当前位置:首页>文档>冲刺985、211名校之2023届新高考题型模拟训练专题16圆锥曲线综合问题多选题(新高考通用)解析版_2.2025数学总复习_2023年新高考资料_专项复习

冲刺985、211名校之2023届新高考题型模拟训练专题16圆锥曲线综合问题多选题(新高考通用)解析版_2.2025数学总复习_2023年新高考资料_专项复习

  • 2026-04-13 03:33:03 2026-03-19 08:28:39

文档预览

冲刺985、211名校之2023届新高考题型模拟训练专题16圆锥曲线综合问题多选题(新高考通用)解析版_2.2025数学总复习_2023年新高考资料_专项复习
冲刺985、211名校之2023届新高考题型模拟训练专题16圆锥曲线综合问题多选题(新高考通用)解析版_2.2025数学总复习_2023年新高考资料_专项复习
冲刺985、211名校之2023届新高考题型模拟训练专题16圆锥曲线综合问题多选题(新高考通用)解析版_2.2025数学总复习_2023年新高考资料_专项复习
冲刺985、211名校之2023届新高考题型模拟训练专题16圆锥曲线综合问题多选题(新高考通用)解析版_2.2025数学总复习_2023年新高考资料_专项复习
冲刺985、211名校之2023届新高考题型模拟训练专题16圆锥曲线综合问题多选题(新高考通用)解析版_2.2025数学总复习_2023年新高考资料_专项复习
冲刺985、211名校之2023届新高考题型模拟训练专题16圆锥曲线综合问题多选题(新高考通用)解析版_2.2025数学总复习_2023年新高考资料_专项复习
冲刺985、211名校之2023届新高考题型模拟训练专题16圆锥曲线综合问题多选题(新高考通用)解析版_2.2025数学总复习_2023年新高考资料_专项复习
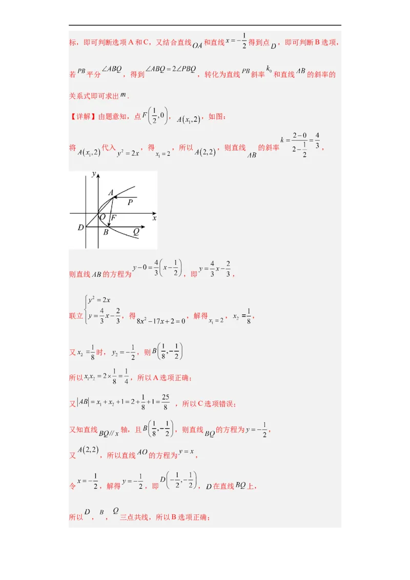
冲刺985、211名校之2023届新高考题型模拟训练专题16圆锥曲线综合问题多选题(新高考通用)解析版_2.2025数学总复习_2023年新高考资料_专项复习
冲刺985、211名校之2023届新高考题型模拟训练专题16圆锥曲线综合问题多选题(新高考通用)解析版_2.2025数学总复习_2023年新高考资料_专项复习
冲刺985、211名校之2023届新高考题型模拟训练专题16圆锥曲线综合问题多选题(新高考通用)解析版_2.2025数学总复习_2023年新高考资料_专项复习
冲刺985、211名校之2023届新高考题型模拟训练专题16圆锥曲线综合问题多选题(新高考通用)解析版_2.2025数学总复习_2023年新高考资料_专项复习
冲刺985、211名校之2023届新高考题型模拟训练专题16圆锥曲线综合问题多选题(新高考通用)解析版_2.2025数学总复习_2023年新高考资料_专项复习
冲刺985、211名校之2023届新高考题型模拟训练专题16圆锥曲线综合问题多选题(新高考通用)解析版_2.2025数学总复习_2023年新高考资料_专项复习
冲刺985、211名校之2023届新高考题型模拟训练专题16圆锥曲线综合问题多选题(新高考通用)解析版_2.2025数学总复习_2023年新高考资料_专项复习
冲刺985、211名校之2023届新高考题型模拟训练专题16圆锥曲线综合问题多选题(新高考通用)解析版_2.2025数学总复习_2023年新高考资料_专项复习
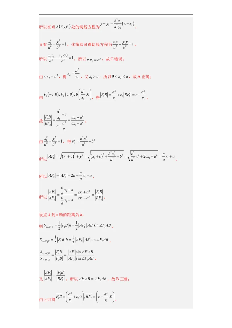
冲刺985、211名校之2023届新高考题型模拟训练专题16圆锥曲线综合问题多选题(新高考通用)解析版_2.2025数学总复习_2023年新高考资料_专项复习
冲刺985、211名校之2023届新高考题型模拟训练专题16圆锥曲线综合问题多选题(新高考通用)解析版_2.2025数学总复习_2023年新高考资料_专项复习
冲刺985、211名校之2023届新高考题型模拟训练专题16圆锥曲线综合问题多选题(新高考通用)解析版_2.2025数学总复习_2023年新高考资料_专项复习
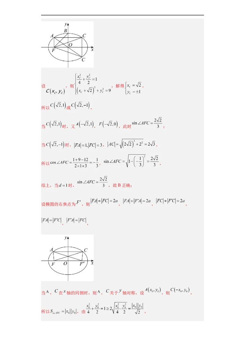
冲刺985、211名校之2023届新高考题型模拟训练专题16圆锥曲线综合问题多选题(新高考通用)解析版_2.2025数学总复习_2023年新高考资料_专项复习
冲刺985、211名校之2023届新高考题型模拟训练专题16圆锥曲线综合问题多选题(新高考通用)解析版_2.2025数学总复习_2023年新高考资料_专项复习
冲刺985、211名校之2023届新高考题型模拟训练专题16圆锥曲线综合问题多选题(新高考通用)解析版_2.2025数学总复习_2023年新高考资料_专项复习
冲刺985、211名校之2023届新高考题型模拟训练专题16圆锥曲线综合问题多选题(新高考通用)解析版_2.2025数学总复习_2023年新高考资料_专项复习
冲刺985、211名校之2023届新高考题型模拟训练专题16圆锥曲线综合问题多选题(新高考通用)解析版_2.2025数学总复习_2023年新高考资料_专项复习
冲刺985、211名校之2023届新高考题型模拟训练专题16圆锥曲线综合问题多选题(新高考通用)解析版_2.2025数学总复习_2023年新高考资料_专项复习
冲刺985、211名校之2023届新高考题型模拟训练专题16圆锥曲线综合问题多选题(新高考通用)解析版_2.2025数学总复习_2023年新高考资料_专项复习
冲刺985、211名校之2023届新高考题型模拟训练专题16圆锥曲线综合问题多选题(新高考通用)解析版_2.2025数学总复习_2023年新高考资料_专项复习
冲刺985、211名校之2023届新高考题型模拟训练专题16圆锥曲线综合问题多选题(新高考通用)解析版_2.2025数学总复习_2023年新高考资料_专项复习
冲刺985、211名校之2023届新高考题型模拟训练专题16圆锥曲线综合问题多选题(新高考通用)解析版_2.2025数学总复习_2023年新高考资料_专项复习
冲刺985、211名校之2023届新高考题型模拟训练专题16圆锥曲线综合问题多选题(新高考通用)解析版_2.2025数学总复习_2023年新高考资料_专项复习
冲刺985、211名校之2023届新高考题型模拟训练专题16圆锥曲线综合问题多选题(新高考通用)解析版_2.2025数学总复习_2023年新高考资料_专项复习
冲刺985、211名校之2023届新高考题型模拟训练专题16圆锥曲线综合问题多选题(新高考通用)解析版_2.2025数学总复习_2023年新高考资料_专项复习
冲刺985、211名校之2023届新高考题型模拟训练专题16圆锥曲线综合问题多选题(新高考通用)解析版_2.2025数学总复习_2023年新高考资料_专项复习
冲刺985、211名校之2023届新高考题型模拟训练专题16圆锥曲线综合问题多选题(新高考通用)解析版_2.2025数学总复习_2023年新高考资料_专项复习
冲刺985、211名校之2023届新高考题型模拟训练专题16圆锥曲线综合问题多选题(新高考通用)解析版_2.2025数学总复习_2023年新高考资料_专项复习
冲刺985、211名校之2023届新高考题型模拟训练专题16圆锥曲线综合问题多选题(新高考通用)解析版_2.2025数学总复习_2023年新高考资料_专项复习
冲刺985、211名校之2023届新高考题型模拟训练专题16圆锥曲线综合问题多选题(新高考通用)解析版_2.2025数学总复习_2023年新高考资料_专项复习
冲刺985、211名校之2023届新高考题型模拟训练专题16圆锥曲线综合问题多选题(新高考通用)解析版_2.2025数学总复习_2023年新高考资料_专项复习
冲刺985、211名校之2023届新高考题型模拟训练专题16圆锥曲线综合问题多选题(新高考通用)解析版_2.2025数学总复习_2023年新高考资料_专项复习
冲刺985、211名校之2023届新高考题型模拟训练专题16圆锥曲线综合问题多选题(新高考通用)解析版_2.2025数学总复习_2023年新高考资料_专项复习
冲刺985、211名校之2023届新高考题型模拟训练专题16圆锥曲线综合问题多选题(新高考通用)解析版_2.2025数学总复习_2023年新高考资料_专项复习
冲刺985、211名校之2023届新高考题型模拟训练专题16圆锥曲线综合问题多选题(新高考通用)解析版_2.2025数学总复习_2023年新高考资料_专项复习
冲刺985、211名校之2023届新高考题型模拟训练专题16圆锥曲线综合问题多选题(新高考通用)解析版_2.2025数学总复习_2023年新高考资料_专项复习
冲刺985、211名校之2023届新高考题型模拟训练专题16圆锥曲线综合问题多选题(新高考通用)解析版_2.2025数学总复习_2023年新高考资料_专项复习
冲刺985、211名校之2023届新高考题型模拟训练专题16圆锥曲线综合问题多选题(新高考通用)解析版_2.2025数学总复习_2023年新高考资料_专项复习
冲刺985、211名校之2023届新高考题型模拟训练专题16圆锥曲线综合问题多选题(新高考通用)解析版_2.2025数学总复习_2023年新高考资料_专项复习
冲刺985、211名校之2023届新高考题型模拟训练专题16圆锥曲线综合问题多选题(新高考通用)解析版_2.2025数学总复习_2023年新高考资料_专项复习
冲刺985、211名校之2023届新高考题型模拟训练专题16圆锥曲线综合问题多选题(新高考通用)解析版_2.2025数学总复习_2023年新高考资料_专项复习
冲刺985、211名校之2023届新高考题型模拟训练专题16圆锥曲线综合问题多选题(新高考通用)解析版_2.2025数学总复习_2023年新高考资料_专项复习
冲刺985、211名校之2023届新高考题型模拟训练专题16圆锥曲线综合问题多选题(新高考通用)解析版_2.2025数学总复习_2023年新高考资料_专项复习
冲刺985、211名校之2023届新高考题型模拟训练专题16圆锥曲线综合问题多选题(新高考通用)解析版_2.2025数学总复习_2023年新高考资料_专项复习
冲刺985、211名校之2023届新高考题型模拟训练专题16圆锥曲线综合问题多选题(新高考通用)解析版_2.2025数学总复习_2023年新高考资料_专项复习
冲刺985、211名校之2023届新高考题型模拟训练专题16圆锥曲线综合问题多选题(新高考通用)解析版_2.2025数学总复习_2023年新高考资料_专项复习
冲刺985、211名校之2023届新高考题型模拟训练专题16圆锥曲线综合问题多选题(新高考通用)解析版_2.2025数学总复习_2023年新高考资料_专项复习
冲刺985、211名校之2023届新高考题型模拟训练专题16圆锥曲线综合问题多选题(新高考通用)解析版_2.2025数学总复习_2023年新高考资料_专项复习
冲刺985、211名校之2023届新高考题型模拟训练专题16圆锥曲线综合问题多选题(新高考通用)解析版_2.2025数学总复习_2023年新高考资料_专项复习
冲刺985、211名校之2023届新高考题型模拟训练专题16圆锥曲线综合问题多选题(新高考通用)解析版_2.2025数学总复习_2023年新高考资料_专项复习
冲刺985、211名校之2023届新高考题型模拟训练专题16圆锥曲线综合问题多选题(新高考通用)解析版_2.2025数学总复习_2023年新高考资料_专项复习
冲刺985、211名校之2023届新高考题型模拟训练专题16圆锥曲线综合问题多选题(新高考通用)解析版_2.2025数学总复习_2023年新高考资料_专项复习
冲刺985、211名校之2023届新高考题型模拟训练专题16圆锥曲线综合问题多选题(新高考通用)解析版_2.2025数学总复习_2023年新高考资料_专项复习

文档信息

文档格式
docx
文档大小
3.432 MB
文档页数
59 页
上传时间
2026-03-19 08:28:39

文档内容

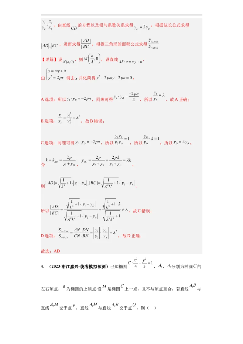
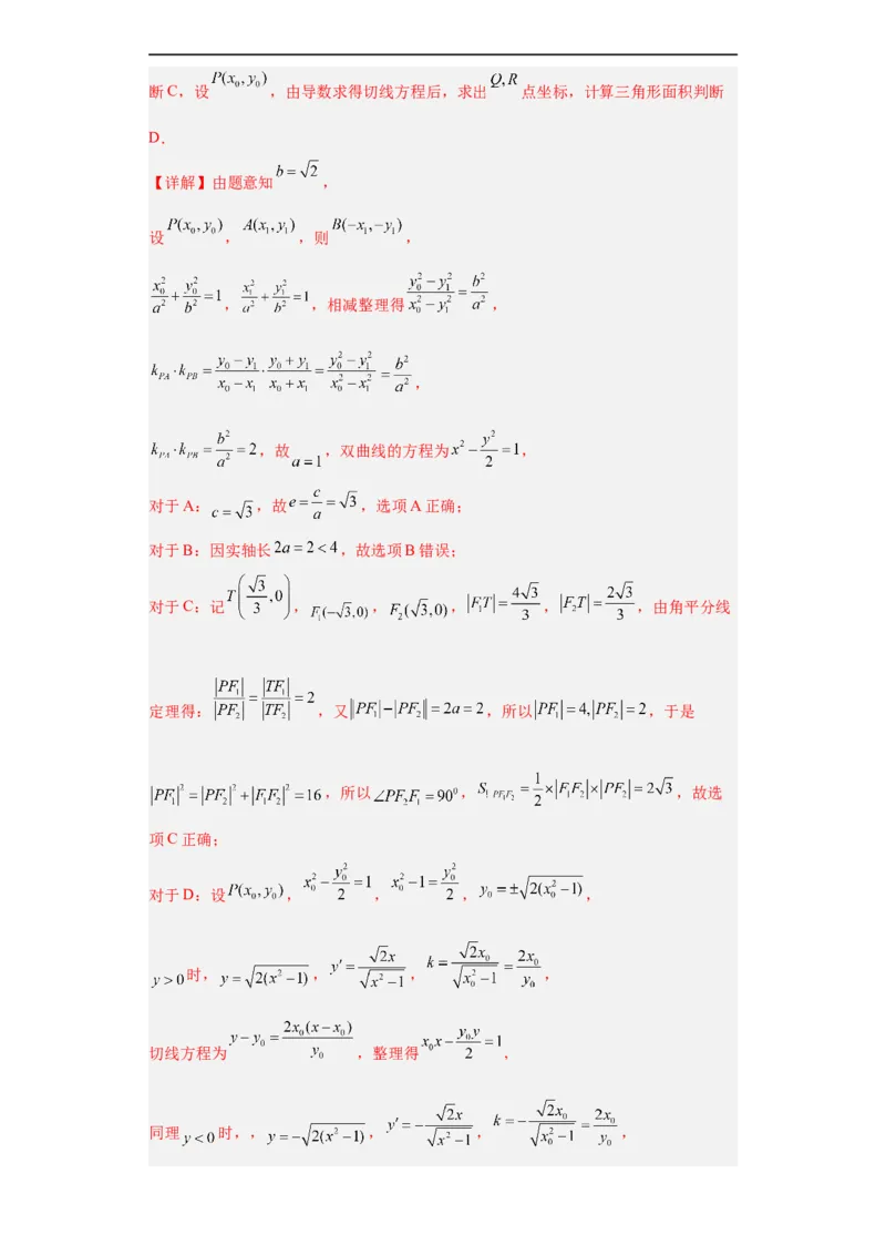
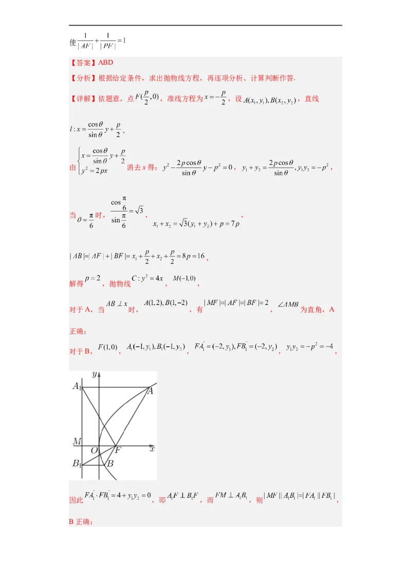
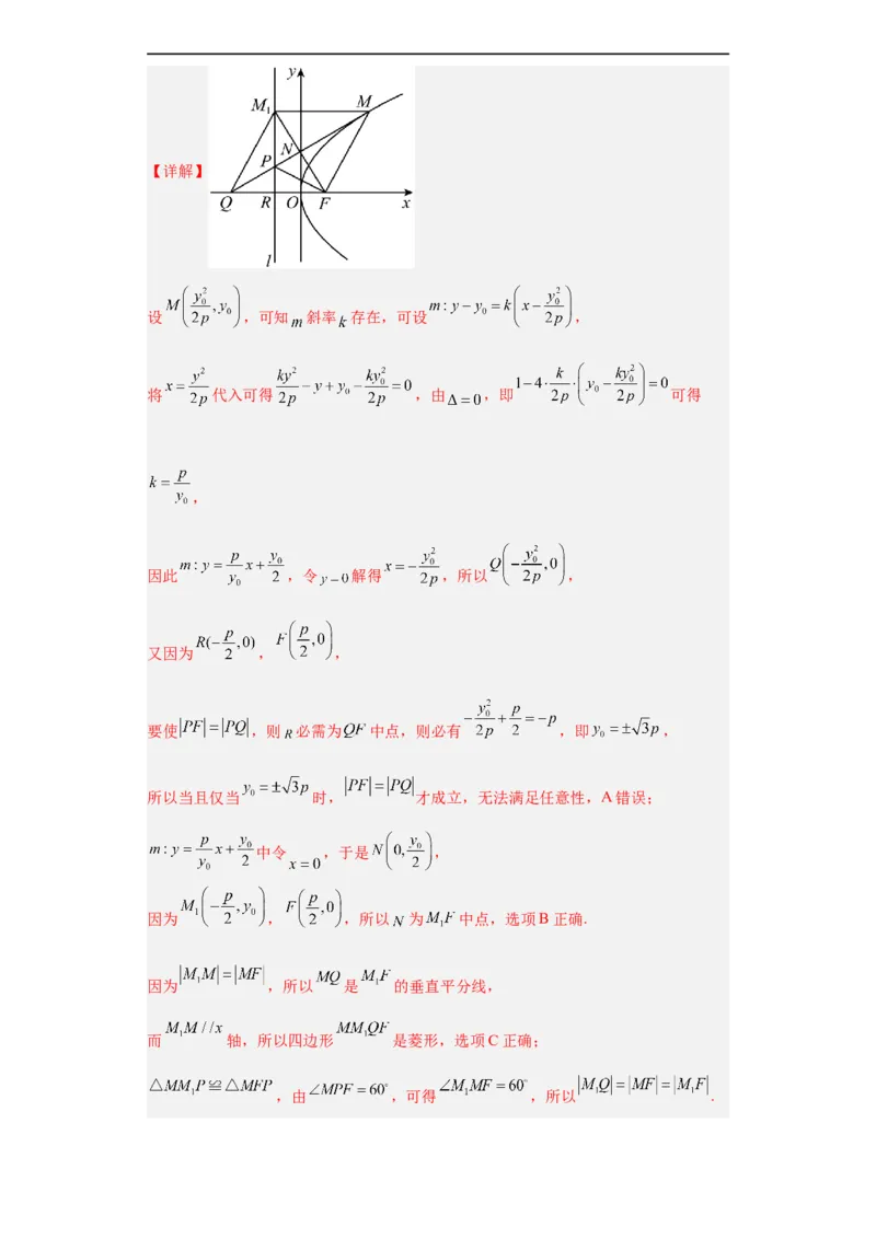
【冲刺985/211名校之2023届新高考题型模拟训练】 专题16 圆锥曲线综合问题 多选题(新高考通用) 1.(2023·广东·校联考模拟预测)已知双曲线 : ( , ), 的 左、右焦点分别为 , , 为 上一点,则以下结论中,正确的是( ) A.若 ,且 轴,则 的方程为 B.若 的一条渐近线方程是 ,则 的离心率为 C.若点 在 的右支上, 的离心率为 ,则等腰 的面积为 D.若 ,则 的离心率 的取值范围是 【答案】AD 【分析】由双曲线上一点 ,及 轴,可得 的值,即可求得双曲线 方程,从而判断A;根据双曲线渐近线方程与离心率的关系即可判断B;根据双曲线 的离心率与焦点三角形的几何性质即可求得等腰 的面积,从而判断C;由已知 结合正弦定理与双曲线的定义、焦半径的取值范围即可求得双曲线离心率的范围,从 而判断D. 【详解】对于A,若 ,且 轴,则 , , 所以 ,则 ,所以 , 则 的方程为 ,故A正确; 对于B,若 的一条渐近线方程是 ,则 ,离心率 ,故B不正确;对于C,若 的离心率为 ,则 ,所以 ,若点 在 的右支 上, 为等腰三角形,则 ,连接 ,如图, 则 是直角三角形,所以 ,故C不正确; 对于D,若 ,由正弦定理得 ,可知点 在双曲线 的左支上,故 , 则 ,又 ,所以 ,整理得 ,解得 , 所以 的离心率 的取值范围是 ,故D正确. 故选:AD. 2.(2023·浙江·模拟预测)已知抛物线 的焦点为F,准线与x轴的 交点为M,过点F的直线l与抛物线C相交于A,B两点(点A在第一象限),过A, B点作准线的垂线,垂足分别为 .设直线l的倾斜角为 ,当 时, . 则下列说法正确的是( ) A. 有可能为直角 B. C.Q为抛物线C上一个动点, 为定点, 的最小值为 D.过F点作倾斜角的角平分线FP交抛物线C于P点(点P在第一象限),则存在 ,使 【答案】ABD 【分析】根据给定条件,求出抛物线方程,再逐项分析、计算判断作答. 【详解】依题意,点 ,准线方程为 ,设 ,直线 , 由 消去x得: , , 当 时, , , , 解得 ,抛物线 , , 对于A,当 时, ,有 , 为直角,A 正确; 对于B, , , , , 因此 ,即 ,而 ,则 , B正确;对于C,显然点E在抛物线C内, ,当且仅当点Q是直线EF 与抛物线C的交点时取等号,C错误; 对于D,由 , ,得 , ,同理 , , 令 ,而 ,解得 ,则 ,D正确. 故选:ABD 3.(2023秋·浙江·高三期末)如图,已知抛物线 ,M为x轴正半轴 上一点, ,过M的直线交 于B,C两点,直线 交抛物线 另一点于D,直线 交抛物线另一点于A,且点 在第一象限,则 ( ) A. B. C. D. 【答案】AD 【分析】设 ,得 ,由直线 的方程以及根与系数关系求得,由直线 的方程以及根与系数关系求得 ,根据弦长公式求得 ,进而求得 ,根据三角形的面积公式求得 【详解】设 ,则 ,设直线 , 由 消去 并化简得 , A选项:所以 ,同理可得 ,所以 ,故A正确; B选项: ,故B错误; C选项:同理可得 ,所以 ,所以 ,所以 , 令 , , 则 , 所以 ,故C错误; D选项: ,故D正确. 故选:AD 4.(2023·浙江嘉兴·统考模拟预测)已知椭圆 , , 分别为椭圆 的 左右顶点, 为椭圆的上顶点.设 是椭圆 上一点,且不与顶点重合,若直线 与 直线 交于点 ,直线 与直线 交于点 ,则( )A.若直线 与 的斜率分别为 , ,则 B.直线 与 轴垂直 C. D. 【答案】ABC 【分析】设 ,由斜率公式及点在椭圆上可得 判断A,联立直线的方程求 出 、 坐标,由条件可得 即可判断B,求出 中点在 上,即可判断 CD. 【详解】如图, 设 ,则 ,故A正确; 直线 的方程为 ,直线 的方程为 ,联立 得 ,即 , 同理可得 ,因为 ,所以,所以 ,则直线 与 轴垂直,故B正确; 同理 ,所以 ,故 的中点在直线 上, 故C正确;D错误, 故选:ABC. 5.(2023春·重庆沙坪坝·高三重庆八中校考阶段练习)已知双曲线 ( )的左、右焦点分别为 ,直线 交双曲线 于 两点,点 为 上一动点记直线 的斜率分别为 , 若 ,且 到 的渐近线 的距离为 ,则下列说法正确的是( ) A.双曲线 的离心率为 B.过右焦点的直线与双曲线 相交 两点,线段 长度的最小值为4 C.若 的角平分线与 轴交点为 ,则 D.若双曲线 在 处的切线与两渐近线交于 两点,则 【答案】ACD 【分析】首先由已知条件求得双曲线方程为 ,求出离心率判断A,由双曲线 的性质求得 最小值判断B,利用角平分线定理求得 ,计算三角形面积判断C,设 ,由导数求得切线方程后,求出 点坐标,计算三角形面积判断 D. 【详解】由题意知 , 设 , ,则 , , ,相减整理得 , , ,故 ,双曲线的方程为 , 对于A: ,故 ,选项A正确; 对于B:因实轴长 ,故选项B错误; 对于C:记 , , , , ,由角平分线 定理得: ,又 ,所以 ,于是 ,所以 , ,故选 项C正确; 对于D:设 , , , , 时, , , , 切线方程为 ,整理得 , 同理 时,, , , ,切线方程为 ,整理得 , 时, 或 ,切线方程为 或 ,切线方程也可表示为 , 所以过 的切线方程为 ,与渐近线 联立解得 , 故 ;与渐近线 联立,解得 , 于是 ,故选项D 正确, 故选:ACD 6.(2023·重庆沙坪坝·高三重庆八中校考阶段练习)加斯帕尔·蒙日(如图甲)是 18~19世纪法国著名的几何学家,他在研究圆锥曲线时发现:椭圆的任意两条互相垂 直的切线的交点都在同一个圆上,其圆心是椭圆的中心,这个圆被称为“蒙日圆” (图乙).已知长方形R的四边均与椭圆 相切,则下列说法正确的是 ( )A.椭圆C的离心率为 B.椭圆C的蒙日圆方程为 C.椭圆C的蒙日圆方程为 D.长方形R的面积最大值为18 【答案】CD 【分析】由 结合离心率公式判断A;当长方体R的对称轴恰好就是的 对称轴椭圆C时,求出蒙日圆的半径,进而判断BC;设长方体R的长为 ,宽为 , 由基本不等式判断D. 【详解】由题意可知 ,则椭圆C的离心率为 ,故A错误; 当长方体R的对称轴恰好就是椭圆C的对称轴时,其长为 宽为 , 所以椭圆C的蒙日圆的半径为 ,即椭圆C的蒙日圆方程为 ,故C正确,B错误; 设长方体R的长为 ,宽为 ,则 ,长方形R的面积为 , 当且仅当 时,取等号,即长方形R的面积最大值为18,故D正确; 故选:CD 7.(2023·辽宁·校联考模拟预测)已知F是抛物线 的焦点,点 在抛物线W上,过点F的两条互相垂直的直线 , 分别与抛物线W交于B,C 和D,E,过点A分别作 , 的垂线,垂足分别为M,N,则( ) A.四边形 面积的最大值为2 B.四边形 周长的最大值为 C. 为定值 D.四边形 面积的最小值为32【答案】ACD 【分析】根据给定条件,求出抛物线 的方程,确定四边形 形状,利用勾股定 理及均值不等式计算判断A,B;设出直线 的方程,与抛物线方程联立,求出弦 长即可计算推理判断C,D作答. 【详解】因为点 在抛物线 上, 所以 ,故 , , 抛物线 的焦点 的坐标为 , 因为 , , 所以 ,当且仅当 时,等号成立, 所以四边形 面积的最大值为2,故A正确. 由 , 得 ,即 , 当且仅当 时,等号成立, 所以四边形 周长的最大值为 ,故B不正确. 设直线 的方程为 ,联立 消x得 , 方程 的判别式 , 设 , ,则 , 则 , 同理得 , ,C正确.,所以 , 当且仅当 时,等号成立, 此时 ,故D正确. 故选:ACD. 8.(2023·辽宁·校联考一模)抛物线 的焦点为 ,准线为 ,经过 上的点 作 的切线m,m与y轴、l、x轴分别相交于点N、P、Q,过M作l垂线, 垂足为 ,则( ) A. B. 为 中点 C.四边形 是菱形 D.若 ,则 【答案】BCD 【分析】设 与 轴交点为 ,则 未必是 的中点,即可判断A,利用韦达定理表 示出 的坐标可判断B,根据菱形的判定定理可判断C,利用三角形的全等关系可 判断D.【详解】 设 ,可知 斜率 存在,可设 , 将 代入可得 ,由 ,即 可得 , 因此 ,令 解得 ,所以 , 又因为 , , 要使 ,则 必需为 中点,则必有 ,即 , 所以当且仅当 时, 才成立,无法满足任意性,A错误; 中令 ,于是 , 因为 , ,所以 为 中点,选项B正确. 因为 ,所以 是 的垂直平分线, 而 轴,所以四边形 是菱形,选项C正确; ,由 ,可得 ,所以 .因为 ,所以 ,选项D正确. 故选:BCD. 9.(2023·河北邯郸·统考一模)已知双曲线C: 的左、右焦点 分别是 , ,过 作圆 的切线l,切点为M,且直线l与双曲线C的左、 右两支分别交于A,B两点,则下列结论正确的是( ) A.若 , ,则 B.若 ,则双曲线C的渐近线方程为 C.若 ,则双曲线C的离心率是 D.若M是 的中点,则双曲线C的离心率是 【答案】ABD 【分析】 , , ,根据选项中的条件,求出 和 ,利用 双曲线的定义,求出渐近线方程和离心率等结果. 【详解】如图所示, 对于A:由 , ,得 ,所以 , , . 设 ,则 . 在 中,由余弦定理可得 ,解得 , 则 , ,从而 ,故A正确; 对于B:由 ,得 ,因为O为 的中点,所以M为 的中点.由题意可知 , ,则 , . 由双曲线的定义可得 ,即 , 则双曲线C的渐近线方程为 ,故B正确; 对于C:由 ,得 ,则 . 在 中,由余弦定理可得 , 整理得 ,则 ,故C错误; 对于D:因为M,O分别是 , 的中点,所以 ,所以 , . 由双曲线的定义可得 ,即 ,则 ,故 D正确. 故选:ABD 10.(2023·山东潍坊·统考一模)双曲线的光学性质:从双曲线的一个焦点发出的光线, 经双曲线反射后,反射光线的反向延长线经过双曲线的另一个焦点.由此可得,过双曲 线上任意一点的切线.平分该点与两焦点连线的夹角.已知 分别为双曲线 的左,右焦点,过 右支上一点 作直线 交 轴于点 ,交 轴于点 .则( ) A. 的渐近线方程为 B.点 的坐标为 C.过点 作 ,垂足为 ,则 D.四边形 面积的最小值为4 【答案】ACD 【分析】根据方程,可直接求出渐近线方程,即可判断A项;由已知可得 ,进而结合双曲线方程,即可得出点 的坐标,即可判断B项;根 据双曲线的光学性质可推得,点 为 的中点.进而得出 ,结合双曲线 的定义,即可判断C项;由 ,代入利用基本不等式即可求出面 积的最小值,判断D项. 【详解】对于A项,由已知可得 , ,所以 的渐近线方程为 ,故A项正确; 对于B项,设 ,则 ,整理可得 . 又 ,所以 ,所以有 ,解得 ,所 以点 的坐标为 ,故B项错误; 对于C项,如上图,显然 为双曲线的切线. 由双曲线的光学性质可知, 平分 ,延长 与 的延长线交于点 . 则 垂直平分 ,即点 为 的中点.又 是 的中点,所以, , 故C项正确; 对于D项, , 当且仅当 ,即 时,等号成立. 所以,四边形 面积的最小值为4,故D项正确. 故选:ACD. 【点睛】思路点睛:C项中,结合已知中,给出的双曲线的光学性质,即可推出 . 11.(2023·山东临沂·统考一模)抛物线有如下光学性质:由其焦点射出的光线经抛物 线反射后,沿平行于抛物线对称轴的方向射出.反之,平行于抛物线对称轴的入射光 线经抛物线反射后必过抛物线的焦点.已知抛物线 , 为坐标原点,一束 平行于 轴的光线 从点 射入,经过 上的点 反射后,再经过 上另 一点 反射后,沿直线 射出,经过点 ,则() A. B.延长 交直线 于点 ,则 , , 三点共线 C. D.若 平分 ,则 【答案】AB 【分析】根据题设和抛物线和性质得到点 , ,将点 代入抛物 线 的方程得到 ,从而求出直线 的方程,联立直线 和抛物线 得到点 的坐标,即可判断选项A和C,又结合直线 和直线 得到点 ,即可判断B选项, 若 平分 ,得到 ,转化为直线 斜率 和直线 的斜率的 关系式即可求出 . 【详解】由题意知,点 , ,如图: 将 代入 ,得 ,所以 ,则直线 的斜率 , 则直线 的方程为 ,即 , 联立 ,得 ,解得 , , 又 时, ,则 所以 ,所以A选项正确; 又 ,所以C选项错误; 又知直线 轴,且 ,则直线 的方程为 , 又 ,所以直线 的方程为 , 令 ,解得 ,即 , 在直线 上, 所以 , , 三点共线,所以B选项正确;设直线 的倾斜角为 ( ),斜率为 ,直线 的倾斜角为 , 若 平分 ,即 ,即 , 所以 ,则 ,且 ,解得 , 又 ,解得: ,所以D选项错误; 故选:AB. 12.(2023秋·湖北武汉·高三统考期末)已知点 是曲线 : 上的动点, 点 是直线 上的动点.点 是坐标原点,则下列说法正确的有( ) A.原点在曲线 上 B.曲线 围成的图形的面积为 C.过 至多可以作出4条直线与曲线相切 D.满足 到直线 的距离为 的点有3个 【答案】ACD 【分析】分类讨论后,根据对称性画出函数图像,从而可以进一步求解. 【详解】对于A:将原点坐标 代入, 正确,故A选项正确; 对于B:当 时, 曲线 : , 即 , 即 , 第一象限内曲线 与坐标轴围成的图形的面积为 , 所以总面积为: .故选项B错误; 由函数图像知过 至多可以作出4条直线与曲线相切,故选项C正确; 原点到直线 的距离为: 满足 到直线 的距 离为 的点有 共3个,故选项D正确. 故选:ACD. 13.(2023春·湖北·高三校联考阶段练习)过椭圆 外一点 作椭 圆 的两条切线,切点分别为 ,若直线 的斜率之积为 ( 为常数),则 点 的轨迹可能是( ) A.两条直线 B.圆的一部分 C.椭圆的一部分 D.双曲线的一部分【答案】BCD 【分析】设出切线方程且斜率为 ,联立椭圆化简使判别式等于零得到关于 等式,根 据判别式及二次方程和韦达定理可得 的范围及 ,根据 的不同取值分别判断 关于 方程所对应的轨迹即可. 【详解】解:依题意可知直线 和直线 的斜率存在, 设过 的椭圆的切线方程为 , 联立 化简可得: , 取 , 即 , 且有 ,且上式两根分别为 , 则上式的判别式 , 整理得 ,符合题意,所以 , ①若 ,则 , 即 点的轨迹是直线(两条)的一部分; ②若 ,则 ,即 点的轨迹是直线(两条)的一部分; 若 且 ,整理可得 , ③当 时, 12,轨迹方程可化为 ,即 点的轨迹是圆的一部分; ④当 或 时, ,且 , 由于 ,且 ,所以 点的轨迹是椭圆的一部分; ⑤当 时, , 表示焦点在 轴上的双曲 线, 由于 ,所以 点的轨迹是双曲线的一部分. 故选:BCD 【点睛】思路点睛:该题考查直线与圆锥曲线的综合问题,属于难题,关于求轨迹方 程的思路有: (1)已知轨迹,建立合适的轨迹方程,用待定系数求解; (2)未知轨迹,求哪点轨迹设哪点坐标为 ,根据题意建立关于 的等式即可; (3)轨迹不好判断,等式关系不好找时,找要求的轨迹点与题中的定点或定直线之间的 定量关系,根据转化找出轨迹特点,建立轨迹方程,用待定系数求解. 14.(2023·湖南·模拟预测)已知O为坐标原点, , 分别是双曲线E: 的左、右焦点,P是双曲线E的右支上一点,若 , 双曲线E的离心率为 ,则下列结论正确的是( ) A.双曲线E的标准方程为 B.双曲线E的渐近线方程为 C.点P到两条渐近线的距离之积为 D.若直线 与双曲线E的另一支交于点M,点N为PM的中点,则 【答案】ACD 【分析】根据双曲线定义及离心率求出 得到双曲线的标准方程,即可求出渐近线方程判断AB,再由点到渐近线的距离判断C,点差法可判断D. 【详解】根据双曲线的定义得, ,故 ,由 ,得 , 所以 ,所以双曲线E的标准方程为 ,渐近线方程为 , 即 ,所以A正确,B不正确; 设 ,则点P到两条渐近线的距离之积为 ,所以C 正确; 设 , ,因为P,M在双曲线E上,所 ①, ②, ①-②并整理得, ,即 ,所以 ,所以D正 确. 故选:ACD. 15.(2023·湖南张家界·统考二模)过抛物线 的焦点F的直线 交抛 物线E于A,B两点(点A在第一象限),M为线段AB的中点.若 ,则 下列说法正确的是( ) A.抛物线E的准线方程为 B.过A,B两点作抛物线的切线,两切线交于点N,则点N在以AB为直径的圆上 C.若 为坐标原点,则 D.若过点 且与直线 垂直的直线 交抛物线于C,D两点,则 【答案】BC 【分析】对于A项,方法一:运用韦达定理 及抛物线定义表示 、 代入解 方程即可;方法二:运用 求解即可;对于B项,运用导数几何意义分别求得 、 ,将 的值代入 计算即可;对于C项,运用韦达定理及抛物 线弦长公式求得 、 及 的值,进而求出点M坐标,运用两点间距离公式 求得 即可;对于D项,方法一:将 中的斜率k换成 可求 得 ,进而求得 的值;方法二:运用抛物线焦点弦长公式可得 ,进而求得 的值. 【详解】对于A项,方法一:由题意可设过点 的直线l的方程为 , ,设 , , 联立方程组 消去x整理得 ,可得 . 因为 ,所以 则 ,解得 ,所 以抛物线 ,故抛物线E的准线方程为 ,故A项错误; 方法二:∵ ,∴ , , 又∵ ,∴ ,解得: , 所以抛物线E: ,故抛物线E的准线方程为 ,故A项错误; 对于B项,设 , ,抛物线 , , , 易得 , ,所以 , 所以直线NA,NB垂直,所以点N在以AB为直径的圆上,故B项正确; 对于C项,由A项知,抛物线E: ,则直线l的方程为 , ,设, , , 所以 , , 又因为 ,所以 , , , 所以 ,解得: , 所以 ,所以 , 所以 , ,即: , 所以 ,故C项正确; 对于D项,方法一:由C项知, , , 又因为直线l垂直于直线m , 所以 , 所以 .故D项错误. 方法二:由题意知 .设直线 的倾斜角为 ,由 , , 易得直线 的方程为 , , , 根据焦点弦长公式可得 , 所以 .故D项错误. 故选:BC.16.(2023春·湖南·高三校联考阶段练习)设双曲线 的右焦 点为 ,若直线 与 的右支交于 两点,且 为 的重心,则 ( ) A. 的离心率的取值范围为 B. 的离心率的取值范围为 C.直线 斜率的取值范围为 D.直线 斜率的取值范围为 【答案】AC 【分析】根据重心性质得出 中点 的坐标,根据直线 与 的右支交于 两点可 知点 在右支内部,将 的坐标代入双曲线中建立不等式,即可得离心率的范围,根 据点差法可得直线 的斜率与 之间等式关系,由 不共线建立不等式,解 出离心率具体范围,根据离心率的范围及直线 的斜率与 之间等式关系,即可得 斜率的取值范围,解出即可. 【详解】解:设 为 的中点,根据重心性质可得 , 因为 ,则 , 因为直线 与 的右支交于 两点,所以点 在双曲线右支内部, 故有 ,解得 , 当直线 斜率不存在时, 的中点 在 轴上, 故 三点不共线,不符合题意舍, 设直线 斜率为 ,设 ,所以 , , 因为 在双曲线上,所以 , 两式相减可得: , 即 , 即有 成立, 即有 ,因为 不共线, 即 ,即 ,即 , 所以 的离心率的取值范围为 , 因为 , 因为 ,即 , 所以 , 所以 . 故选:AC 【点睛】思路点睛:该题考查直线与圆锥曲线的综合问题,属于难题,关于圆锥曲线 中弦中点和直线斜率有关问题的思路有: (1)设出点的坐标 ; (2)根据中点坐标建立等式: , ;(3)将两点代入圆锥曲线中,再对两式作差,用平方差公式对等式变形; (4)将 , 及 代入等式中即可得出关系. 17.(2023·广东茂名·统考一模)已知抛物线 ,F为抛物线C的焦点,下列 说法正确的是( ) A.若抛物线C上一点P到焦点F的距离是4,则P的坐标为 、 B.抛物线C在点 处的切线方程为 C.一个顶点在原点O的正三角形与抛物线相交于A、B两点, 的周长为 D.点H为抛物线C的上任意一点,点 , ,当t取最大值时, 的面积为2 【答案】ABD 【分析】根据抛物线定义判断A,利用导函数与切线的关系求解B,设点 ,根据 点在抛物线上即可求解C,利用抛物线定义结合图形分析得到直线GH与抛物线C相 切时t取最大值,即可求解. 【详解】A选项:由抛物线C的定义知 , 解得 代入 可得 , 所以P的坐标为 、 ,故A正确; B选项:由 得 , , 切线方抛物线C在点 处的切线斜率为 , 所以切线方程为 ,故B正确; C选项:顶点在原点O的正三角形与抛物线相交与A、B两点, 设正三角形的边长为 ,则根据对称性可得 且点 在抛物线上,所以 ,解得 ,所以这个正三角形的边长为 ,故C错误; D选项:F为抛物线的焦点,过H作HD垂直抛物线C的准线 于点D, 如图, 由抛物线的定义知, 当t取最大值时, 取最小值, 即直线GH与抛物线C相切. 设直线HG的方程为 , 由 得 , 所以 ,解得 , 此时 ,即 , 所以 ,故 , 所以 ,故D正确. 故选:ABD. 18.(2023春·广东揭阳·高三校考阶段练习)已知F是抛物线 的焦点,过点 F作两条互相垂直的直线 , , 与C相交于A,B两点, 与C相交于E,D两点, M为A,B中点,N为D,E中点,直线l为抛物线C的准线,则( ) A.点M到直线l的距离为定值 B.以 为直径的圆与y轴相切 C. 的最小值为32 D.当 取得最小值时, 轴 【答案】CD 【分析】设直线方程,并联立抛物线方程,利用根与系数的关系式,求得点M的横坐标,结合抛物线定义,可判断A;利用抛物线定义推得 ,由此判 断B;计算出弦长 ,可得 的表达式,利用基本不等式求得其最小值, 判断C;求出 的表达式,采用换元法,利用二次函数的单调性求得其最小值,判断 D. 【详解】设 , , , , , 直线 的方程为 ,则直线 的方程为 , 将直线 的方程 代入 ,化简整理得 , 则 , , 故 , 所以 , , 因为点A到直线l的距离 ,点B到直线l的距离 , 点M到直线l的距离 , 又 ,所以 ,故A错误; 因为 , 所以以 为直径的圆的圆心M到l的距离为 , 即以 为直径的圆与l相切,故B错误; 同理, ,所以 , , , 则 ,当且仅当 时等号成立,故C正确;. 设 ,则 , , . 当 时,即 时, 最小,这时 ,即 轴,故D正确, 故选:CD. 19.(2023·广东湛江·统考一模)已知 分别为双曲线 的 左、右焦点,点 为双曲线C在第一象限的右支上一点,以A为切点作双曲线 C的切线交x轴于点 ,则下列结论正确的有( ) A. B. C. D.若 ,且 ,则双曲线C的离心率 【答案】AB 【分析】利用导数的几何意义求出切线方程即可求得 可判断选项C,再根据 可判断选项A,利用 可判断选项B,根据向量共 线的坐标表示与余弦定理可判断D. 【详解】由 ,得 ,所以 , 则在点 处的切线斜率为 ,所以在点 处的切线方程为 , 又有 ,化简即可得切线方程为 , 所以 ,所以 ,故C错误; 由 ,得 ,又 ,所以 ,故A正确; 由 ,得 , 故 , 由 ,得 所以 , 所以 , 所以 , 设点A到x轴的距离为h, 则 , , , 又 ,所以 ,故B正确; 由上可得 ,因为 ,则 ,得 , , 所以 , 解得 ,故D错误, 故选:AB. 【点睛】关键点点睛:解决本题的关键在于利用导数的几何意义求切点 处切线方 程为 . 20.(2023·浙江·校联考三模)设椭圆 , , 为 椭圆 上一点, ,点 关于 轴对称,直线 分别与 轴交于 两点, 则( ) A. 的最大值为 B.直线 的斜率乘积为定值 C.若 轴上存在点 ,使得 ,则 的坐标为 或 D.直线 过定点 【答案】BCD 【分析】利用两点间距离公式表示出 ,结合 可得关于 的二次函 数的形式,通过讨论 与二次函数对称轴的位置关系,可求得 的最大值,知A错 误;利用斜率公式表示出 ,化简可得定值,知B正确;假设存在,可得,求得 横坐标后,代入化简知C正确;表示出直线 后,根 据直线过定点的求法可知D正确. 【详解】 对于A, 在椭圆 上, , , , 由题意知: , 的对称轴为 , 若 ,即 时, , ; 当 ,即 时, , ; 综上所述:A错误; 对于B, 关于 轴对称, , , , ,B正确; 对于C,假设存在点 ,使得, ,则 ∽ , ;直线 ,直线 , , , ,即 或 ,C正确; 对于D, , , , 直线 ,即 , 直线 过定点 ,D正确. 故选:BCD. 【点睛】思路点睛:本题考查直线与椭圆综合应用的问题,解题基本思路是能够利用 表示出所需的点的坐标,结合两点间距离公式、斜率公式、三角形相似关系等知 识化简所求量,从而确定选项的正误. 21.(2023·江苏连云港·统考模拟预测)已知抛物线C: 的焦点为F, 直线l与C交于 , 两点,其中点A在第一象限,点M是AB的中点, 作MN垂直于准线,垂足为N,则下列结论正确的是( ) A.若直线l经过焦点F,且 ,则 B.若 ,则直线l的倾斜角为 C.若以AB为直径的圆M经过焦点F,则 的最小值为 D.若以AB为直径作圆M,则圆M与准线相切 【答案】BC 【分析】A选项,考虑直线斜率为0和不为0两种情况,设出直线方程,联立抛物线 方程,得到两根之和,两根之积,由 列出方程,求出 ,A错误;B 选项,先得到直线 经过抛物线焦点,与A一样,设出直线方程,联立抛物线方程, 得到两根之和,两根之积,结合 求出直线l的斜率,得到倾斜角;C选项,设,由抛物线定义结合基本不等式得到 的最小值;D选项,与C 一样,考虑直线l不经过焦点时,得到圆M与准线相离,D错误. 【详解】A选项,由题意得: ,准线方程为 , 当直线 的斜率为0时,此时,直线l与C只有1个交点,不合题意, 故设直线 ,与 联立得: , 故 , 则 ,所以 , 解得: ,A错误; B选项,因为 ,所以 三点共线,即直线 经过抛物线焦点, 当直线 的斜率为0时,此时,直线l与C只有1个交点,不合题意, 故设直线 ,与 联立得: , 故 , 因为 ,所以 , 代入 中,得到 , 即 , 因为点A在第一象限,所以 ,故 ,即 , , 解得: 故直线l的斜率为 ,设直线l的倾斜角为 ,则 , 解得: ,B正确; C选项,设 ,过点 作 ⊥准线于点 ,过点 作 ⊥准线于点P, 因为以AB为直径的圆M经过焦点F,所以 ⊥ , 则 , 由抛物线定义可知: , 由基本不等式得: ,则 , 当且仅当 时,等号成立, 故 ,即 ,C正确; D选项,当直线l不经过焦点 时,设 , 由三角形三边关系可知: , 由抛物线定义可知结合C选项可知: ,即 , 若以AB为直径作圆M,则圆M与准线相离,D错误. 故选:BC 【点睛】圆锥曲线中最值或范围问题的常见解法: (1)几何法,若题目的条件和结论能明显体现几何特征和意义,则考虑利用几何法来 解决; (2)代数法,若题目的条件和结论能体现某种明确的函数关系,则可首先建立目标函 数,再求这个函数的最值或范围. 22.(2023·河北邢台·校联考模拟预测)已知椭圆 的左焦点为 , 为的上顶点, , 是 上两点.若 , , 构成以 为公差的等差数列, 则( ) A. 的最大值是 B.当 时, C.当 , 在 轴的同侧时, 的最大值为 D.当 , 在 轴的异侧时( , 与 不重合), 【答案】ABC 【分析】由题可得 ,根据椭圆的焦半径的取值范围可判断A,根据 结合椭圆方程可求 坐标,然后根据余弦定理可判断B,根据椭圆的 性质结合基本不等式及斜率公式可判断CD. 【详解】因为椭圆 , 所以 , , , 又 , , 构成以 为公差的等差数列,则 , 不妨设 ,由题可知 ,则 的最大值是 , 故A正确; 当 时, ,设 , 则 ,解得 ,不妨取 ,设 ,则 ,解得 , 所以 或 , 当 时,又 , ,此时 ; 当 时, , , 所以 , , 综上,当 时, ,故B正确; 设椭圆的右焦点为 ,则 , , , , , 当 , 在 轴的同侧时,则 , 关于 轴对称,设 ,则 , 所以 ,由 ,所以 ,当且仅当 时取等号,所以 的最大值为 ,故C正确; 当 , 在 轴的异侧时( , 与 不重合),则 , 关于原点对称, 设 ,则 ,由 ,可得 , 所以 ,故D错误. 故选:ABC. 23.(2023·福建漳州·统考二模)已知 是双曲线 的左、右焦点,且 到 的一条渐近线的距离为 , 为坐标 原点,点 , 为 右支上的一点,则( ) A. B.过点M且斜率为1的直线与C有两个 不同的交点 C. D.当 四点共圆时, 【答案】ACD 【分析】选项A利用双曲线的定义及性质判断即可,选项B利用直线与双曲线方程联 立判断即可,选项C利用双曲线的定义及中线长的公式即可解决,选项D利用圆与双 曲线的关系及性质即可. 【详解】设双曲线的半焦距为 ,一条渐近线为:因为 到 的一条渐近线的距离为 , 即 , 所以 ,又 ,所以 ,故A正确, 对于B,双曲线的渐近线的斜率为1,所以过点M且斜率为1的直线为 , 联立 ,消去 得: ,只有一个交点,故B错误, 对于C,由双曲线的定义知, , 所以 , 因为 为 的中点, 为 右支上的一点, 所以 , 所以 , 在 中,由余弦定理得: , 则有 即 ,故C正确;对于D,当 四点共圆时,所在的圆方程为 , 联立 得 , 因为 , 所以 , 当点 的坐标为 时, , 又 ,所以 , 当点 的坐标为 时, , 又 ,所以 ,故D正确, 故选:ACD. 24.(2023·福建泉州·高三统考阶段练习)已知抛物线 的焦点为F,过点F 的直线l与C交于M,N两点,P为 的中点,则下列说法正确的是( ) A. 的最小值为4 B. 的最大值为4 C.当 时, D.当 时, 【答案】AD 【分析】考虑直线的斜率不存在时,可得 ,当直线的斜率存在时,假设直线 的方程为 ,代入抛物线可得 ,利用抛物线 的定义可得 ,然后结合每个选项进行求解判断即可 【详解】由抛物线 可得焦点 ,准线为 , 对于A,当直线l的斜率不存在时,方程为 ,代入抛物线可得所以此时 ; 当直线l的斜率存在时,假设直线的方程为 ,设 将直线方程代入抛物线可得 ,则 , 所以 , 综上所述, 的最小值为4,故A正确; 对于B,当直线l的斜率存在时, ,故B错误; 对于C,因为P为 的中点, ,所以 ,所以 , 则 ,所以 , 将 代入可得 ,解得 或 , 当 时, 易得不满足题意; 当 时, ,所以 ,故C错误; 对于D,由 易得斜率存在, 由P为 的中点可得 即 , 所以 ,解得 , 所以 ,故D正确; 故选:AD 【点睛】方法点睛:利用韦达定理法解决直线与圆锥曲线相交问题的基本步骤如下: (1)设直线方程,设交点坐标为 ;(2)联立直线与圆锥曲线的方程,得到关于 (或 )的一元二次方程,必要时计算 ; (3)列出韦达定理; (4)将所求问题或题中的关系转化为 、 (或 、 )的形式; (5)代入韦达定理求解. 25.(2023·山东菏泽·统考一模)已知双曲线 的左、右焦点分别为 、 , 过点 的直线 与双曲线 的左、右两支分别交于 、 两点,下列命题正确的有 ( ) A.当点 为线段 的中点时,直线 的斜率为 B.若 ,则 C. D.若直线 的斜率为 ,且 ,则 【答案】BCD 【分析】对于A选项,设 ,代入双曲线,用点差法即可判断;对于B 选项,设 ,表示出 和 ,得出 ,再结合 即可得出结论;对于C选项, 设 ,其中 ,由双曲线方程,得出 ,利用两点之间距离公 式,分别表示出 和 ,通过做差即可得出结论;对于D选项,根据双曲 线的定义,得出 ,再证出点 与点 关于直线 对称,则,即可得出结论. 【详解】选项A: 设 ,代入双曲线得, ,两式相减得, , ∵点 为线段 的中点, ∴ , , 即 , , ∴ , ,故A错误; 选项B: 设 , , , , , 又 , ,故B正确; 选项C: 设 ,其中 ,则 ,即 , , , , , , ,故C正确; 选项D: , , , , , ∵直线 的斜率为 即 ,且过点 , ∴直线 的方程为: , 又∵ , , , 即 , 又∵点 到直线 的距离: , 点 到直线 的距离: ,即 , ∴点 与点 关于直线 对称, , ,故D正确; 故选:BCD. 【点睛】结论点睛:本题涉及到双曲线中的有关结论: (1)若点 是双曲线 上一条弦 的中点,则直线 的斜率 ; (2)若双曲线上有两点 、 ,且位于不同两支,则 . 26.(2023春·江苏南京·高三南京市宁海中学校考阶段练习)已知曲线 ,抛 物线 , 为曲线 上一动点, 为抛物线 上一动点,与两 条曲线都相切的直线叫做这两条曲线的公切线,则以下说法正确的有( ). A.直线 是曲线 和 的公切线; B.曲线 和 的公切线有且仅有一条; C. 最小值为 ; D.当 轴时, 最小值为 .【答案】ACD 【分析】利用导数求出 斜率为1的切线并判断与 是否相切判断A;设出公切线与 和 的切点,利用导数几何意义结合零点存在性定理判断B;利用抛物线定义转化 求 的焦点与P的距离最小值判断C;构造函数并求出最小值判断D作答. 【详解】对于A,对函数 求导得 ,由 得 ,则与曲线 相切且斜 率为1的直线切曲线 于点 , 切线方程为 ,由 消去x得: ,即直线 与曲线 相切, 所以直线 是曲线 和 的公切线,A正确; 对于B,设曲线 和 的公切线与曲线 相切于点 ,由选项A知,该切线斜率 为 , 切线方程为 ,由 消去x得: , 因此 ,令 ,求导得 , 当 时, ,当 时, ,则函数 在 上递减,在 上递 增, , 而 , ,即存在 ,使得 ,因此函数 有0和 两 个零点, 显然当 时, ,因此 的解有0和 两个,即曲线 和 的公切线有两条,B错误; 对于C,抛物线 的焦点 ,准线方程 ,则 , 因此 ,当且仅当 三点共线时取等号, 而 ,令 ,求导得 , 显然 在R上都递增,因此函数 在R上递增,而 , 即当 时, ,当 时, ,函数 在 上递减,在 上递增, ,因此 ,所以当 ,点Q为线段 与抛物线 的交 点时, 最小值为 ,C正确; 对于D,当 轴时, ,则 , , 令 ,求导得 ,当 时, ,当 时, , 因此函数 在 上单调递减,在 上递增, , 所以 最小值为 ,D正确. 故选:ACD【点睛】知识点睛:应用导数的几何意义求切点处切线的斜率,主要体现在以下几个 方面:(1) 已知切点 求斜率 ,即求该点处的导数 ;(2) 已知斜 率 求切点 即解方程 ;(3) 已知切线过某点 (不是 切点) 求切点, 设出切点 利用 求解. 27.(2023春·山东济南·高三统考开学考试)如图所示,抛物线E: 的 焦点为F,过点 的直线 , 与E分别相交于 , 和C,D两 点,直线AD经过点F,当直线AB垂直于x轴时, .下列结论正确的是( ) A.E的方程为 B. C.若AD,BC的斜率分别为 , ,则D.若AD,BC的倾斜角分别为 , ,则 的最大值为 【答案】AD 【分析】根据抛物线定义表示 ,由条件列方程求 可得抛物线方程,判断A,设 的方程为 ,利用设而不求法求 ,判断B,设 , 利用设而不求法求 ,根据直线AD经过点F,确定 的关系,利用 表示 , 判断C,讨论 ,结合 关系利用基本不等式求 的最值即可判断D. 【详解】当直线 垂直于x轴时,直线 的方程为 , 所以点 的横坐标为 , 所以 ,又 , 所以 ,所以抛物线的方程为 ,A正确; 所以 , 若直线 的斜率为0,则直线 与抛物线只有一个交点,以已知矛盾, 故可设直线 的方程为 , 联立 ,化简可得 , 方程 的判别式 , 由已知 为方程 的两根, 所以 , ,B错误; 同理可设 的方程为 , 联立 ,化简可得 ,方程 的判别式 , 设 所以 , , 若直线 的斜率存在,则 , , , 因为直线AD经过点F,所以 , 所以 ,因为 , 所以 , 所以 , 所以 , , 所以 ,C错误; 因为AD,BC的倾斜角分别为 , , 当 时,因为 ,所以 , 所以 , 当 时, , , 所以 ,此时 , 当 ,因为 ,所以 , 所以所以 , 当且仅当 , 时等号成立,即 时等号成立, 所以 的最大值为 ,D正确; 故选:AD. 【点睛】(1)解答直线与抛物线的题目时,时常把两个曲线的方程联立,消去 (或 )建 立一元二次方程,然后借助根与系数的关系,并结合题设条件建立有关参变量的等量 关系. (2)涉及到直线方程的设法时,务必考虑全面,不要忽略直线斜率为0或不存在等特殊 情形. 28.(2023春·湖北·高三统考阶段练习)已知过抛物线 的焦点 作直线 与 抛物线 交于 两点,弦 的中点为 ,过 两点分别作抛物线的两条切线交 于点 交抛物线 于 ,过 作抛物线 的切线分别交 于 ,则 ( ) A. 轴 B. C. D. 成等比数列 【答案】ABD 【分析】通过切线 求得 点横坐标与 点的横坐标相同,由此判断A选项的正 确性.利用 判断B选项的正确性.利用点到直线的距离公式以及三角形的面积公 式判断CD选项的正确性. 【详解】设 ,则 ,由 得 , 故在 处的切线方程分别为: , 即有: ( ),设 ,切线 均过点 , 则切点弦 所在直线方程为: , 又 过点 ,则 恒成立,即 在直线 上, 由( )可得 ,故 轴,选项A正确, ,故 ,故 ,选项B正确; 根据题意,直线 的斜率显然存在,设为 , 则 . 故 , 到直线 的距离分别为 , ,故 是 的中位线, , 且 ,根据题意可得 是 中点, , 故 ,选项C错误,D正确; 答案选:ABD 【点睛】在圆锥曲线中求三角形的面积,关键点有两点,一个是选取底和高,不同的 问题,求解三角形面积所用的底和高会有所不同.另一个是点到直线的距离公式,点到 直线的距离公式的用途很广,需要准确的记忆,如要将直线方程转化为一般式,分子 有绝对值等. 29.(2023·广东广州·统考一模)平面内到两定点距离之积为常数的点的轨迹称为卡西 尼卵形线,它是1675年卡西尼在研究土星及其卫星的运行规律时发现的,已知在平面 直角坐标系 中, , ,动点P满足 ,则下列结论正 确的是( ) A.点 的横坐标的取值范围是B. 的取值范围是 C. 面积的最大值为 D. 的取值范围是 【答案】BC 【分析】设出点P的坐标,列出方程并化简整理,放缩解不等式判断A;利用几何意 义并结合求函数值域判断B;利用三角形面积公式计算判断C;取点计算判断D作答. 【详解】设点 ,依题意, , 对于A, ,当且仅当 时 取等号, 解不等式 得: ,即点 的横坐标的取值范围是 ,A错误; 对于B, ,则 , 显然 ,因此 ,B正确; 对于C, 的面积 ,当且仅当 时取等号, 当 时,点P在以线段MN为直径的圆 上,由 解得 , 所以 面积的最大值为 ,C正确; 对于D,因为点 在动点P的轨迹上,当点P为此点时, ,D 错误. 故选:BC 【点睛】易错点睛:求解轨迹方程问题,设出动点坐标,根据条件求列出方程,再化 简整理求解,还应特别注意:补上在轨迹上而坐标不是方程解的点,剔出不在轨迹上而坐标是方程解的点. 30.(2023秋·江苏南京·高三南京市第一中学校考期末)已知 为坐标原点,椭圆 .过点 作斜率分别为 和 的两条直线 , ,其 中 与 交于 两点, 与 交于 两点,且 ,则( ) A. 的离心率为 B. C. D. 四点共圆 【答案】ABD 【分析】求得 点坐标并代入椭圆方程,由此求得 ,进而求得椭圆的离心率.设出直 线 和 的参数方程并与椭圆方程联立,根据根与系数关系、圆的知识求得正确答案. 【详解】依题意 ,即 , 所以 ,解得 (负根舍去). 所以椭圆 ,则 . 依题意可知直线 的倾斜角 为锐角,且 , 由 解得 . 直线 的倾斜角 为钝角,且 , 由 解得 .设直线 的参数方程为 ( 为参数), 由 整理得 , 解得 (不妨设). 设直线 的参数方程为 ( 为参数), 由 整理得 , 解得 (不妨设). 所以 ,B选项正确. ,C选项错误. , 所以 ,而 ,所以 , 所以 ,所以 四点共圆. (也可用圆的相交弦定理的逆定理,直接由 判断出 四点 共圆) 所以D选项正确. 故选:ABD【点睛】待定系数法求椭圆的方程,可利用题目所给已知条件,列出等量关系式,由 此来求得椭圆方程中的未知参数.四点共圆的证明方法,可利用相交弦定理的逆定理, 也可利用“同弧所对的圆周角相等”来证明.