮复习_备战2023年高考数学二轮复习考点精讲练(新教材·新高考)
专题16立体几何线面位置关系及空间角的计算(练)解析版_2.2025数学总复习_2023年新高考资料_二轮复习_备战2023年高考数学二轮复习考点精讲练(新教材·新高考)
专题16立体几何线面位置关系及空间角的计算(练)解析版_2.2025数学总复习_2023年新高考资料_二轮复习_备战2023年高考数学二轮复习考点精讲练(新教材·新高考)
专题16立体几何线面位置关系及空间角的计算(练)解析版_2.2025数学总复习_2023年新高考资料_二轮复习_备战2023年高考数学二轮复习考点精讲练(新教材·新高考)
专题16立体几何线面位置关系及空间角的计算(练)解析版_2.2025数学总复习_2023年新高考资料_二轮复习_备战2023年高考数学二轮复习考点精讲练(新教材·新高考)
专题16立体几何线面位置关系及空间角的计算(练)解析版_2.2025数学总复习_2023年新高考资料_二轮复习_备战2023年高考数学二轮复习考点精讲练(新教材·新高考)
专题16立体几何线面位置关系及空间角的计算(练)解析版_2.2025数学总复习_2023年新高考资料_二轮复习_备战2023年高考数学二轮复习考点精讲练(新教材·新高考)
专题16立体几何线面位置关系及空间角的计算(练)解析版_2.2025数学总复习_2023年新高考资料_二轮复习_备战2023年高考数学二轮复习考点精讲练(新教材·新高考)
专题16立体几何线面位置关系及空间角的计算(练)解析版_2.2025数学总复习_2023年新高考资料_二轮复习_备战2023年高考数学二轮复习考点精讲练(新教材·新高考)
专题16立体几何线面位置关系及空间角的计算(练)解析版_2.2025数学总复习_2023年新高考资料_二轮复习_备战2023年高考数学二轮复习考点精讲练(新教材·新高考)
专题16立体几何线面位置关系及空间角的计算(练)解析版_2.2025数学总复习_2023年新高考资料_二轮复习_备战2023年高考数学二轮复习考点精讲练(新教材·新高考)
专题16立体几何线面位置关系及空间角的计算(练)解析版_2.2025数学总复习_2023年新高考资料_二轮复习_备战2023年高考数学二轮复习考点精讲练(新教材·新高考)
专题16立体几何线面位置关系及空间角的计算(练)解析版_2.2025数学总复习_2023年新高考资料_二轮复习_备战2023年高考数学二轮复习考点精讲练(新教材·新高考)
专题16立体几何线面位置关系及空间角的计算(练)解析版_2.2025数学总复习_2023年新高考资料_二轮复习_备战2023年高考数学二轮复习考点精讲练(新教材·新高考)
专题16立体几何线面位置关系及空间角的计算(练)解析版_2.2025数学总复习_2023年新高考资料_二轮复习_备战2023年高考数学二轮复习考点精讲练(新教材·新高考)
专题16立体几何线面位置关系及空间角的计算(练)解析版_2.2025数学总复习_2023年新高考资料_二轮复习_备战2023年高考数学二轮复习考点精讲练(新教材·新高考)
专题16立体几何线面位置关系及空间角的计算(练)解析版_2.2025数学总复习_2023年新高考资料_二轮复习_备战2023年高考数学二轮复习考点精讲练(新教材·新高考)
专题16立体几何线面位置关系及空间角的计算(练)解析版_2.2025数学总复习_2023年新高考资料_二轮复习_备战2023年高考数学二轮复习考点精讲练(新教材·新高考)
专题16立体几何线面位置关系及空间角的计算(练)解析版_2.2025数学总复习_2023年新高考资料_二轮复习_备战2023年高考数学二轮复习考点精讲练(新教材·新高考)
专题16立体几何线面位置关系及空间角的计算(练)解析版_2.2025数学总复习_2023年新高考资料_二轮复习_备战2023年高考数学二轮复习考点精讲练(新教材·新高考)
专题16立体几何线面位置关系及空间角的计算(练)解析版_2.2025数学总复习_2023年新高考资料_二轮复习_备战2023年高考数学二轮复习考点精讲练(新教材·新高考)
专题16立体几何线面位置关系及空间角的计算(练)解析版_2.2025数学总复习_2023年新高考资料_二轮复习_备战2023年高考数学二轮复习考点精讲练(新教材·新高考)
专题16立体几何线面位置关系及空间角的计算(练)解析版_2.2025数学总复习_2023年新高考资料_二轮复习_备战2023年高考数学二轮复习考点精讲练(新教材·新高考)
专题16立体几何线面位置关系及空间角的计算(练)解析版_2.2025数学总复习_2023年新高考资料_二轮复习_备战2023年高考数学二轮复习考点精讲练(新教材·新高考)
专题16立体几何线面位置关系及空间角的计算(练)解析版_2.2025数学总复习_2023年新高考资料_二轮复习_备战2023年高考数学二轮复习考点精讲练(新教材·新高考)
专题16立体几何线面位置关系及空间角的计算(练)解析版_2.2025数学总复习_2023年新高考资料_二轮复习_备战2023年高考数学二轮复习考点精讲练(新教材·新高考)
专题16立体几何线面位置关系及空间角的计算(练)解析版_2.2025数学总复习_2023年新高考资料_二轮复习_备战2023年高考数学二轮复习考点精讲练(新教材·新高考)
专题16立体几何线面位置关系及空间角的计算(练)解析版_2.2025数学总复习_2023年新高考资料_二轮复习_备战2023年高考数学二轮复习考点精讲练(新教材·新高考)
专题16立体几何线面位置关系及空间角的计算(练)解析版_2.2025数学总复习_2023年新高考资料_二轮复习_备战2023年高考数学二轮复习考点精讲练(新教材·新高考)
专题16立体几何线面位置关系及空间角的计算(练)解析版_2.2025数学总复习_2023年新高考资料_二轮复习_备战2023年高考数学二轮复习考点精讲练(新教材·新高考)
专题16立体几何线面位置关系及空间角的计算(练)解析版_2.2025数学总复习_2023年新高考资料_二轮复习_备战2023年高考数学二轮复习考点精讲练(新教材·新高考)
专题16立体几何线面位置关系及空间角的计算(练)解析版_2.2025数学总复习_2023年新高考资料_二轮复习_备战2023年高考数学二轮复习考点精讲练(新教材·新高考)
专题16立体几何线面位置关系及空间角的计算(练)解析版_2.2025数学总复习_2023年新高考资料_二轮复习_备战2023年高考数学二轮复习考点精讲练(新教材·新高考)

文档信息

文档格式
docx
文档大小
3.339 MB
文档页数
45 页
上传时间
2026-03-16 08:41:01

文档内容

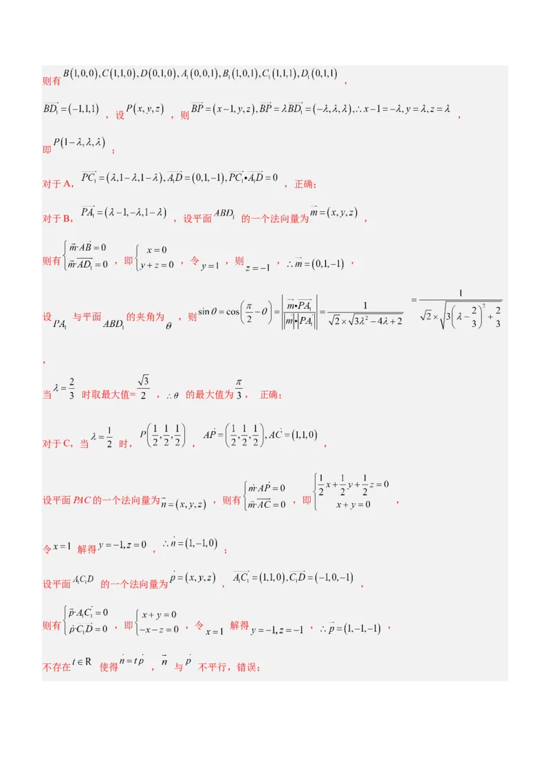
第一篇 热点、难点突破篇 专题16 立体几何线面位置关系及空间角的计算(练) 【对点演练】 一、单选题 1.(2023·四川攀枝花·统考二模)如图,正方体 中,P是 的中点,给出下列结论: ① ;② 平面 ③ ;④ 平面 其中正确的结论个数为( ) A.1 B.2 C.3 D.4 【答案】B 【分析】建立空间直角坐标系,利用向量法对四个结论进行分析,从而确定正确答案. 【详解】建立如图所示空间直角坐标系,设正方体的边长为 , 则 , , 不存在实数 使得 ,所以①错误. , 设平面 的法向量为 , 则 ,令 ,得 ,故可设 , ,所以 ,由于 平面 ,所以 平面 ,②正确. ,所以 ,③正确. , ,所以 与 不垂直, 平面 ,所以 与平面 不垂直,所以④错误. 故正确的个数为 个. 故选:B 2.(2023秋·河南·高三安阳一中校联考阶段练习)如图,在正方体 中,点 是线段 上的 动点,则下列说法正确的是( ) A.当点 移动至 中点时,直线 与平面 所成角最大且为 B.无论点 在 上怎么移动,都有 C.当点 移动至 中点时,才有 与 相交于一点,记为点 ,且D.无论点 在 上怎么移动,异面直线 与 所成角可能是 【答案】B 【分析】对于A,利用四面体的等体积法求解直线 与平面 所成角的正弦值,从而判断正误;对于 B,证明正方体 的体对角线 平面 ,根据 平面 ,即可判断正误;对于 C,根据四点共面,利用梯形几何性质求解 ,即可判断正误;对于D,根据动点 的位置,求解异面直线 与 所成角的正切值取值范围来判断正误. 【详解】解:对于A,设正方体 的棱长为1,如图,连接 在正方体 中,面对角线 , 故四面体 为正四面体,所以 , , 则点 到平面 的距离为 , 又 为正三角形,则当点 为 的中点时,线段 的长度最短,且为 ,此时直线 与平面 所成角的正弦值 最大,且为 ,选项A错误; 对于B,如图,连接 A B C D 在正方体 中,四边形 1 1 1 1为正方形,所以 , A B C D A B C D 又 平面 1 1 1 1, 平面 1 1 1 1,所以 ,又 平面 , 所以 平面 ,且 平面 ,所以 ,同理可得 , 又 平面 ,所以 平面 ,又 平面 ,所以总有 , 选项B正确; 对于C,如图,连接 , 当F为 的中点时, ,此时 四点共面, 为梯形 的对角线,故其交于一点 , 且 ,选项C错误;对于D,因为 ,所以 即异面直线 与 所成的角,该角的正切值为 , 易知 ,所以 , 不在该范围内, 故无论点F在 上怎么移动,异面直线 与 所成的角都不可能是 ,选项D错误. 故选:B. 二、多选题 3.(2023秋·湖北武汉·高三统考期末)在正方体 中,点 在线段 上,且 ,动 点 在线段 上(含端点),则下列说法正确的有( ) A.三棱锥 的体积为定值 B.若直线 平面 ,则 C.不存在点 使平面 平面 D.存在点 使直线 与平面 所成角为 【答案】AB 【分析】选项A连接 ,设正方体的棱长为 ,说明 平面 ,可说明点 到平面 的高度为 定值, 为定值,利用等体积法即可说明,选项B建立空间直角坐标系,利用向量法求解即可,选项C, 当 处于 处时即可判断,选项D借助选项B中的相关结论,假设存在点 使直线 与平面 所成角为,根据假设条件,表示出线面角,列出等式,推出结论即可. 【详解】选项A,连接 ,如图所示:设正方体的棱长为 , 因为 , 所以四边形 为平行四边形, 所以 , 又 平面 , 平面 , 所以 平面 , 即 平面 所以直线 上的所有点到平面 的距离都相等都等于正方体的棱长 为定值, 所以点 到平面 的高度为 , 由 为定值, 所以 为定值, 故A正确, 以 为坐标原点, 分别为 轴,建立空间直角坐标系,如图所示:设 ,设正方体的棱长为1, 因为点 在线段 上,且 ,所以 在线段 的中点, 则 , 所以 , 设平面 的法向量为 ,则 , 令 ,则 , 所以平面 的法向量为 , 由 ,设 , 所以 ,又 , 所以 , 所以 , 所以 ,所以直线 平面 ,所以 , 即 , 解得 , ,故B选项正确, 当 处于 点时,平面 即为平面 , 而在正方体中平面 平面 , 故存在点, 使得平面 平面 , 故C错误, 由B选项知 ,由 平面 , 所以 为平面 的一个法向量, 设直线 与平面 所成角为 , 由线面角的性质有: , 假设存在点 使直线 与平面 所成角为 , 则 , 即 , 因为 ,无实数解, 所以不存在点 使直线 与平面 所成角为 , 故D选项不正确, 故选:AB.4.(2023秋·江苏南通·高三统考期末)已知在正四面体 中, 、 、 、 分别是棱 , , , 的中点,则( ) A. 平面 B. C. 平面 D. 、 、 、 四点共面 【答案】ABD 【分析】把正四面体 放到正方体里,对于A项根据线面平行的判定定理证明 对于B项,从正方体的角度上看易得 对于D项,证明四边形 是平行四边形可验证 对于C项,反证法证明,矛盾点是 与 的夹角. 【详解】把正四面体 放到正方体里,画图为: 对于A项, 、 分别为 , 的中点, 又 平面 且 平面 平面 ,故A正确 对于B项,从正方体的角度上看易得 ,故B正确. 对于D项, 、 、 、 分别是棱 , , , 的中点 且 且 所以 所以四边形 是平行四边形,故 、 、 、 四点共面,所以D正确. 对于C项,若 平面 成立,即 平面 又因为 平面 所以又因为 、 分别为 , 的中点, 所以 所以 而 为等边三角形,与 矛盾,所以C不正确. 故选:ABD 5.(2022秋·江苏南京·高三南京航空航天大学附属高级中学校考阶段练习)已知正四棱柱 的 底面边为1,侧棱长为 , 是 的中点, 则( ) A.任意 , B.存在 ,直线 与直线 相交 C.平面 与底面A B C D 交线长为定值 1 1 1 1 D.当 时,三棱锥 外接球表面积为 【答案】AC 【分析】对于A,由题意可得 平面 ,从而可得 ,即可判断; 对于B,根据异面直线的定义可得; 对于C,根据题意找出交线,然后求出交线长即可; 对于D,根据外接球与正四棱柱的位置关系,找出球心,进而求出半径,即可得出表面积. 【详解】解:对于A, , , , , 平面 , 平面 , 平面 , ,故正确; 对于B,因为 平面 , 平面 ,所以 平面 , 与 异面,故不相交,故错误; 对于C,延长 , 交于 点,连接 交 于 , 为 中点, , 所以 , 所以 , 所以 , 平面 平面 , A B C D 平面 与底面 1 1 1 1交线为 , 其中 为 中点,所以 ,故正确对; 对于D, , 是直角三角形,外接圆是以 为直径的圆,圆心设为 ,半径 , 取 中点 ,则 平面 , , 所以 , 所以 , ,故错误. 故选: . 三、填空题 6.(2023秋·河北唐山·高三开滦第二中学校考期末)如图,在四棱柱 中, 底面 , 且底面 为菱形, , , , 为 的中点, 在 上, 在平面 内运 动(不与 重合),且 平面 ,异面直线 与 所成角的余弦值为 ,则 的最大值 为___________. 【答案】 ## 【分析】连接 交 于点 ,推导出 平面 ,然后以点 为坐标原点, 、 、 的方向 分别为 、 、 轴的正方向建立空间直角坐标系,设 ,其中 ,利用空间向量法可求得 的值,求出点 的坐标为 ,求出 的最小值,即可求得 的最大值. 【详解】连接 交 于点 , 平面 , 平面 ,则 , 因为四边形 为菱形,则 , , 、 平面 , 平面 , 以点 为坐标原点, 、 、 的方向分别为 、 、 轴的正方向建立如下图所示的空间直角坐标系, 则 、 、 、 、 、 、 , 易知平面 的一个法向量为 , 因为 平面 ,所以, , 设点 ,其中 ,则 , 由已知可得 , 因为 ,解得 ,即点 , 设点 ,则 ,因为 ,则 ,可得 ,且 ,可得 , 所以,点 , 因为 平面 , 、 平面 , , , 且 , 所以, . 故答案为: . 四、解答题 7.(2021秋·吉林辽源·高三校联考期末)如图,在四棱锥 中,底面ABCD是正方形, 平面 ABCD, ,E、F分别为AB、PC的中点. (1)证明:直线 平面PAD; (2)求点B到平面EFC的距离. 【答案】(1)证明见解析 (2) 【分析】(1)根据线面平行的判定定理即可得解;(2)利用等体积转化法即可求解. 【详解】(1)证明:取 的中点 ,连 , ,∵ 为 的中点,∴ ,且 , 又 ,且 ,则 , ∴四边形AEFG为平行四边形,∴ , 又 平面PAD, 平面PAD,∴ 平面 . (2)∵ 底面ABCD, 为 的中点, ∴点F到平面BCE的距离为 . 又 , ∴ , ∵ , , , . 设 到平面 的距离为 ,则 ,解得 , 所以点B到平面EFC的距离是 . 8.(2023秋·江西赣州·高三统考期末)如图,在四棱锥 中, , , , , , , 平面 ,点M是棱 上的动点. (1)证明: ; (2)设 ,求当 平面 时 的值. 【答案】(1)证明见解析(2) . 【分析】(1)根据 平面 和 推出 ,根据余弦定理计算推出 ,根据线面垂 直的判定定理得到 平面 ,从而可得 ; (2)连 , 交于点N,连 ,根据线面平行的性质定理推出 ,再根据三角形相似可求出结果. 【详解】(1)证明:由于 平面 且 , 所以 平面 ,又 平面 ,所以 . 由 , 得 ,即 , 解得 或 (舍), 所以 ,即 , 又 平面 , ,且 , 所以 平面 ,而 平面 , 因此 . (2)连 , 交于点N,连 , 因为 平面 , 平面 ,平面 平面 , 所以 ,故 . 在梯形 中,根据 与 相似,可得 , 所以 ,即当 平面 时 的值为 .9.(2023秋·山西·高三校联考阶段练习)如图,在直四棱柱 中,四边形 是菱形, , , ,点E是棱 上的一点(与 , 不重合). (1)求证: ; (2)若二面角 的余弦值为 ,求直线 与平面 所成角的正弦值. 【答案】(1)证明见解析; (2) . 【分析】(1)由已知可得 ,根据线面垂直的性质可得 ,即可证得 平面 ,进 而证得线线垂直; (2)设 .以点 为坐标原点,建立空间直角坐标系.设 ,写出各点的坐标,得到平面 以及平面 的法向量,根据已知可得 .然后用向量求出结果即可. 【详解】(1)证明:如图1,连结 . 由已知可得, 平面 , 平面 ,所以 . 又因为四边形 是菱形,所以 . 又 平面 , 平面 , , 所以 平面 .因为 平面 ,所以 . (2)解:设 ,连接 交 于点 . 由已知可得, 为等边三角形,则 , , . 以 为坐标原点,分别以 所在的直线为x轴,y轴,z轴,如图2建立空间直角坐标系,则 , , , , 设 ,故 , 所以 , , , . 设平面 的一个法向量 ,所以 ,即 , 令 ,解得 , ,所以平面 的一个法向量 .设平面 的一个法向量 ,所以 ,即 令 ,解得 , .所以平面 的一个法向量 , 所以 ,整理可得 , 又 ,解得 ,所以平面 的一个法向量为 . 设直线 与平面 所成的角为 , 所以 , 所以直线 与平面 所成角的正弦值为 . 10.(2023秋·江西赣州·高三统考期末)如图,在四棱锥 中, 底面 ,四边形 是凸 四边形,且 , , . (1)证明:平面 平面 ; (2)求平面 与平面 夹角的余弦值. 【答案】(1)证明见解析 (2) 【分析】(1)由题意可证得 , ,由线面垂直的判定定理可证得 面 ,再由面面垂 直的判定定理即可证明;(2)以 为坐标原点, , 分别为x,y轴的正方向建立如图所示的空间直角坐标系,分别求出平面 与平面 的法向量,由二面角的向量公式代入即可得出答案. 【详解】(1)连接 ,由题设 , ,得 . 又 ,故 , 由余弦定理可得: , 解得: 或 , 若 ,在 中, ,所以 , 在 中, ,所以 , 所以 ,因为四边形 是凸四边形, 所以 . 从而有 , 又 面 且 面 ,得 , , 面 ,故 面 , 又 面 ,所以面 面 ; (2)因为 面 且 面 ,得 , 又因为 ,所以 , 所以 , 平面 ,所以 面 , 以 为坐标原点, , 分别为x,y轴的正方向建立如图所示的空间直角坐标系,则 , , , , , 由(1)知 面 ,故面 的一个法向量为 设面 的法向量为 , 由 , , 结合 ,令 ,得 故 的一个法向量为 , 记平面 与平面 夹角为 , 则有 . 【冲刺提升】 一、单选题 1.(2023秋·广东深圳·高三统考期末) 正四面体 中, 是侧棱 上(端点除外)的一点,若异面 直线 与直线 所成的角为 ,直线 与平面 所成的角为 ,二面角 的平面角为 ,则 ( ) A. B.C. D. 【答案】C 【分析】先在正四面体 中,作出 对应的角,再比较三者间的的大小关系即可解决. 【详解】正四面体 中,取 中点 ,连接 , , 过 作 于 ,连接 , , 过 作 的平行线交 于 ,则 , 由 , , , 平面 , 平面 可得 平面 ,则 ,则 由 平面 ,可得平面 平面 , 又平面 平面 , 平面 , , 则 平面 ,则 , 因为 ,且 ,所以 . 设正四面体边长为1, ,有 . , 因为 所以 ,又 ,则 综上:故选:C 【点睛】(1)求直线与平面所成的角的一般步骤: ①找直线与平面所成的角,即通过找直线在平面上的射影来完成; ②计算,要把直线与平面所成的角转化到一个三角形中求解. (2)作二面角的平面角可以通过垂线法进行,在一个半平面内找一点作另一个半平面的垂线,再过垂足作二面 角的棱的垂线,两条垂线确定的平面和二面角的棱垂直,由此可得二面角的平面角. 二、多选题 2.(2023·安徽淮南·统考一模)在四棱锥 中,底面 为矩形,侧面 为等边三角形, ,则( ) A.平面 平面 B.直线 与 所成的角的余弦值为 C.直线 与平面 所成的角的正弦值为 D.该四棱锥外接球的表面积为 【答案】ABD 【分析】根据勾股定理的逆定理,结合线面垂直的判定定理、面面垂直的判定定理、线面角定义、异面直线所 成角的定义、球的几何性质逐一判断即可. 【详解】因为 为矩形,所以 , 因为侧面 为等边三角形, 所以 ,因为 , 所以 ,由 为矩形可得 , 因为 平面 , 所以 平面 ,而 平面 , 所以平面 平面 ,因此选项A正确; 由 为矩形可得 ,所以 是直线 与 所成的角(或其补角), 设 的中点为 ,连接 , 因为侧面 为等边三角形, 所以 ,而平面 平面 ,平面 平面 , 所以 平面 ,因为 平面 ,所以 , 由勾股定理可知: , , , 在 中,由余弦定理可得 ,所以选项B正确; 因为 平面 , 所以 是直线 与平面 所成的角, 因此 ,所以选项C不正确; 设该四棱锥外接球的球心为 ,矩形 的中心为 ,显然 平面 , 即 ,过 作 ,连接 ,设该四棱锥外接球的半径为 , 所以在直角三角形 中,有 , 在直角梯形 中,有 , , 在直角三角形 中,有 , 即 , 解得 , 所以该四棱锥外接球的表面积为 ,因此选项D正确, 故选:ABD【点睛】关键点睛:利用线面垂直的判定定理和球的几何性质是解题的关键. 3.(2023秋·福建厦门·高三厦门外国语学校校考期末)如图,正方体 中,顶点A在平面α内, 其余顶点在α的同侧,顶点 ,B,C到 的距离分别为 ,1,2,则( ) A.BC∥平面 B.平面AAC⊥平面 1 C.直线 与 所成角比直线 与 所成角小 D.正方体的棱长为2 【答案】BCD 【分析】根据点到面的距离的性质,结合线面垂直的判定定理、线面角的定义、面面相交的性质进行求解判断 即可. 【详解】对A,因为B,C到 的距离分别为1,2,显然不相等, 所以BC不可能与平面 平行,因此选项A不正确; 对B,设 的交点为 ,显然 是 的中点, 因为平面 , C到 的距离为2, 所以O到 的距离分别为1,而B到 的距离为1,因此 ,即 ,设平面 , 所以 , 因为 是正方形,所以 , 又因为 平面 , 平面 , 所以 ,因为 平面 , 所以 平面 ,因此有 平面 ,而 , 所以平面 平面 ,因此选项B正确; 对C,设 到平面 的距离为 , 因为平面 , 是正方形,点 ,B到 的距离分别为 ,1, 所以有 , 设正方体 的棱长为 , 设直线 与 所成角为 ,所以 , 设直线 与 所成角为 ,所以 , 因为 ,所以 ,因此选项C正确; 对D,因为平面 平面 ,平面 平面 , , 所以 在平面 的射影 与 共线, 显然 ,如图所示: 由 ,, 由 (负值舍去), 因此选项D正确, 故选: . 4.(2023秋·江苏南通·高三统考期末)在棱长为1的正方体 中,设 ,其中 ,则( ) A. B. 与平面 所成角的最大值为 C.若 ,则平面 平面 D.若 为锐角三角形,则 【答案】ABD 【分析】建立空间直角坐标系,运用空间向量逐项求解. 【详解】 以A为原点,AB为x轴,AD为y轴, 为z轴,建立空间直角坐标系,则有 , ,设 ,则 , 即 ; 对于A, ,正确; 对于B, ,设平面 的一个法向量为 , 则有 ,即 ,令 ,则 , , 设 与平面 的夹角为 ,则 , 当 时取最大值= , 的最大值为 , 正确; 对于C,当 时, , , 设平面PAC的一个法向量为 ,则有 ,即 , 令 解得 , ; 设平面 的一个法向量为 , , 则有 ,即 ,令 解得 , , 不存在 使得 , 与 不平行,错误;对于D,当 为锐角三角形就是 ,设 , , , , ,正确; 故选:ABD. 5.(2023秋·江苏·高三统考期末)已知在三棱锥 中, , , , ,设二面角 的大小为 , 是 的中点,当 变化时,下列说法正确的是( ) A.存在 ,使得 B.存在 ,使得 平面 C.点 在某个球面上运动 D.当 时,三棱锥 外接球的体积为 【答案】ACD 【分析】取 、 中点 、 ,连接 , , , , ,即可得到 即为二面角 , 求出线段 、 、 、 、 的长度,假设 ,求出 的值,即可判断A,假设 平面 , 即可得到 ,推出矛盾,即可判断B,由 为定值,即可判断C,结合A可得 ,即可求出三棱锥外接球的半径,从而求出体积,即可判断D. 【详解】解:对于A:取 、 中点 、 ,连接 , , , , , 因为 ,所以 , 又 , ,所以 ,所以 即为二面角 的平面角 , 又 , ,所以 , 所以 ,则 , , 若 ,又 , , 平面 ,则 平面 , 因为 平面 ,所以 ,所以 ,则 ,即 ,即 , 故A正确;对于B:若 平面 , 平面 ,则 ,又 , , 平面 ,所以 平面 , 平面 , , 在 中 与 矛盾,故B错误; 对于C: , 在半径为 的球面上,故C正确; 对于D,当 时, ,所以 , 为三棱锥 外接球的球心,外接球的半径为 , 所以三棱锥 外接球的体积 ,故D正确. 故选:ACD. 三、解答题 6.(2022秋·四川成都·高三四川省成都市玉林中学校考阶段练习)如图,在四棱锥 中,底面 是矩形, 平面 , , , 是 中点. (1)求证:直线 平面 ; (2)求直线 与平面 的夹角正弦值. 【答案】(1)证明见解析 (2)【分析】(1)利用线面平行的判定定理即可证明;(2)利用空间向量的坐标运算求解线面夹角. 【详解】(1) 连接 与 交于点 ,连接 , 则 为 的中位线,所以 , 又 平面 平面 ,所以直线 平面 . (2)因为 平面 , 平面 , 平面 , 所以 ,因为四边形 为矩形,所以 , .... 所以 两两垂直,所以以 为坐标原点, 分别以 所在的直线为 轴,建立空间直角坐标系,如图所以示, 因为 , , 是 中点, 所以 , , 所以 ,设平面 的法向量为 , 则 ,令 ,则 , ,设直线 与平面 的夹角为 , 则 .7.(2022·四川成都·成都市第二十中学校校考一模)如图,四棱锥 中,底面 是平行四边形, 平面 底面 , , , , . (1)求证:平面 平面 ; (2)求二面角 的正弦值. 【答案】(1)证明见解析 (2) 【分析】(1)利用面面垂直的性质定理可得线面垂直,再利用面面垂直的判定定理证明;(2)利用空间向量的坐 标运算求二面角. 【详解】(1)因为 , , , 所以 ,所以 , 又因为 ,平面 底面 , 平面 平面 , 平面 , 所以 平面 ,又因为 平面 , 所以 , 平面 , 所 平面 ,且 平面 , 所以平面 平面 .(2) 过点 作 ,垂足为点 , 由等面积法可得 解得 , , 因为 ,平面 底面 , 平面 底面 , 平面 , 所以 底面 , 作与 平行的直线 ,则 底面 , 底面 ,所以 ,且 , 所以以 为 轴建系如图, 则 , 设平面 的一个法向量为 , , 则 ,令 , 所以 , 设平面 的一个法向量为 , ,则 ,令 , 所以 , 设二面角 为 , , 所以二面角 的正弦值为 . 8.(2023秋·江苏无锡·高三统考期末)如图,在四棱锥 中, , , , , , , 平面PAD,点M满足 . (1)若 ,求证:平面 平面 ; (2)设平面MPC与平面PCD的夹角为 ,若 ,求 的值. 【答案】(1)证明见解析 (2) 【分析】(1)利用线面垂直的判定定理性质定理和面面垂直的性质定理可得 平面ABCD,再证明 平 面PCM ,利用面面垂直判定定理可证明; (2)利用空间向量的坐标运算表示平面与平面夹角的余弦值,列方程计算求解. 【详解】(1)证明:∵ , , ,∴ . ∵ ,∴ ,而 ,∴ , ,∴ . ∵ 平面PAD, 平面ABCD, ∴平面 平面PAD且平面 平面 , 由 平面PAD, 平面ABCD, 平面ABCD,∴ , 且 , , ,∴ , PM,CM  ∴ ,又∵ , 平面PCM, ∴BM 平面PCM. 又∵BM平面PBM ,∴平面PBM 平面PCM . (2)由(1)可知,PM 平面ABCD, 所以作平行于PM 的直线为z轴建系如图,   M0,4,0 AM AD AM 4 ∵ ,∴ ,∴ ,        P 0,1, 3 C3,4,0 D0,4,0 MC 3,44,0 PC  3,3, 3 CD3,0,0 , , ,∴ , , ,   n x,y ,z  n x ,y ,z  设平面MPC与平面PCD的一个法向量分别为 1 1 1 1 , 2 2 2 2 ,   3x 1 (44)y 1 0 n  (4(1),3, 3(41)) ∴ 3x 3y  3z 0 1 1 1 1 3x 3y  3z 0   2 2 2 n (0,1, 3) 3x 0 2 , 2   n n 6 1 2 12 ∵ 7 ,∴ cos     tan 6 43 n 1 n 2 161293412 2328403220 ,∵01, 2 ∴ . 3 2 PC  AB AC  BC 1 9.(2023秋·湖北武汉·高三统考期末)在三棱锥PABC中, 2 ,PC 平面ABC,   PM CN x 0x 2 点M 是棱PA上的动点,点N 是棱BC上的动点,且 . 2 x (1)当 2 时,求证:MN  AC; (2)当MN的长最小时,求二面角AMNC的余弦值 【答案】(1)证明见解析 1 (2) 3 CD AC PC,AC,CD C 【分析】(1)作 ,根据线面垂直的性质可知 两两互相垂直,以 为坐标原点建立空间    ABC,  APC M,N MNCA0 直角坐标系,易证得 为等腰直角三角形,由此可得 坐标,根据 可证得结论; 2 x (2)用x表示M,N坐标,将MN2表示为关于x的二次函数,由此可确定 2 时,MN最小,进而得到 M,N 坐标;利用二面角的向量求法可求得结果. 【详解】(1)在平面ABC内过点C作CD AC,使得点D与点B在AC同侧,  PC 平面ABC,CD平面ABC,AC平面ABC, PC  AC PC CD PC,AC,CD , ,则 两两互相垂直.   C CA,CD,CP x,y,z 以 为坐标原点, 正方向为 轴,可建立如图所示空间直角坐标系, C0,0,0 A1,0,0 P0,0,1 则 , , ; 2 由AB AC  BC得: , , 2 AB2AC2 BC2 ABAC B1,1,0  ABC  为等腰直角三角形, ; 同理可得:△APC为等腰直角三角形, 2 1 1 x AM  AP CN  CB 当 2 时, 2 , 2 ,M,N 分别是AP,CB中点, 1 1 1 1    1 1 M 2 ,0, 2  , N 2 , 2 ,0 , MN   0, 2 , 2  , C  A  1,0,0 ,   1  1 MNCA01 0 00 2  2 ,MN  AC. A1,0,0 P0,0,1 B1,1,0 ABC, APC (2)由(1)可得: , , ,  为等腰直角三角形;  2 2   2 2  M x,0,1 x N x, x,0  2 2 ,  2 2 ,     2 2 2  2 2   2   2  MN2  x x 0 x 1 x x2 2x1 则  2 2   2   2  ;       2 x 当 2 时,MN最小,M,N 分别是AP,CB中点,1 1 1 1  M ,0,  N , ,0 2 2, 2 2 ,  1 1  1 1    1 1   1 1  CM  ,0,  CN  , ,0 AM  ,0,  AN  , ,0 2 2, 2 2 ,  2 2,  2 2 ,  x,y ,z  设平面 CMN 的法向量为 1 1 1 ,   1 1 CM x  z 0   2 1 2 1 则 ,令 ,解得: , , ; C  N     1 x  1 y 0   2 1 2 1 x 1 y 1 z 1 1,1,1 1 1 1  x ,y ,z  设平面 AMN 的法向量 2 2 2 ,   1 1 AM x  z 0   2 2 2 2 则 ,令 ,解得: , , ;  A  N     1 x  1 y 0   2 2 2 2 x 1 y 1 z 1 1,1,1 2 2 2      1 1 cos,      ,  3 3 3 1 由图形可知:二面角 为锐二面角, 二面角 的余弦值为 . AMNC  AMNC 3 10.(2023秋·湖北武汉·高三统考期末)在如图所示的多面体中,四边形ABCD为正方形,A,E,B,F 四 点共面,且  ABE和△ABF 均为等腰直角三角形,BAEAFB90.平面ABCD平面AEBF,AB2. (1)求多面体AEBFCD体积; (2)若点P在直线DE上,求AP与平面BCF所成角的最大值. 【答案】(1)4  (2) 4【分析】(1)多面体分成两个四棱锥EABCD和FABCD,然后由体积公式计算(注意找到棱锥的高); (2)建立如图所示的空间直角坐标系,由空间向量法求出线面的正弦值,利用函数性质得最大值. 【详解】(1)在四边形AEBF中,∵  ABE和△ABF 均为等腰直角三角形,且BAEAFB90, ∴BAF ABE45,∴AF∥BE,∵四边形ABCD为正方形,∴DA AB, 又∵平面ABCD平面AEBF,DA平面ABCD,平面ABCD平面AEBF  AB, ∴DA平面AEBF,同理AE平面ABCD, 1 FG AB1 取AB中点G,连接 FG ,则FGAB, 2 ,又同理可得 FG 平面ABCD, 1 1 1 1 V V V  S EA S FG 222 2214; EABCD FABCD 3 ABCD 3 ABCD 3 3 (2)如图建立空间直角坐标系, P0,,2 B2,0,0 C2,0,2 F1,1,0 A0,0,0  B  C  0,0,2  B  F  1,1,0 设 ,则 , , , ,∴ , ,  n  B  C  0 2z0 设平面 BCF 的一个法向量为 n  x,y,z,则  n  B  F  0 ,即 xy0 ,  n1,1,0 AP0,,2 令 x1 ,则 ,设AP与平面 BCF 所成角为,又 ,   nAP  2  sin    ∴   , n AP 2 222 2 2244  2 1 2 1 2 sin      要使 sin 最大, 0 ,∴ 2 2244 2  4 2   4 2 2 4    1  1 2    2 1 2 ( 2 时等 号成立),   ∴ ,即 与平面 所成角的最大值为 . 4 AP BCF 4 11.(2023秋·江苏南通·高三统考期末)如图,已知四边形ABCD为直角梯形,其中AD//BC,ADAB, AD2BC 2.现将四边形ABCD沿着AB旋转至ABEF,使得平面ABCD平面ABEF. (1)证明:C,D,E,F 四点共面 ; (2)若AB3,点P在线段AB上,且AP2,求平面PCE与平面PDF 所成角的正弦值. 【答案】(1)证明见解析 2 2 (2) 3  AD,AB,AF 【分析】(1)由条件可得AD平面ABEF,以A为坐标原点,以 为基底建立空间直角坐标系, 利用空间向量知识即可证明C,D,E,F 四点共面; (2) 设平面 PDF 的法向量为 m x 1 ,y 1 ,z 1  ,设平面 PCE 的一个法向量 nx 2 ,y 2 ,z 2  ,求出向量 m 、 n , 计算即可求得平面PCE与平面PDF 所成角的正弦值. 【详解】(1)证明:因为ADAB, 平面ABCD平面ABEF, 平面ABCD平面ABEF  AB,AD平面ABCD, 所以AD平面ABEF.  AD,AB,AF 以A为坐标原点,以 为基底建立如图所示的空间直角坐标系Axyz. ABb F0,0,2 D2,0,0 C(1,b,0) E(0,b,1) 设 ,则 , , ,   FD2,0,2 EC 1,0,1 所以 , , 所以CE//DF ,即C,D,E,F 四点共面. (2)因为AB3,点P在线段AB上,且AP2,  PD2,2,0 所以 . m x,y,z  设平面 PDF 的法向量为 1 1 1 , m  F  D  0 m  P  D  0 2x 2z 0 2x 2y 0 因为 , ,所以 1 1 , 1 1 , x 1 y 1 z 1 m 1,1,1 令 1 ,则 1 , 1 ,所以平面 PDF 的一个法向量 . nx,y,z  设平面 PCE 的一个法向量 2 2 2 , n  E  C  0 m  P  C  0 x z 0 x y 0 因为 , ,所以 1 1 , 1 1 , x 1 y 1 z 1 PCE n1,1,1 令 1 ,则 1 , 1 ,所以平面 的一个法向量 . 设平面PDF 与平面PCE所成夹角为, 111 1 n|  则cos|cosm , 3 3 3,2 2 sin 1cos2 所以 3 , 2 2 即平面ABF 与平面CDE所成角的正弦值为 3 . PQ ABCD 12.(2023·全国·高三专题练习)如图:长为3的线段 与边长为2的正方形 垂直相交于其中心 O(POOQ). PABQ 3 O PQ (1)若二面角 的正切值为 ,试确定 在线段 的位置; P A B C D Q PABCDQ (2)在(1)的前提下,以 , , , , , 为顶点的几何体 是否存在内切球?若存在,试确定 其内切球心的具体位置;若不存在,请说明理由. O PQ Q 【答案】(1)存在, 在线段 上的靠近 点的三分点位置 O P 5 10 (2)存在 ,内切球心 在点 距离为 的位置上. AB E PE OE QE PEQ PABQ 【分析】(1)取线段 的中点为点 ,连接 , , .证明出 为二面角 的平面角.设 PEQ,QEO,OPx,利用直角三角形建立关于x的方程,解出OP; PABCDQ O CD F r (2)几何体 存在内切球,设球心为 ,设线段 的中点为点 ,内切球的半径为 ,利用几何性 O P 5 10 质计算出 在点 距离为 的位置上. AB E PE OE QE 【详解】(1)取线段 的中点为点 ,连接 , , .由于四边形ABCD是正方形,O为其中心,所以OE AB, 又PO面ABCD,AB面ABCD,所以PO AB. OE  OPO OE PEO OP PEO AB PEO 而 , 面 , 面 ,所以 面 . 因为PE面PEO,所以ABPE. ABQE PEQ PABQ tanPEQ3 同理可以证出 , 为二面角 的平面角, . 设PEQ,QEO,OPx,则OQ3x.且OE1 OP 在 中,tan x, RT PEO OE  OQ 同理在 中,tan 3x RT  QEO OE tantan 3 tanPEQtan  3 由 1tantan 1x3x , 得:x23x20 POOQOPx2  O PQ Q 故 在线段 上的靠近 点的三分点位置. PABCDQ O (2)几何体 存在内切球,令球心为 .CD F r PEQF O 若设线段 的中点为点 ,内切球的半径为 ,由对称性可知:平面四边形 的内切圆的圆心为 ,半 径即为r, 1 1 故S PEQF  2 EF·PQ 2 r2PE2QE ,而 PE PO2OE2  5 ,QE QO2OE2  2. 1 1   所以 23 r 2 52 2 ,得 . 2 2 r  5 2 r OE 1 5 sinEPO   由三角形相似有:PO PE 5 5 PO 5r5 10 所以 . O P 5 10 故其内切球心 在点 距离为 的位置上.