当前位置:首页>文档>专题27圆锥曲线中的面积问题(解析版)_2.2025数学总复习_2024年新高考资料_3.2024专项复习_2024年新高考数学之圆锥曲线专项重难点突破练(新高考专用)

专题27圆锥曲线中的面积问题(解析版)_2.2025数学总复习_2024年新高考资料_3.2024专项复习_2024年新高考数学之圆锥曲线专项重难点突破练(新高考专用)

  • 2026-03-18 16:51:25 2026-03-17 07:55:57

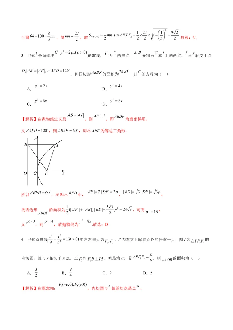
文档预览

专题27圆锥曲线中的面积问题(解析版)_2.2025数学总复习_2024年新高考资料_3.2024专项复习_2024年新高考数学之圆锥曲线专项重难点突破练(新高考专用)
专题27圆锥曲线中的面积问题(解析版)_2.2025数学总复习_2024年新高考资料_3.2024专项复习_2024年新高考数学之圆锥曲线专项重难点突破练(新高考专用)
专题27圆锥曲线中的面积问题(解析版)_2.2025数学总复习_2024年新高考资料_3.2024专项复习_2024年新高考数学之圆锥曲线专项重难点突破练(新高考专用)
专题27圆锥曲线中的面积问题(解析版)_2.2025数学总复习_2024年新高考资料_3.2024专项复习_2024年新高考数学之圆锥曲线专项重难点突破练(新高考专用)
专题27圆锥曲线中的面积问题(解析版)_2.2025数学总复习_2024年新高考资料_3.2024专项复习_2024年新高考数学之圆锥曲线专项重难点突破练(新高考专用)
专题27圆锥曲线中的面积问题(解析版)_2.2025数学总复习_2024年新高考资料_3.2024专项复习_2024年新高考数学之圆锥曲线专项重难点突破练(新高考专用)
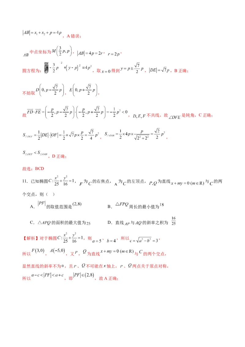
专题27圆锥曲线中的面积问题(解析版)_2.2025数学总复习_2024年新高考资料_3.2024专项复习_2024年新高考数学之圆锥曲线专项重难点突破练(新高考专用)
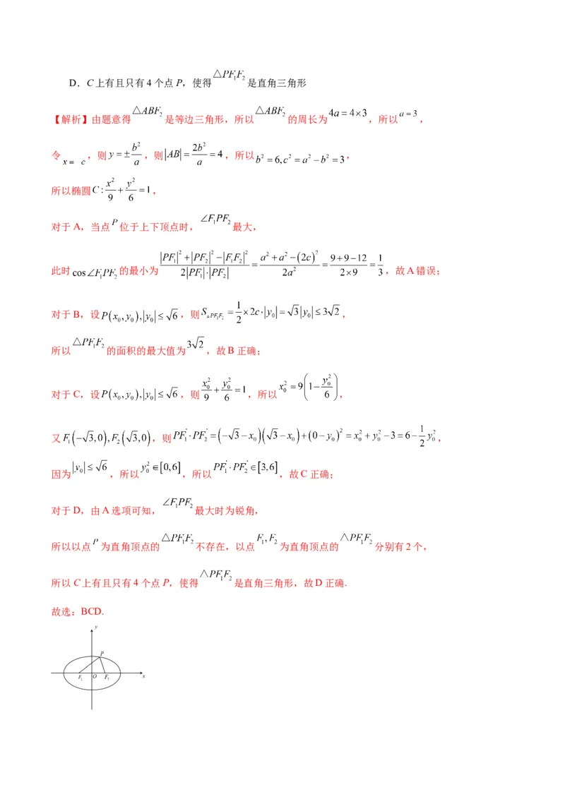
专题27圆锥曲线中的面积问题(解析版)_2.2025数学总复习_2024年新高考资料_3.2024专项复习_2024年新高考数学之圆锥曲线专项重难点突破练(新高考专用)
专题27圆锥曲线中的面积问题(解析版)_2.2025数学总复习_2024年新高考资料_3.2024专项复习_2024年新高考数学之圆锥曲线专项重难点突破练(新高考专用)
专题27圆锥曲线中的面积问题(解析版)_2.2025数学总复习_2024年新高考资料_3.2024专项复习_2024年新高考数学之圆锥曲线专项重难点突破练(新高考专用)
专题27圆锥曲线中的面积问题(解析版)_2.2025数学总复习_2024年新高考资料_3.2024专项复习_2024年新高考数学之圆锥曲线专项重难点突破练(新高考专用)
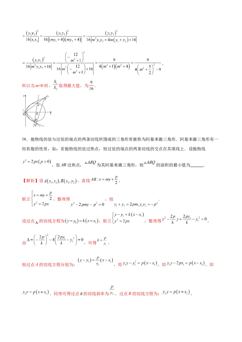
专题27圆锥曲线中的面积问题(解析版)_2.2025数学总复习_2024年新高考资料_3.2024专项复习_2024年新高考数学之圆锥曲线专项重难点突破练(新高考专用)
专题27圆锥曲线中的面积问题(解析版)_2.2025数学总复习_2024年新高考资料_3.2024专项复习_2024年新高考数学之圆锥曲线专项重难点突破练(新高考专用)
专题27圆锥曲线中的面积问题(解析版)_2.2025数学总复习_2024年新高考资料_3.2024专项复习_2024年新高考数学之圆锥曲线专项重难点突破练(新高考专用)
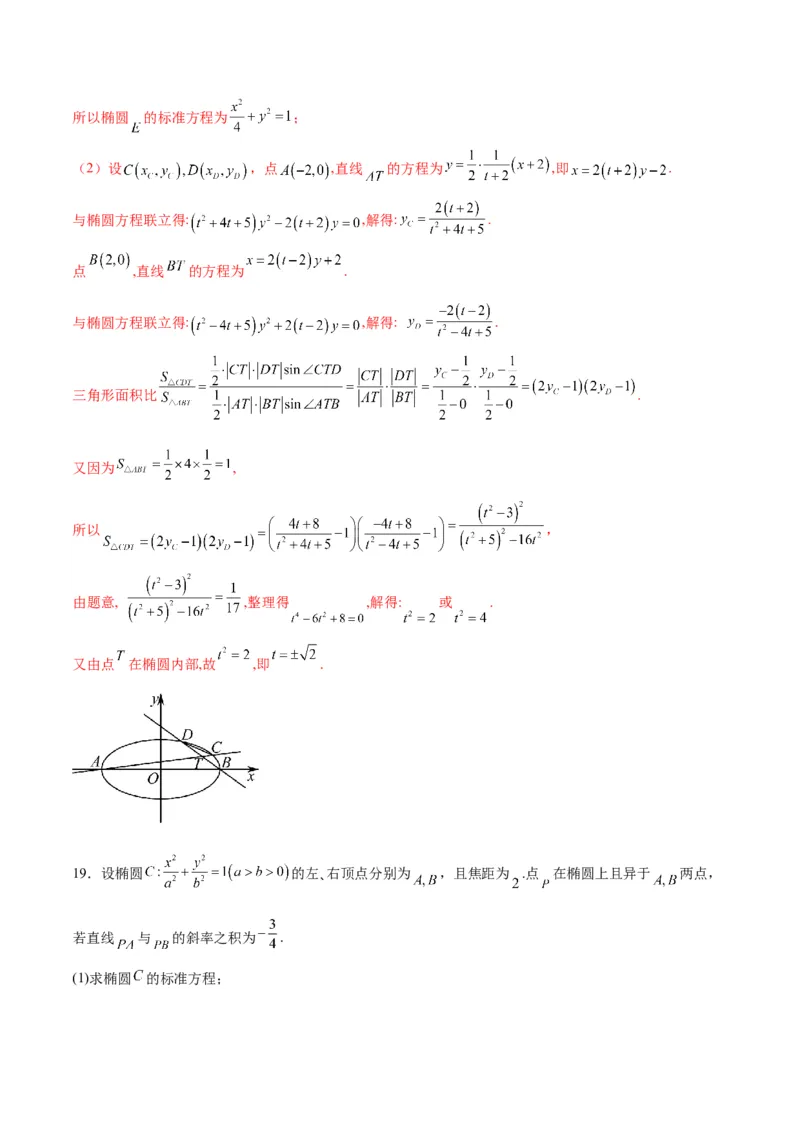
专题27圆锥曲线中的面积问题(解析版)_2.2025数学总复习_2024年新高考资料_3.2024专项复习_2024年新高考数学之圆锥曲线专项重难点突破练(新高考专用)
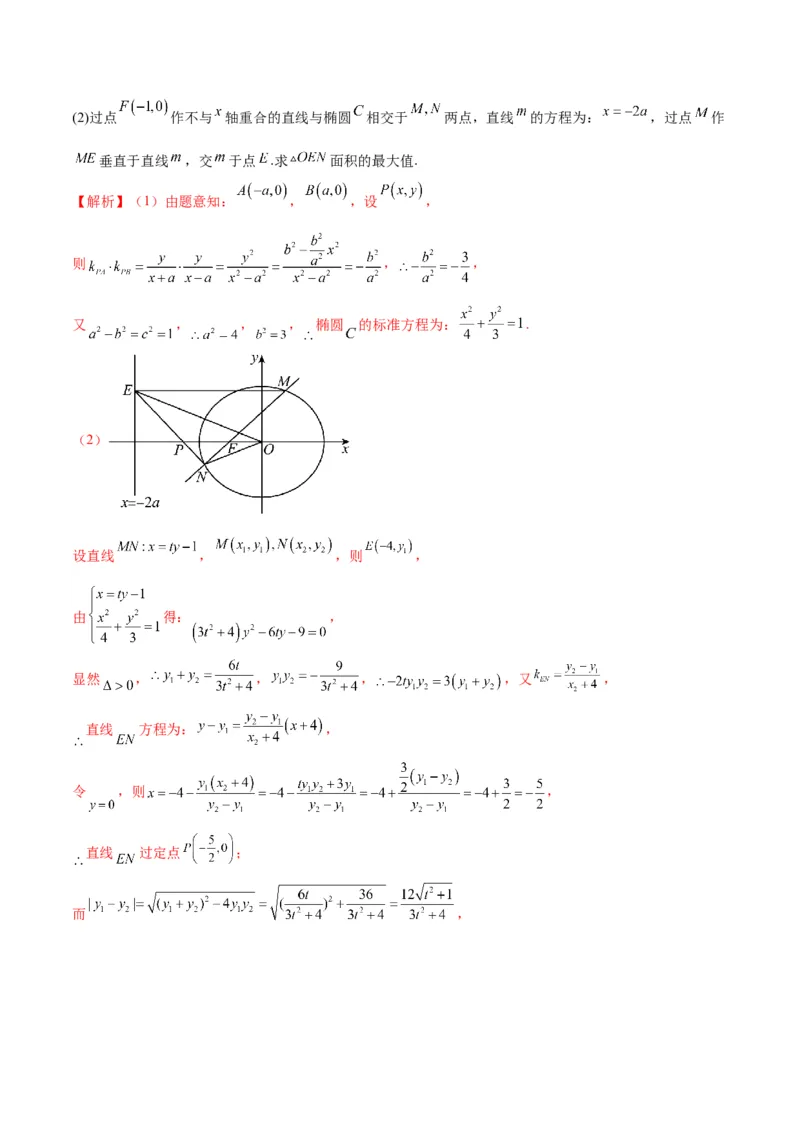
专题27圆锥曲线中的面积问题(解析版)_2.2025数学总复习_2024年新高考资料_3.2024专项复习_2024年新高考数学之圆锥曲线专项重难点突破练(新高考专用)
专题27圆锥曲线中的面积问题(解析版)_2.2025数学总复习_2024年新高考资料_3.2024专项复习_2024年新高考数学之圆锥曲线专项重难点突破练(新高考专用)
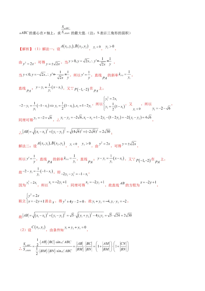
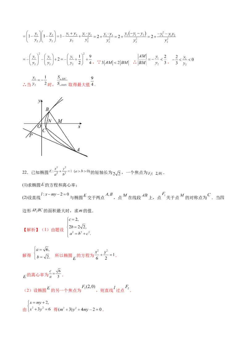
专题27圆锥曲线中的面积问题(解析版)_2.2025数学总复习_2024年新高考资料_3.2024专项复习_2024年新高考数学之圆锥曲线专项重难点突破练(新高考专用)
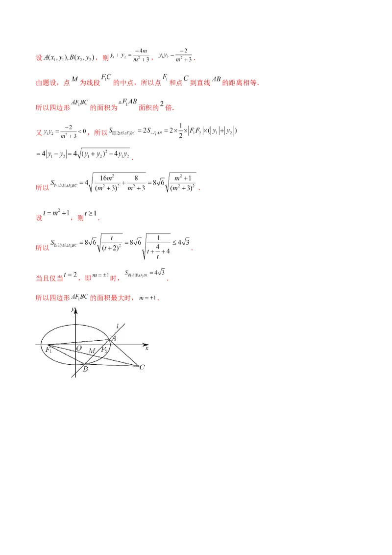
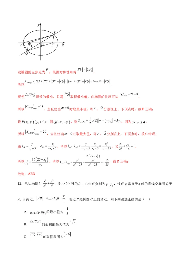
专题27圆锥曲线中的面积问题(解析版)_2.2025数学总复习_2024年新高考资料_3.2024专项复习_2024年新高考数学之圆锥曲线专项重难点突破练(新高考专用)
专题27圆锥曲线中的面积问题(解析版)_2.2025数学总复习_2024年新高考资料_3.2024专项复习_2024年新高考数学之圆锥曲线专项重难点突破练(新高考专用)
专题27圆锥曲线中的面积问题(解析版)_2.2025数学总复习_2024年新高考资料_3.2024专项复习_2024年新高考数学之圆锥曲线专项重难点突破练(新高考专用)
专题27圆锥曲线中的面积问题(解析版)_2.2025数学总复习_2024年新高考资料_3.2024专项复习_2024年新高考数学之圆锥曲线专项重难点突破练(新高考专用)
专题27圆锥曲线中的面积问题(解析版)_2.2025数学总复习_2024年新高考资料_3.2024专项复习_2024年新高考数学之圆锥曲线专项重难点突破练(新高考专用)

文档信息

文档格式
docx
文档大小
1.467 MB
文档页数
23 页
上传时间
2026-03-17 07:55:57

文档内容

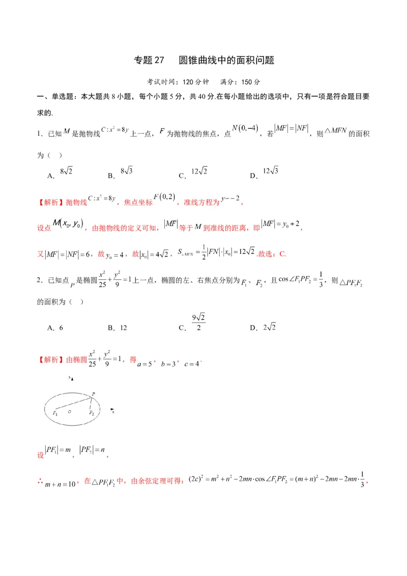
专题27 圆锥曲线中的面积问题 考试时间:120分钟 满分:150分 一、单选题:本大题共8小题,每个小题5分,共40分.在每小题给出的选项中,只有一项是符合题目要 求的. 1.已知 是抛物线 上一点, 为抛物线的焦点,点 ,若 ,则 的面积 为( ) A. B. C. D. 【解析】抛物线 ,焦点坐标 ,准线方程为 , 设点 ,由抛物线的定义可知, 等于 到准线的距离,即 , 又 ,故 ,故 , .故选:C. 2.已知点 是椭圆 上一点,椭圆的左、右焦点分别为 、 ,且 ,则 的面积为( ) A.6 B.12 C. D. 【解析】由椭圆 ,得 , , . 设 , , ∴ ,在 中,由余弦定理可得: ,可得 ,得 ,故 .故选:C. 3.已知 是抛物线 的准线, 为 的焦点, 分别为 和 上的两点, 与 轴交于点 ,且四边形 的面积为 ,则 的方程为( ) A. B. C. D. 【解析】由抛物线定义及 ,则 ,即 为直角梯形, 又 ,则 ,即△ 为等边三角形, 所以 ,在Rt△ 中, , , 故四边形 的面积为 ,可得 , 又 ,则 ,故抛物线为 .故选:D 4.已知双曲线 的左右焦点为 ,P为右支上除顶点外的任意一点,圆I为 的 内切圆,且与x轴切于A点,过 作 ,垂足为B,若 ,则 的面积为( ) A. B. C.9 D.2 【解析】由题意知: ,内切圆与 轴的切点是点 ,设 与 交于点 ,圆I与 切于 点,与 切于 点,连接 , 由 及圆的切线的性质知, , 为 的中点, 由圆的切线的性质知, ,∴ , 设内切圆I的圆心横坐标为 ,则 , ,即 , 为 的中点, 为 的中点, , , 在 中,有: , 的面积为 .故选:B. 5.已知直线l: 与x轴、y轴分别交于M,N两点,动直线 : 和 : 交于点P,则 的面积的最小值为( ) A. B. C. D. 【解析】根据题意可知,动直线 过定点 ,动直线 : ,即 过定点 , 因为 ,所以无论m取何值,都有 ,所以点P在以OB为直径的圆上,且圆心坐标为 ,半径为 , 设 ,则点P的轨迹方程为 , 圆心到直线l的距离为 ,则P到直线l的距离的最小值为 . 由题可知 , ,则 , 所以 的面积的最小值为 .故选:B 6.已知过抛物线C: 的焦点 的直线与抛物线C交于A,B两点(A在第一象限), 以AB为直径的圆E与抛物线C的准线相切于点D.若 , 为坐标原点,则 的面积为 ( ) A. B. C. D.4 【解析】依题意, ,所以抛物线 的方程为 . 依题意可知 与抛物线的准线 垂直,在直角三角形 中, , 则 ,所以直线 的方程为 , 由 消去 并化简得 ,易得 , ,则 , 原点 到直线 的距离为 ,所以 .故选:B 7.已知抛物线C: ,O为坐标原点,F为抛物线的焦点,直线OA,OB的斜率分别为 , ,且 ,直线AB与x轴的交点为P,则 的面积的最小值为( ) A. B. C. D. 【解析】不妨设直线AB的方程为 , 联立 ,消去x并整理得 , 不妨设 , , ,由韦达定理得 , , 因为A、B是抛物线C上两点,OB的斜率分别为 , ,且 , 所以 ,又 , 所以 ,解得 ,此时 ,则直线AB的方程为 , 因为直线AB与x轴的交点为P,所以 ,易知抛物线 的焦点 ,则 , 当 时, 的面积取得最小值 .故选:B. 8.已知 , 分别为双曲线 的左、右焦点,直线 过点 ,且与双曲线右支交于A, 两点, 为坐标原点, 、 的内切圆的圆心分别为 , ,则 面积的取值范围是( ) A. B. C. D. 【解析】设圆 与 , , 分别切于点 , , .由双曲线定义知, , ∴ ,∵ , , ,∴ ,又 ,∴ , ,即点 为双曲线的右顶点. ∵ 轴,∴ 的横坐标为1,同理: 横坐标也为1. ∵ 平分 , 平分 .∴ , 设 、 的内切圆半径分别为 , ,∵ 轴,∴ , ∵ ,∴ . 设直线 倾斜角为 ,又 为双曲线右支上两点, 又渐近线方程为 ,∴由题意得 ,∴ , ∴ ,又 在 单调递减,在 单调递增 当 时, ;当 时, ;当 时, ∴ .故选:B. 二、多选题:本大题共4小题,每个小题5分,共20分.在每小题给出的选项中,只有一项或者多项是符 合题目要求的. 9.已知拋物线 的焦点为 ,准线 与 轴交于点 ,过点 的直线交抛物线 于 两点,则( ) A. B. C.以线段 为直径的圆一定与直线 相切 D. 的面积的最小值为4 【解析】对于选项A,因为抛物线 的准线为 ,所以 ,则 ,故选项A错误. 对于选项 B,抛物线 ,过点 的直线方程为 ,则 整理可得 , 设 ,可得 , , 所以 ,故选项 B 正确. 对于选项C,设 的中点为 ,则点 到 轴的距离 ,所 以以线段 为直径的圆一定与直线 相切,所以选项C正确. 对于选项D , , 所以当 时, ,故选项D 正确. 故选:BCD . 10.设抛物线 的焦点为 , 为坐标原点,直线 与C交于A,B两点, 以AB为直径的圆与y轴交于D,E两点,则( ) A. B. C. 是钝角 D. 的面积小于 的面积 【解析】直线 过抛物线焦点 ,设 , , 则 , , , ,,A错误; 中点坐标为 , , , 圆方程为: ,取 得到 , ,B正确; 不妨取 , , 故 , 不共线,故 是钝角,C正确; , , ,D正确; 故选:BCD 11.已知椭圆 , 为 的右焦点, 为 的左顶点, 为直线 与 的两 个交点,则( ) A. 的取值范围是 B. 周长的最小值为 C. 的面积的最大值为 D.直线 与 的斜率之积为 【解析】对于椭圆 ,则 、 ,所以 , 所以 , ,又 , 为直线 与 的两个交点, 显然直线的斜率不为 ,且 、 不可能在 轴上, 、 两点关于原点对称, 所以 ,即 ,故A正确;设椭圆的左焦点为 ,根据对称性可得 , 所以 , 要使 周长的最小,只需 取得最小值,由椭圆的性质可知 , 所以 ,当且仅当 时取最小值,即 、 分别在上、下顶点时,故B正确; 设 ,则 ,则 ,因为 , 所以 ,当且仅当 时取最大值,即 、 分别在上、下顶点时,故C错误; 由 , ,所以 ,又 , 所以 ,所以 ,故D正确; 故选:ABD 12.已知椭圆 的左,右焦点分别为 ,过点 垂直于x轴的直线交椭圆C于 A,B两点, ,若点P是椭圆C上的动点,则下列说法正确的是( ) A. 的最小值为 B. 的面积的最大值为 C. 的取值范围为D.C上有且只有4个点P,使得 是直角三角形 【解析】由题意得 是等边三角形,所以 的周长为 ,所以 , 令 ,则 ,则 ,所以 , 所以椭圆 , 对于A,当点 位于上下顶点时, 最大, 此时 的最小为 ,故A错误; 对于B,设 ,则 , 所以 的面积的最大值为 ,故B正确; 对于C,设 ,则 ,所以 , 又 ,则 , 因为 ,所以 ,所以 ,故C正确; 对于D,由A选项可知, 最大时为锐角, 所以以点 为直角顶点的 不存在,以点 为直角顶点的 分别有2个, 所以C上有且只有4个点P,使得 是直角三角形,故D正确. 故选:BCD.三、填空题:本大题共4小题,每小题5分,共20分.把答案填在答题卡中的横线上. 13.设 , 是双曲线 : 的两个焦点, 为坐标原点,点P在 的右支上,且 ,则 的面积为 . 【解析】由 ,得 , 所以 ,可得 . 不妨设 , ,所以 ,所以点 在以 为直径的圆上, 所以 是以 为直角顶点的直角三角形.故 . 又因为点 在双曲线的右支上,所以 , 所以 ,解得 , 所以 .故答案为:8. 14.已知抛物线 的焦点为F,过点F作两条互相垂直的直线 , ,且直线 , 分别与抛物线 C交于A,B和D,E,则四边形ADBE面积的最小值是 . 【解析】由题意可得 ,直线 的斜率存在且不为0,设直线 : , , ,由于直线 , 互相垂直,则 , 联立 ,整理得 , 则 , ,从而 , 同理可得 , 四边形 的面积 ,当且仅 当 ,即 时,等号成立,即四边形ADBE面积的最小值是128, 15.已知抛物线 ,圆 ,设 为坐标原点,过圆心 的直线与圆 交于点 , 直线 分别交抛物线 于点 (点 不与点 重合).记 的面积为 , 的面积为 ,则 的最大值 . 【解析】由题意,知直线AB的斜率不为0,故设直线AB的方程为x=my+4, 如图,设 . 将直线AB的方程代入圆E的方程中,消去x,得 , 所以 ,所以 ,且 . 直线OA的方程为 ,代入抛物线方程 , 消去x,得 ,解得 或 ,所以 .同理,得 , 所以, 所以当m=0时, 取得最大值,为 . 16.抛物线的弦与过弦的端点的两条切线所围成的三角形常被称为阿基米德三角形.阿基米德三角形有一 些有趣的性质,如:若抛物线的弦过焦点,则过弦的端点的两条切线的交点在其准线上.设抛物线 ,弦AB过焦点, 为其阿基米德三角形,则 的面积的最小值为 . 【解析】设 ,直线 , 联立 ,整理得 ,则 . 设过点 的切线方程为 ,联立 ,整理得 , 由 ,可得 , 则过点A的切线方程分别为: ,即 ,即 ,即 ,同理可得过点 的切线斜率为 ,过点B的切线方程为: ,因为两条切线的交点 在准线上,所以 , 两式相减得 , , ,可得 , ,又因为直线 的斜率为 , ( 也成立),如图,设准线与 轴的交点为 , 的面积 ,当 轴时, 最短(最短为 ), 也最短(最短为 ), 此时 的面积取最小值 . 四、解答题:本大题共6小题,共70分.解答应写出必要的文字说明、证明过程或演算步骤. 17.已知椭圆 的一个焦点为 ,且过点 . (1)求椭圆 的方程; (2)直线 与椭圆 交于 两点,求 面积的最大值及此时直线 的方程. 【解析】(1)由题意得 ,解得 , 所以椭圆 的方程为 ,(2)设 ,由 ,得 , 因为直线 与椭圆 交于 两点, 所以 ,解得 , 所以 , 所以 , 因为点 到直线 的距离为 , 所以 的面积为 , 当且仅当 ,即 时取等号, 所以 面积的最大值为 ,此时直线 的方程为 . 18.椭圆 的左顶点为 ,右顶点为 ,满足 ,且椭圆 的离心率为 . (1)求椭圆 的标准方程; (2)已知点 在椭圆 的内部,直线 和直线 分别与椭圆 交于另外的点 和点 ,若 的 面积为 ,求 的值. 【解析】(1)由题意, ,得 .离心率 ,得 ,所以椭圆 的标准方程为 ; (2)设 ,点 ,直线 的方程为 ,即 . 与椭圆方程联立得: ,解得: . 点 ,直线 的方程为 . 与椭圆方程联立得: ,解得: . 三角形面积比 . 又因为 , 所以 , 由题意, ,整理得 ,解得: 或 . 又由点 在椭圆内部,故 ,即 . 19.设椭圆 的左、右顶点分别为 ,且焦距为 .点 在椭圆上且异于 两点, 若直线 与 的斜率之积为 . (1)求椭圆 的标准方程;(2)过点 作不与 轴重合的直线与椭圆 相交于 两点,直线 的方程为: ,过点 作 垂直于直线 ,交 于点 .求 面积的最大值. 【解析】(1)由题意知: , ,设 , 则 , , 又 , , , 椭圆 的标准方程为: . (2) 设直线 , ,则 , 由 得: , 显然 , , , ,又 , 直线 方程为: , 令 ,则 , 直线 过定点 ; 而 ,则 , 令 ,有 在 上单调递增, 则 ,即 时 , 取最小值4, 于是当 时, , 所以 面积的最大值是 . 20.已知 的两顶点坐标 , . (1)求动点 的轨迹 的方程; (2)不垂直于 轴的动直线 与轨迹 相交于 两点,定点 ,若直线 关于 轴对称,求 面积的取值范围. 【解析】(1)在 中,由 ,得 , 由正弦定理得 , 因此动点 的轨迹 是以 为左右焦点,长轴长 的椭圆(点 外), 显然此椭圆半焦距 ,短半轴长 , 所以动点 的轨迹 的方程为 . (2)依题意,直线 不垂直于坐标轴,设直线 的方程为 , 点 ,由 消去x并整理得: , ,化为 , , 由直线 关于 轴对称,得直线 的斜率互为相反数, 即 ,且 ,则 , 即 ,于是 , 化简得 ,即有 ,满足 ,因此直线 经过定点 , 则 面积 , 令 ,函数 在 上单调递增,于是 , 即 ,从而 , 所以 面积的取值范围是 . 21.设抛物线方程为 ,过点 的直线 分别与抛物线相切于 两点,且点 在 轴下方,点 在 轴上方. (1)当点 的坐标为 时,求 ; (2)点 在抛物线上,且在 轴下方,直线 交 轴于点 ,直线 交 轴于点 ,且 .若的重心在 轴上,求 的最大值.(注: 表示三角形的面积) 【解析】(1)解法一:设 , , , 由 ,可得 ,当 , 当 ,所以 ,直线 的斜率 , 直线 : ,又∵ 在 上, ,所以 ,又 ,所以 , 同理可得 ,∴ , ∴ ; 解法二:设 , , ,由 ,可得 , 所以 ,直线 的斜率 ,直线 : ,又∵ 在 上, 故 ,即 , 因为 ,所以 ,同理可得 ,故直线 的方程为 , 联立 消去 ,得 ,故 , 故 (2)设 ,由条件知 , ∴,∵ ∴ , ∴当 时, 取得最大值 . 22.已知椭圆 的短轴长为 ,一个焦点为 . (1)求椭圆 的方程和离心率; (2)设直线 与椭圆 交于两点 ,点 在线段 上,点 关于点 的对称点为 .当四 边形 的面积最大时,求 的值. 【解析】(1)由题设 解得 所以椭圆 的方程为 . 的离心率为 . (2)设椭圆 的另一个焦点为 ,则直线 过点 . 由 得 .设 ,则 , . 由题设,点 为线段 的中点,所以点 和点 到直线 的距离相等. 所以四边形 的面积为 面积的 倍. 又 ,所以 . 所以 . 设 ,则 . 所以 . 当且仅当 ,即 时, . 所以四边形 的面积最大时, .