当前位置:首页>文档>专题02角度计算经典压轴大题专训(教师版)_初中数学_八年级数学上册(人教版)_重难点专题提升-V7_2024版

专题02角度计算经典压轴大题专训(教师版)_初中数学_八年级数学上册(人教版)_重难点专题提升-V7_2024版

  • 2026-04-14 20:28:08 2026-03-20 03:52:22

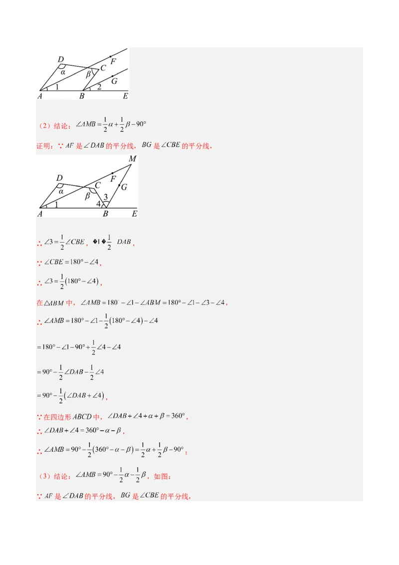
文档预览

专题02角度计算经典压轴大题专训(教师版)_初中数学_八年级数学上册(人教版)_重难点专题提升-V7_2024版
专题02角度计算经典压轴大题专训(教师版)_初中数学_八年级数学上册(人教版)_重难点专题提升-V7_2024版
专题02角度计算经典压轴大题专训(教师版)_初中数学_八年级数学上册(人教版)_重难点专题提升-V7_2024版
专题02角度计算经典压轴大题专训(教师版)_初中数学_八年级数学上册(人教版)_重难点专题提升-V7_2024版
专题02角度计算经典压轴大题专训(教师版)_初中数学_八年级数学上册(人教版)_重难点专题提升-V7_2024版
专题02角度计算经典压轴大题专训(教师版)_初中数学_八年级数学上册(人教版)_重难点专题提升-V7_2024版
专题02角度计算经典压轴大题专训(教师版)_初中数学_八年级数学上册(人教版)_重难点专题提升-V7_2024版
专题02角度计算经典压轴大题专训(教师版)_初中数学_八年级数学上册(人教版)_重难点专题提升-V7_2024版
专题02角度计算经典压轴大题专训(教师版)_初中数学_八年级数学上册(人教版)_重难点专题提升-V7_2024版
专题02角度计算经典压轴大题专训(教师版)_初中数学_八年级数学上册(人教版)_重难点专题提升-V7_2024版
专题02角度计算经典压轴大题专训(教师版)_初中数学_八年级数学上册(人教版)_重难点专题提升-V7_2024版
专题02角度计算经典压轴大题专训(教师版)_初中数学_八年级数学上册(人教版)_重难点专题提升-V7_2024版
专题02角度计算经典压轴大题专训(教师版)_初中数学_八年级数学上册(人教版)_重难点专题提升-V7_2024版
专题02角度计算经典压轴大题专训(教师版)_初中数学_八年级数学上册(人教版)_重难点专题提升-V7_2024版
专题02角度计算经典压轴大题专训(教师版)_初中数学_八年级数学上册(人教版)_重难点专题提升-V7_2024版
专题02角度计算经典压轴大题专训(教师版)_初中数学_八年级数学上册(人教版)_重难点专题提升-V7_2024版
专题02角度计算经典压轴大题专训(教师版)_初中数学_八年级数学上册(人教版)_重难点专题提升-V7_2024版
专题02角度计算经典压轴大题专训(教师版)_初中数学_八年级数学上册(人教版)_重难点专题提升-V7_2024版
专题02角度计算经典压轴大题专训(教师版)_初中数学_八年级数学上册(人教版)_重难点专题提升-V7_2024版
专题02角度计算经典压轴大题专训(教师版)_初中数学_八年级数学上册(人教版)_重难点专题提升-V7_2024版
专题02角度计算经典压轴大题专训(教师版)_初中数学_八年级数学上册(人教版)_重难点专题提升-V7_2024版
专题02角度计算经典压轴大题专训(教师版)_初中数学_八年级数学上册(人教版)_重难点专题提升-V7_2024版
专题02角度计算经典压轴大题专训(教师版)_初中数学_八年级数学上册(人教版)_重难点专题提升-V7_2024版
专题02角度计算经典压轴大题专训(教师版)_初中数学_八年级数学上册(人教版)_重难点专题提升-V7_2024版
专题02角度计算经典压轴大题专训(教师版)_初中数学_八年级数学上册(人教版)_重难点专题提升-V7_2024版
专题02角度计算经典压轴大题专训(教师版)_初中数学_八年级数学上册(人教版)_重难点专题提升-V7_2024版
专题02角度计算经典压轴大题专训(教师版)_初中数学_八年级数学上册(人教版)_重难点专题提升-V7_2024版
专题02角度计算经典压轴大题专训(教师版)_初中数学_八年级数学上册(人教版)_重难点专题提升-V7_2024版
专题02角度计算经典压轴大题专训(教师版)_初中数学_八年级数学上册(人教版)_重难点专题提升-V7_2024版
专题02角度计算经典压轴大题专训(教师版)_初中数学_八年级数学上册(人教版)_重难点专题提升-V7_2024版
专题02角度计算经典压轴大题专训(教师版)_初中数学_八年级数学上册(人教版)_重难点专题提升-V7_2024版
专题02角度计算经典压轴大题专训(教师版)_初中数学_八年级数学上册(人教版)_重难点专题提升-V7_2024版
专题02角度计算经典压轴大题专训(教师版)_初中数学_八年级数学上册(人教版)_重难点专题提升-V7_2024版
专题02角度计算经典压轴大题专训(教师版)_初中数学_八年级数学上册(人教版)_重难点专题提升-V7_2024版
专题02角度计算经典压轴大题专训(教师版)_初中数学_八年级数学上册(人教版)_重难点专题提升-V7_2024版
专题02角度计算经典压轴大题专训(教师版)_初中数学_八年级数学上册(人教版)_重难点专题提升-V7_2024版
专题02角度计算经典压轴大题专训(教师版)_初中数学_八年级数学上册(人教版)_重难点专题提升-V7_2024版
专题02角度计算经典压轴大题专训(教师版)_初中数学_八年级数学上册(人教版)_重难点专题提升-V7_2024版
专题02角度计算经典压轴大题专训(教师版)_初中数学_八年级数学上册(人教版)_重难点专题提升-V7_2024版
专题02角度计算经典压轴大题专训(教师版)_初中数学_八年级数学上册(人教版)_重难点专题提升-V7_2024版
专题02角度计算经典压轴大题专训(教师版)_初中数学_八年级数学上册(人教版)_重难点专题提升-V7_2024版
专题02角度计算经典压轴大题专训(教师版)_初中数学_八年级数学上册(人教版)_重难点专题提升-V7_2024版
专题02角度计算经典压轴大题专训(教师版)_初中数学_八年级数学上册(人教版)_重难点专题提升-V7_2024版
专题02角度计算经典压轴大题专训(教师版)_初中数学_八年级数学上册(人教版)_重难点专题提升-V7_2024版
专题02角度计算经典压轴大题专训(教师版)_初中数学_八年级数学上册(人教版)_重难点专题提升-V7_2024版
专题02角度计算经典压轴大题专训(教师版)_初中数学_八年级数学上册(人教版)_重难点专题提升-V7_2024版
专题02角度计算经典压轴大题专训(教师版)_初中数学_八年级数学上册(人教版)_重难点专题提升-V7_2024版
专题02角度计算经典压轴大题专训(教师版)_初中数学_八年级数学上册(人教版)_重难点专题提升-V7_2024版
专题02角度计算经典压轴大题专训(教师版)_初中数学_八年级数学上册(人教版)_重难点专题提升-V7_2024版
专题02角度计算经典压轴大题专训(教师版)_初中数学_八年级数学上册(人教版)_重难点专题提升-V7_2024版
专题02角度计算经典压轴大题专训(教师版)_初中数学_八年级数学上册(人教版)_重难点专题提升-V7_2024版
专题02角度计算经典压轴大题专训(教师版)_初中数学_八年级数学上册(人教版)_重难点专题提升-V7_2024版
专题02角度计算经典压轴大题专训(教师版)_初中数学_八年级数学上册(人教版)_重难点专题提升-V7_2024版
专题02角度计算经典压轴大题专训(教师版)_初中数学_八年级数学上册(人教版)_重难点专题提升-V7_2024版
专题02角度计算经典压轴大题专训(教师版)_初中数学_八年级数学上册(人教版)_重难点专题提升-V7_2024版
专题02角度计算经典压轴大题专训(教师版)_初中数学_八年级数学上册(人教版)_重难点专题提升-V7_2024版
专题02角度计算经典压轴大题专训(教师版)_初中数学_八年级数学上册(人教版)_重难点专题提升-V7_2024版
专题02角度计算经典压轴大题专训(教师版)_初中数学_八年级数学上册(人教版)_重难点专题提升-V7_2024版
专题02角度计算经典压轴大题专训(教师版)_初中数学_八年级数学上册(人教版)_重难点专题提升-V7_2024版
专题02角度计算经典压轴大题专训(教师版)_初中数学_八年级数学上册(人教版)_重难点专题提升-V7_2024版
专题02角度计算经典压轴大题专训(教师版)_初中数学_八年级数学上册(人教版)_重难点专题提升-V7_2024版
专题02角度计算经典压轴大题专训(教师版)_初中数学_八年级数学上册(人教版)_重难点专题提升-V7_2024版
专题02角度计算经典压轴大题专训(教师版)_初中数学_八年级数学上册(人教版)_重难点专题提升-V7_2024版
专题02角度计算经典压轴大题专训(教师版)_初中数学_八年级数学上册(人教版)_重难点专题提升-V7_2024版
专题02角度计算经典压轴大题专训(教师版)_初中数学_八年级数学上册(人教版)_重难点专题提升-V7_2024版
专题02角度计算经典压轴大题专训(教师版)_初中数学_八年级数学上册(人教版)_重难点专题提升-V7_2024版
专题02角度计算经典压轴大题专训(教师版)_初中数学_八年级数学上册(人教版)_重难点专题提升-V7_2024版
专题02角度计算经典压轴大题专训(教师版)_初中数学_八年级数学上册(人教版)_重难点专题提升-V7_2024版
专题02角度计算经典压轴大题专训(教师版)_初中数学_八年级数学上册(人教版)_重难点专题提升-V7_2024版
专题02角度计算经典压轴大题专训(教师版)_初中数学_八年级数学上册(人教版)_重难点专题提升-V7_2024版
专题02角度计算经典压轴大题专训(教师版)_初中数学_八年级数学上册(人教版)_重难点专题提升-V7_2024版
专题02角度计算经典压轴大题专训(教师版)_初中数学_八年级数学上册(人教版)_重难点专题提升-V7_2024版
专题02角度计算经典压轴大题专训(教师版)_初中数学_八年级数学上册(人教版)_重难点专题提升-V7_2024版
专题02角度计算经典压轴大题专训(教师版)_初中数学_八年级数学上册(人教版)_重难点专题提升-V7_2024版
专题02角度计算经典压轴大题专训(教师版)_初中数学_八年级数学上册(人教版)_重难点专题提升-V7_2024版
专题02角度计算经典压轴大题专训(教师版)_初中数学_八年级数学上册(人教版)_重难点专题提升-V7_2024版
专题02角度计算经典压轴大题专训(教师版)_初中数学_八年级数学上册(人教版)_重难点专题提升-V7_2024版
专题02角度计算经典压轴大题专训(教师版)_初中数学_八年级数学上册(人教版)_重难点专题提升-V7_2024版
专题02角度计算经典压轴大题专训(教师版)_初中数学_八年级数学上册(人教版)_重难点专题提升-V7_2024版
专题02角度计算经典压轴大题专训(教师版)_初中数学_八年级数学上册(人教版)_重难点专题提升-V7_2024版
专题02角度计算经典压轴大题专训(教师版)_初中数学_八年级数学上册(人教版)_重难点专题提升-V7_2024版
专题02角度计算经典压轴大题专训(教师版)_初中数学_八年级数学上册(人教版)_重难点专题提升-V7_2024版
专题02角度计算经典压轴大题专训(教师版)_初中数学_八年级数学上册(人教版)_重难点专题提升-V7_2024版
专题02角度计算经典压轴大题专训(教师版)_初中数学_八年级数学上册(人教版)_重难点专题提升-V7_2024版
专题02角度计算经典压轴大题专训(教师版)_初中数学_八年级数学上册(人教版)_重难点专题提升-V7_2024版
专题02角度计算经典压轴大题专训(教师版)_初中数学_八年级数学上册(人教版)_重难点专题提升-V7_2024版

文档信息

文档格式
docx
文档大小
9.181 MB
文档页数
86 页
上传时间
2026-03-20 03:52:22

文档内容

专题02 角度计算经典压轴大题专训 【精选最新30道角度计算经典压轴大题】 1.(2023春·北京怀柔·七年级统考期末)如图,直线 与 的两边交于 , 两点, ,点 是 边上一个动点,连接 . (1)过点 作 ,交射线 于点 ,依题意补全图形, ①直接写出 的度数(用含α的式子表示); ②若点 , 在 , 的延长线上,并且直线 ,当 平分 时,求 的度数(用 含 的式子表示);小林在思考这道题时,想到过点 作 交射线 于点 ,通过转化角可以求 出 的度数.你可以利用小林的思路解答此题也可以独立思考求出 的度数. (2)参考小林思考问题的方法,解决问题:若点 , 在 , 的延长线上,并且直线 ,当点 在 上运动时,直接用含 的等式表示 , , 的数量关系. 【答案】(1)① ;② ; (2) 或 或 . 【分析】(1)①根据垂直定义即可得解;②由平行线的性质得 ,进而根据角平分线 得 ,最后利用三角形的内角和定理即可求解; (2)分点 在线段 上,点 在线段 上以及点 在射线 上三种情形讨论求解即可. 【详解】(1)解:①补图如下,∵ , ∴ , ∵ , ∴ ; ②如下图, ∵ , , ∴ , ∵ 平分 , ∴ , ∵ , ∴ , ∵ , ∴ ; (2)解:过点 作 交射线 于点 , 当点 在线段 上时,如下图,∵ , , ∴ , , ∵ , ∴ , 当点 在线段 上时,如下图, ∵ , , ∴ , , ∵ , ∴ , ∵ , ∴ , ∴ ; 当点 在射线 上时,如下图,∵ , , ∴ , , ∴ , ∵ , , ∴ , ∴ . 综上所述, 或 或 . 【点睛】本题主要考查了平行线的性质、三角形的内角和定理,熟练掌握平行线的性质是解题的关键. 2.(2023春·福建福州·七年级统考期末)在 中, ,点 在射线 上运动(点 不与 、 重合),连接 ,过点 作 ,垂足为 ,交射线 于点 . (1)如图1,当点 在线段 上时,过点 作 交 于 .求证: ; (2)如图2,作 的角平分线和 的角平分线且相交于点 ,随着点 的运动, 的度数会变化 吗?如果不变,求出 的度数;如果变化,说明理由. (3)如图3,当点 在线段 的延长线上时,过点 作 交 的延长线于 , 的角平分线与 的角平分线的反向延长线相交于点 , 的度数会变化吗?请说明理由. 【答案】(1)证明见解析 (2) 的度数不会变化;理由见解析 (3) 的度数不会变化;理由见解析 【分析】(1)先证得 ,再由 可得 ,最后证得; (2)由角平分线定义可得 , ,从而证得 ,最后在 中,可得 ; (3)先证得 ,再证明 ,由角平分线性质可得 , ,最后得出结论. 【详解】(1)∵ ∴在 中, 又∵ ∴ ∴ ∴ ∵ ∴ ∴ ∴在 中, ∴ (2) 的度数不会变化;理由: ∵ ∴在 中, ∵ 、 的角平分线相交于点P∴ , 由①得, ∴ ∴ ∴在 中, (3) 的度数不会变化;理由: 如图: ∵ ∴在 中, 又∵ ∴ ∴ ∵ ∴ ∴ ∴ 设 的平分线交 于H点 ∵ 平分 、 平分 ∴ , ∴ ∴ ∴∴ 的度数不会变化 【点睛】本题考查了角平分线的定义,直角三角形的性质,三角形的内角和平行线的性质等知识,解题的 关键是熟练掌握角平分线的定义,直角三角形的性质,三角形的内角和平行线的性质. 3.(2023春·浙江宁波·七年级统考期末)【基础巩固】(1)如图1,已知 ,求证: ; 【尝试应用】(2)如图2,在四边形 中, ,点E是线段 上一点. , ,求 的度数; 【拓展提高】(3)如图3,在四边形 中, ,点E是线段 上一点,若 平分 , . ①试求出 的度数; ②已知 , ,点G是直线 上的一个动点,连接 并延长. 2.1若 恰好平分 ,当 与四边形 中一边所在直线垂直时, ________; 2.2如图4,若 是 的平分线,与 的延长线交于点F,与 交于点P,且 ,则 ________ (用含 的代数式表示). 【答案】(1)见解析(2)40°(3)①90°②2.1:15°或60°或120°,2.2: 【分析】(1)由 ,再结合两直线平行内错角相等即可证明; (2)过点 作 ,交 于点 ,再结合(1)证明计算求值即可;(3)①设 , ,根据两直线平行同旁内角互补可得 ,求得 即可;②第一问根据三角形内角和,求得 ,由 得到 ,进而可得 ,再分 和 所在直线垂直、 和 所在直线垂直于、 和 所在直线垂直三种情况计算求值即可;第二问 利用三角形外角的性质求得 ,进而可得 ,再由 计算角度差即 可解答; 【详解】解:(1)∵ , ∴ , ∵ , ∴ , ∴ ; (2)如下图过点 作 ,交 于点 , ∵ , , ∴ , ∵ , ∴ , ∵ , ∴ ; (3)①设 , , ∵ 平分 , ∴ , ∵ , ∴ ,∵ , ∴ , ∴ , ∵ , ∴ ; ②2.1 :∵ , , ∴ , ∵ , ∴ , ∴ , ∴ , ∵ 平分 , ∴ , 如图 和 所在直线垂直于点M时: , 如图 和 所在直线垂直于点G时: ∵ , ∴ , ,如图 和 所在直线垂直于点C时: , ∴ 或 或 ; 2.2:由2.1可知 , , ∵ , ∴ , ∵ 是 的平分线, ∴ , ∵ , ∴ , ∴ ; 【点睛】本题考查了平行线的性质,三角形内角和定理,三角形外角的性质等知识;掌握相关性质和定理 是解题关键. 4.(2023春·四川·七年级统考期末)如图,在四边形 中, , ,延长 到点 , 是 的平分线, 是 的平分线. (1)如图1,当 时,求证: ; (2)如图2,当 时,直线 交直线 于点 ,问 与 , 之间有何数量关系?写出你 的结论并证明;(3)如果将(2)中的条件 改为 ,那么 与 , 之间又有何数量关系?请直 接写出结论,不用证明. 【答案】(1)证明见解析 (2)结论: ,证明见解析 (3)结论: 【分析】(1)根据平行线的性质和角平分线的定义,推出 ,得到 ,即可得证; (2)角平分线和平角的定义,推出 ,三角形的内角和得到 ,在四边形 中, ,得到 ,进而得到 ; (3)角平分线和平角的定义,推出 ,三角形的内角和得到 ,在四边形 中, ,得到 ,进而得到 . 【详解】(1)证明:∵ , ∴ , ∵ 是 的平分线, 是 的平分线 ∴ , , ∴ , ∴ , ∴ .(2)结论: 证明:∵ 是 的平分线, 是 的平分线, ∴ , , ∵ , ∴ , 在 中, , ∴ , ∵在四边形 中, , ∴ , ∴ ; (3)结论: ,如图: ∵ 是 的平分线, 是 的平分线,∴ , , ∵ , ∴ , ∴ 在 中, , ∴ , ∵在四边形 中, , ∴ , ∴ . 【点睛】本题考查平行线的性质,角平分线有关的计算,三角形的内角和定理.熟练掌握相关性质,并灵 活运用,是解题的关键. 5.(2023春·浙江·七年级统考期末)如图1, 是平面镜,若入射光线与水平镜面夹角为 ,反射光线 与水平镜面夹角为 ,则 .(1)如图2,一束光线 射到平面镜 上,被 反射到平面镜 上,又被 反射,若被 反射出的 光线 (与光线 平行,且 ,则 _______°, ______°; (2)如图3,有三块平面镜 , , ,入射光线 与镜面 的夹角 ,镜面 , 的 夹角 ,当光线 经过平面镜 , , 的三次反射后,入射光线 与反射光线 平行 时,请求出 的度数; (3)如图4,在(2)的条件下,在 , 之间再照射一条光线 ,经过平面镜 , 两次反射后反 射光线与 交于点 ,请探究 与 的数量关系. 【答案】(1) , (2) (3) 【分析】(1)根据题中平面镜反射角度之间的关系,结合 的性质及三角形内角和定理即可得到 答案; (2)过 作 ,如图所示,根据题中平面镜反射角度之间的关系,结合 的性质及三角形 内角和定理即可得到答案; (3)根据题中平面镜反射角度之间的关系,在(2)的基础上,得出相关角度,再结合四边形 内角 和 、四边形 内角和 ,列方 程组求解即可得到答案. 【详解】(1)解:如图所示:根据题意, , , , , , , , 在 中,由三角形内角和定理可得 , 故答案为: , ; (2)解:过 作 ,如图所示: , , , , ,, ,则 , 在 中, , ,则由三角形内角和定理可得 , ,则 , ; (3)解:如图所示: 由(2)知 , , , , 由于一个四边形可以分成两个三角形,由三角形内角和定理可知,在四边形 中, , , , ,则 , , 由于一个四边形可以分成两个三角形,由三角形内角和定理可知,在四边形 中, , , 由 与 ,代入已知角度有 与 ,可得 , ,解得 . 【点睛】本题考查利用数学知识探寻平面镜反射中角度关系,涉及平行线的性质、平面镜反射角度关系、 三角形内角和定理、四边形内角和为 及恒等变形等知识,读懂题意,理解平面镜反射角度之间的关系, 数形结合,准确表示各个角之间的和差倍分关系是解决问题的关键.6.(2023春·北京海淀·七年级校考期中)已知, 、直线 分别交 、 于点 , 、 .点 在直线 的左侧,射线 平分 . (1)如图1,若 ,直接写出 与 的度数; (2)点 在直线 的左侧, , ,直线 与直线 相交于点 . ①如图2,当点 在直线 上方时,设 ,用含 的式子分别表示 与 ; ②若 ,请直接写出此时 的度数. 【答案】(1) , (2)① , ;② 或 【分析】(1)根据平行线的性质,两直线平行,同旁内角互补,求出 的度数,再根据角平分线的 定义求出 度数即可; (2)①根据题意表示出 和 ,再根据三角形内角和定理求解即可; ②分四种情况表示出 与 ,再代入 中即可求解. 【详解】(1)解:(1)∵ , ∴ , 又∵ , ∴ ,∵ , ∴ , ∵射线 平分 , ∴ . 即: , . (2)①已知 ,且 , ∴ , 又∵ , ∴ , ∵ , ∴ , ∵ , ∴ , 根据三角形内角和定理, ∴ , 故 ; 由(1)知, , , ∵ , ∴ , ∴ , 故 . ②设 , ; (Ⅰ)当 时,则 , 即:此时点 在直线 的上方,由①可知 , , ∵ , ∴ , ∴ ,∴ . (Ⅱ)当 时, , 即:此时点 在直线 的上,则直线 (直线 )与直线 相交于点 和点 重合,不符合题意, (Ⅲ)当 时,则 , 即:此时点 在直线 的下方,点 在直线 的上方, ∵ , ∴ , ∵ , ∴ , ∵ , ,则 , ∴ , 则 , ∴ , 根据三角形内角和定理, ∴ , 故 ; ∵射线 平分 , ∴ , ∴ , 故∵ , ∴ , ∴ , ∴ . (Ⅳ)当 时,则 , 即:此时点 在直线 的下方,点 在直线 的上方, 则 , , 由上可知, , , ∴ , 故 ; ∵射线 平分 , ∴ , ∴ , 故 , ∵ ,∴ , ∴ ,不符合题意, 当 时, ,点 在直线 的右侧,不符合题意, 综上, 或 . 【点睛】本题考查了平行线的性质,角平分线的定义,三角形内角和定理等基础知识,利用等量代换思想 是解题的关键. 7.(2023春·北京海淀·七年级校考期中)平面内有两个锐角 与 ,点B在直线 的上方. 保持不动,且 的一边 ,另一边 与直线 相交于点F. (1)若 , ,且位置如图1,当点E,O,D在同一条直线上(即点O与点F重合)时, ________°; (2)若 , , ,当点E,O,D不在同一条直线上,画出图形并求 的度数(用含α,β的式子表示). 【答案】(1)85 (2) 或 ,图见解析 【分析】(1)根据平行线性质和角的和差关系解出即可; (2)分情况画出图形,利用平行线性质,三角形内角和性质,对顶角的性质,三角形外角的性质即可探 究出结论. 【详解】(1)∵ , ∴ , ∴ , 故答案为:85;(2)①点 在 下方时,如图,设 与 交于点 , ∵ , ∴ , ∴ ; ②点 在 下方时,如图, 过点 向右作 , 则 , ∵ , ∴ , ∴ , ∴ , ∴ . ③当点 在 下方时,设 与 交于点 ,如图,∵ , ∴ , 又∵ , ∴ , ∵ , ∴ . ④点 在 左侧时,延长 与 交与点 ,过点 作 ,如图: ∵ , ∴ , ∵ , , ∴ , ∴ , ∴ ; ⑤点 在 右侧时, 与 交于点 ,如图:∵ , ∴ , ∴ , ∴ ; ⑥点 在 下方时, 与 的延长线交于点 ,如图: ∵ , ∴ , ∴ , ∴ ; 综上, 的度数为 或 . 【点睛】本题考查平行线的判定和性质,三角形内角和定理,对顶角相等,三角形外角的性质,准确作出 图形是解题的关键. 8.(2023春·广东广州·七年级校考期中)如图1,已知直线 , ,射线 从 出 发,绕点 以每秒 度的速度按逆时针方向旋转,到达 后立即以相同的速度返回,到达 后继续改 变方向,继续按上述方式旋转;射线 从 出发,绕点 以每秒 度的速度按逆时针方向旋转,到达后停止运动,此时 也同时停止运动.其中 , 满足方程组 (1)求 , 的值; (2)如图2,若 与 同时开始转动,在 第一次到达 之前, 与 交于点 ,过点 作 于点 ,交直线 于点 ,则在运动过程中,若设 的度数为 ,请求出 的度数 (结果用含 的代数式表示); (3)若 先运动30秒,然后 一起运动,设 运动的时间为 ,当运动过程中 时,求 的值. 【答案】(1) , (2) (3) =10或66或130或138. 【分析】(1)用加减消元法解二元一次方程组即可求解. (2)设 运动的时间为 ,根据邻补角定义,将 用 表示,再根据 可求出 度数,利用 平行可求出 度数,从而根据外角定义即可求出 度数. (3)根据题意分情况讨论,列出对应的有关 的一元一次方程,按照一元一次方程的解法即可求出 值. 【详解】(1)解: , 得 ③, 得 , . 将 代入①得, . 故答案为: , .(2)解: 设直线 交 于点 ,如图所示, 的度数为 , , . 设 运动的时间为 ,则 运动的时间为 , , . , , . , . , , . , . 故答案为: . (3)解: , , , 先运动30秒 ,. 当 时, 在 左侧, , , , , , , . 当 时, 在 左侧, , 在 右侧, , . 当 时, 在 右侧, , 在 左侧, , . 当 时, , . 综上所述, 的值为10或66或130或138. 故答案为: =10或66或130或138. 【点睛】本题考查的是平行线的综合题,解题的关键在于熟练掌握平行线的性质,直角三角形的性质和动 点过程中的分类讨论情况. 9.(2023春·江苏常州·七年级校考期中)如图,直线 , ,分别交 , 于点 、 ,射线 、 分别从 、 同时开始绕点 顺时针旋转,分别与直线 交于点 、 ,射线 每秒转 ,射线 每秒转 , , 分别平分 , ,设旋转时间为t秒 .(1)用含t的代数式表示: ________°, ________°; (2)当 时, ________; (3)试探索 与 之间的数量关系,并说明理由; (4)若 的角平分线与直线 交于点 , 的度数是________. 【答案】(1) , (2) 或 (3) ,理由见解析 (4) 或 【分析】(1)根据题意可难得出 的度数为 , ; (2)由平行线的性质可得 ,再由 可得 ,从而可得 ,结合所给的条件 即可求解; (3) ,分别用含 的代数式表示出 和 的度数,再结合三角形的内角和,可表 示出 ,进行比较即可求解; (4)可分 在 的左边与 在 的右边两种情况进行讨论,再把 的 和 的度数用 含 的代数式表示出来,再利用三角形的内角和求 的度数即可. 【详解】(1)解:①由题意得: , , , , ; 故答案为: , ; (2)①当点 在 左侧时,, , , , , , , , 解得: ; ②当点 在 右侧时,如图, , , , , , , , , , , 解得: ; ∴t的值为 或 ; (3) , 理由: 平分 ,由(2)得 , , 由(1)得 ,在 中, , ; (4)①当 点在 的左边时,如图所示: 由(2)得 , , 是 的平分线, , 由(1)得: , , 在 中, . ②当 点在 的右边时,如图所示: 由题意可知: ,则有 , , 平分 , 平分 , , , , 在 中, . 故答案为: 或 . 【点睛】本题主要考查了平行线的性质,角平分线,解答的关键是对这些知识点的掌握与熟练应用.10.(2023春·广东深圳·七年级统考期中)已知 ,点 在直线 、 之间,连接 、 . (1)探究发现:探究 , , 之间的关系. 如图1,过 作 , ( ) (已知) ( ) ; (2)解决问题: ①如图2,延长 至点 ,作 的角平分线和 的角平分线的反向延长线交于点 ,试判断 与 的数量关系并说明理由; ②如图3,若 ,分别作 , , 、 分别平分 , ,则 的度数为 (直接写出结果). 【答案】(1)两直线平行,内错角相等,平行于同一条直线的两直线平行, , (2)① ,理由见解析;② 【分析】(1)过 作 ,根据两直线平行,内错角相等,可得 ,再由平行于同一条直线 的两直线平行推出 ,则 ,进而得出结论; (2)①过点 作 ,根据平行线的性质可得 ,由平行于同一条直线的两直线平行推出 ,则 ,再根据角平分线的性质和邻补角的性质可得 ,再根据(1)中的 数量关系可得 ,进而得出结论; ②作 ,根据平行线的性质可得 , ,延长 交 延长线于点 ,延长 ,设 , ,先推出 ,则 ,由角平分线的性质及平行线的性质可得 ,再由三角形外角的性质 求得 ,即可求得 .【详解】(1)解:如图1,过 作 , (两直线平行,内错角相等) (已知) (平行于同一条直线的两直线平行) , ; 故答案为:两直线平行,内错角相等,平行于同一条直线的两直线平行, , ; (2)解:①过点 作 , , , , , , 的角平分线和 的角平分线的反向延长线交于点 , , , , 由(1)可得 , ,, ; ②如图,作 ,延长 交 延长线于点 ,延长 , , , , , , 同理可得, , 设 , , , , , , , 由(1)知 , , , , 、 分别平分 , , , , , , , ,, 故答案为: . 【点睛】本题考查了几何图形中的角度计算,平行线的性质以及三角形外角的性质,熟练掌握知识点,正 确构造辅助线是解题的关键. 11.(2023·全国·八年级假期作业)(1)如图1,把 沿 折叠,使点A落在点 处,请直接写出 与 的关系: . (2)如图2,把 分别沿 、 折叠,使点A落在点 处,使点B落在点 处,若 ,则 ° (3)如图3,在锐角 中, 于点M, 于点N, 、 交于点H,把 沿 折叠使点A和点H重合,则 与 的关系是 . A. B. C. D. (4)如图4, 平分 , 平分 ,把 沿 折叠,使点A与点H重合,若 ,求 的度数. 【答案】(1) ;理由见解析(2) (3)A(4) 【分析】(1)根据翻折变换的性质以及三角形内角和定理以及平角的定义求出即可; (2)根据(1)的结论即可得到结果; (3)根据翻折变换的性质以及垂线的性质得出, ,进而求出 ,即可得出答案; (4)根据三角形角平分线的性质得出 ,得出 的度数即可. 【详解】解:(1) ;理由如下:由折叠的性质得: , , ∴ ①, 又∵ , ∴ ②, 由①②得: , 故答案为: ; (2)由(1)可得, , , ∴ , ∴ , 故答案为: ; (3)理由:∵ 于点M, 于点N, ∴ , , ∴ ,由(1)知 , ∴ , ∴ , 故选:A; (4)由(1)得: , 得 , ∴ , ∵ 平分 , 平分 , ∴ , ∴ . 【点睛】本此题主要考查了图形的翻着变换的性质以及角平分线的性质和三角形内角和定理,正确的利用 翻折变换的性质得出对应关系是解决问题的关键. 12.(2023春·湖北武汉·七年级武汉市卓刀泉中学校考阶段练习)已知 ,点M、N分别在直线上, 与 的平分线所在的直线相交于点F. (1)如图1,点E、F都在直线 之间且 时, 的度数为___________; (2)如图2,当点E在直线 之间,F在直线 下方时,若 ,求 的度数; (3)如图3,当点E在直线 上方,F在直线 与 之间时,直接写出 与 之间的数量关系 为___________. 【答案】(1) (2) (3) 【分析】(1)如图1,过 作 , ,设 , ,则 ,根据平行线的判定和性质可得 , ,即可求解; (2)根据平行线的性质和三角形的内角和定理可得 ,由(1)可得 , 结合已知条件即可求得结果; (3)如图3,延长 交 于点P,根据平行线的性质可得 , ,, 根据三角形的外角性质即可推出 , ,进而可得结论. 【详解】(1)设 , , ∵ 与 的平分线所在的直线相交于点F ∴ ,如图1,过 作 , , , ∴ , , , , ∴ , , 即 , , ∴ , , ∵ , ∴ , ∴ ; (2)如图2, , ∴ , ∵ , ∴ , 由(1)可得: , ∴ , ∵ , ∴ , ∴ ; (3)如图3,延长 交 于点P,, ∴ , , ∴ , ∵ , ∴ , ∴ , ∵ , ∴ , . 【点睛】本题考查了平行线的性质,三角形的外角的性质,三角形的内角和,角平分线的定义,正确的识 别图形,找到角与角之间的关系是解题的关键. 13.(2023春·湖南长沙·七年级校联考阶段练习)如图,直线 ,点E、F分别是 、 上的动 点(点E在点F的右侧),点M为线段 上的一点,点N为射线 上的一点,连接 且 . (1)如图1,若 ,则 ______; (2)如图2,连接 ,且 恰好平分 , ,求 的度数; (3)过点M作 于H,G在射线 上,连接 , ,若 平分 ,, ,求 的度数. 【答案】(1) (2) (3) 【分析】(1)根据 , 得到 ,根据 得到 ,结合三角形内角和定理直接求解即可得到答案; (2)设 ,根据 平分 得到 ,根据 得到 ,结合 列式求解即可得到答案; (3)设 ,根据 得到 ,根据 得到 , 结合 得到 ,结合 得到 ,根据 , 得到 ,根据 平分 得到 ,根据三角形内角和列式求解即可得到答案; 【详解】(1)解:∵ , , ∴ , ∵ , ∴ , ∵ , ∴ ; (2)解:设 , ∵ 平分 , ∴ , ∵ , ∴ ,∵ , ∴ , , ∵ , ∴ , 解得: , ∴ ; (3)解:设 , ∵ , ∴ , ∵ , ∴ , ∵ , ∴ , ∵ , ∴ , ∵ , ∴ , ∵ 平分 , ∴ , ∵ , ∴ , 解得: , ∴ 的度数为: ; 【点睛】本题考查平行线的性质,三角形内角和定理,角平分线有关计算,解题的关键是根据平行线性质 及角平分线得到角度关系列式求解. 14.(2023春·江苏·七年级泰州市姜堰区第四中学校考阶段练习)如图1,直角 与直角 的斜边 在同一直线上, , , 平分 ,将 绕点D按逆时针方向旋转,记为 ,在旋转过程中, (1)如图2,当 等于多少时, ? (2)如图2,当 ________________时, 与 的一边平行; (3)如图3,当顶点C在 内部时(不包含边界),边 分别交 的延长线于点M、N, ① 与 度数的和是否变化?若不变,求出 与 的度数和;若变化,请说明理由; ②若使得 ,求 的度数范围(直接写出结论). 【答案】(1) (2) 或 或 (3) 【分析】(1)根据平行线的性质求解即可; (2)分 、 、 三种情况,利用平行线的性质和三角形的内角和定理或外角性质分 别求解即可; (3)①连接 ,由三角形内角和定理得出 ,则 , 由三角形内角和定理得出 ,即 ,即可得出结论; ②先求得 ,由 , ,得出 ,解得 ,由三角形内角和定理得出 ,即 , 得出 ,解得 ,即可得出结果. 【详解】(1)解:当 时, , ∵ , , ∴ , 故当 时, ; (2)解:当 时,如图①,则 ,∴ ,则 , 由(1)知, ; 当 时,如图②,则 , ∵ , , ∴ , ∴ ; 当 时,如图③,则 , ∴ , ∴ , 综上,当 或 或 , 故答案为: 或 或 ; (3)解:连接 ,在 中,∵ , ∴ , 在 中, , 则 , ∴ ; ②∵ , 平分 , , ∴ , ∴ , 当点C在 边上时, ,则 , 当点C在 边上时, , ∴当顶点C在 内部时, ; ∵ , , ∴ , ∴ , ∵在 中, , , 即 , ∴ , ∴ ,则 , ∴ 的度数范围为 . 【点睛】本题考查了平行线的判定与性质、三角形内角和定理、三角形的外角性质、角平分线的定义、不 等式等知识,合理选择三角形,利用三角形内角和定理列等量关系是解决问题的关键. 15.(2022春·江西抚州·七年级临川一中校考期中)已知: , 平分 ,点 分别是射线 、 、 上的动点( 不与点 重合),连接 交射线 于点 .设 .(1)如图1,若 ,则: ① 的度数是________; ②如图2,当 时,试求 的值(要说明理由); (2)如图3,若 ,则是否存在这样的 的值,使得 中有两个相等的角?若存在,直接写出 的值;若不存在,请说明理由.(自己画图) 【答案】(1)① ;② 的值为60 (2)存在这样的 的值,使得 中有两个相等的角,且 或 或 【分析】(1)①利用角平分线的性质求出 的度数即可;②利用角平分线的性质和平行线的性质求 得 ; (2)分类讨论:当点 在线段 上和点 在射线 上两种情况,进行计算即可得到答案. 【详解】(1)解:① , 平分 , , , , 故答案为: ; ②如图所示, , , 平分 , , , ,, , , ,即 , 的值为60; (2)解:如图,当点 在线段 上时, , , , 若 ,则 ,即 ; 若 ,则 , ,即 ; 若 ,则 , ,即 ; 如图,点 在射线 上时, , , , 三角形的内角和为 , 只有 , 此时 , 即 ,则 不在射线 上,舍去; 综上所述,存在这样的 的值,使得 中有两个相等的角,且 或 或 . 【点睛】本题考查的是平行线的性质,角平分线的性质,三角形的内角和定理,三角形的外角的性质的应 用,熟练掌握三角形的内角和为 ,三角形的一个外角等于和它不相邻的两个内角之和,是解题的关键.16.(2022秋·湖南衡阳·七年级统考期中)定义:在一个三角形中,如果有一个角是另一个角的2倍,我 们称这两个角互为“开心角”,这个三角形叫做“开心三角形”.例如:在 中, , ,则 与 互为“开心角”, 为“开心三角形”. 【概念理解】 (1)若 为开心三角形, ,则这个三角形中最小的内角为________°; (2)若 为开心三角形, ,则这个三角形中最小的内角为________°; (3)已知 是开心 中最小的内角,并且是其中的一个开心角,试确定 的取值范围,并说明理由; 【应用拓展】 (4)如图, 平分 的内角 ,交 于点E, 平分 的外角 ,延长 和 交 于点P,已知 ,若 是开心 中的一个开心角,设 ,求 的度数. 【答案】(1) (2) (3) (4) 或 或 【分析】(1)根据开心三角形的定义结合三角形的内角和定理即可得到答案; (2)根据开心三角形的概念分两种情况求解即可; (3)由 是开心 中最小的内角,则与 互为开心角的内角只能为 ,列出不等式求解即可; (4)分 与 互为开心角和 与 互为开心角两种情况讨论求解即可. 【详解】(1)解:设最小角为 , ∵ 为开心三角形, , ∴ , ∴ , ∴这个三角形中最小的内角为 . 故答案为: ;(2)∵ , 当 与 互为“开心角”时,则最小角为 ; 当 与 互为“开心角”时,设最小角为 , ∴ , ∴ , 综上: 为开心三角形, ,则这个三角形中最小的内角为 ; 故答案为:40; (3)∵ 是开心 中最小的内角,并且是其中的一个开心角, ∴另一个开心角是 , ∴第三个内角是 , ∵ 是最小内角, ∴ , ∴ ; (4)∵ 平分 的内角 , 平分 的外角 , ∴ , , ∵ , ∴ , 即 , 又∵ ,则 , ∵ , , ∴ ,即 , ∴ , ∴ ①当 与 互为开心角时, 或 , ∴ 或 ,解得 或 ; ②当 与 互为开心角, 或 , ∴ 或 , 解得 ; 综上所述: 或 或 . 【应用拓展】本题为新定义题型,主要考查了角平分线,三角形内角和定理,三角形外角的性质以及开心 角和开心三角形的概念,一元一次方程的应用,一元一次不等式的应用,涉及到了分类讨论的思想方法, 其中熟练掌握相关概念和性质是解答本题的关键. 17.(2023春·辽宁大连·七年级校联考期中)(1)已知,如图 ,直线 ,点 在 和 之间, 点 在 上,点 在 上,直接写出 , , 之间的数量关系; (2)已知直线 ,点 , 在直线 上,点 、 在直线 上, 和 交于点 , 、 的平分线交于点 ,如图 . ①若 , ,则 ______ ; ②探究 与 的数量关系; (3)在(2)条件下,将线段 向左平移,使点 移动到点 的左侧,如图 ,其它条件不变,若 , ,求 的度数(用含 的式子表示). 【答案】(1) ;(2)① ,② ;(3) 【分析】(1)如图 ,过 作 ,根据平行线的性质即可得到结论; (2)①根据平角的定义得到 ,根据平行线的性质得到 , 根据角平分线的定义得到 ,根据三角形外角的性质即可得到结论; ②由(1)知 , ,根据角平分线的定义得到 , ,等量代换即可得到结论;(3)根据角平分线的定义得到 ,根据平角的定义得到 ,根据角 平分线的定义得到 ,根据平行线的性质即可得到结论. 【详解】解:(1) ; 理由:如图 ,过 作 , , , , ; (2)① , , , , , 平分 , , , 故答案为: ; ② , 理由:由(1)知 , , 平分 , 平分 , , , ; (3) , 平分 , , ,, 平分 , , 过 作 , , , , , . 【点睛】本题是几何变换综合题,考查了平行线的性质,三角形外角的性质,平移的性质,角平分线的定 义,熟练掌握平行线的性质是解题的关键. 18.(2023春·辽宁铁岭·七年级校考阶段练习)图1,线段 相交于点O,连接 ,我们把形 如图1的图形称之为“8字形”.如图2,在图1的条件下, 和 的平分线 和 相交于点 P,并且与 分别相交于 .试解答下列问题: (1)在图1中,请直接写出 与 之间的数量关系为 ; (2)仔细观察,在图2中“8字形”的个数: 个; (3)图2中, 和 为任意角时,其他条件不变,试问 与 之间存在着怎样的数量关系?说 明理由 (4)应用:如图2,当 时,直接说出 的度数. 【答案】(1)(2)6 (3) ,理由见详解; (4) 【分析】(1)由三角形内角和定理可得 ,进而可求解; (2)根据“8字形”的定义即可求解; (3)由 , , 和 平分 和 ,可得 ,即可求解; (4)由(3)中关系式即可求解; 【详解】(1)解:由三角形内角和定理可知 , ∵ , ∴ , 故答案为: ; (2) 与 与 与 与 与 与 ,共六个; 故答案为:6; (3)∵ , ∴ , ∵ , ∴ , ∵ 和 平分 和 , ∴ 、 , ∴ , ∴ . (4)∵ , 由(3)知 , ∴ . 【点睛】本题主要考查三角形的内角和定理、角平分线的定义,掌握相关知识并灵活应用是解题的关键. 19.(2023春·江苏·七年级期中)【概念认识】如图①,在 中,若 ,则 , 叫做 的“三分线”.其中, 是“邻 三分线”, 是“邻 三分线”.(1)如图②,在 中, , ,若 的三分线 交 于点D,则 °; (2)如图③,在 中, 、 分别是 邻 三分线和 邻 三分线,且 ,求 的度数; 【延伸推广】 (3)在 中, 是 的外角, 的三分线所在的直线与 的三分线所在的直线交于点 P.若 , ,直接写出 的度数.(用含m、n的代数式表示) 【答案】(1)85或100 (2) (3) 或 或 或 或 【分析】(1)根据题意可得 的三分线 有两种情况,画图根据三角形的外角性质即可得 的度 数; (2)根据 、 分别是 邻 三分线和 邻 三分线,且 可得∠ ,进而可求 的度数; (3)根据 的三分线所在的直线与 的三分线所在的直线交于点 .分四种情况画图:情况一: 如图①,当 和 分别是“邻 三分线”、“邻 三分线”时;情况二:如图②,当 和 分别 是“邻 三分线”、“邻 三分线”时;情况三:如图③,当 和 分别是“邻 三分线”、“邻 三分线”时;情况四:如图④,当 和 分别是“邻 三分线”、“邻 三分线”时,再根据 , ,即可求出 的度数. 【详解】(1)解:如图,当 是“邻 三分线”时, ; 当 是“邻 三分线”时, ; 故答案为:85或100; (2)∵ , ∴ , ∴ , 又∵ 、 分别是 邻 三分线和 邻 三分线, ∴ , ∴ , ∴ , 在 中, , ∴ . (3)分4种情况进行画图计算: 情况一:如图①,当 和 分别是“邻 三分线”、“邻 三分线”时, 由题意可得: , , ∵ ,∴ ; 情况二:如图②,当 和 分别是“邻 三分线”、“邻 三分线”时, 由题意可得: , , ∵ , ∴ ; 情况三:如图③,当 和 分别是“邻 三分线”、“邻 三分线”时, 由题意可得: , , ∵ , ∴ ;情况四:如图④、⑤,当 和 分别是“邻 三分线”、“邻 三分线”时, ①当 时, , , ∵ , ∴ ; ②当 时, , , ∵ ∴ . 综上所述: 的度数为: 或 或 或 或 【点睛】本题考查了三角形的外角性质,解决本题的关键是掌握三角形的外角性质.注意要分情况讨论. 20.(2023春·江苏·七年级专题练习)(1)如图1, 的平分线 与 的平分线 交于点E, ,则 的大小是 ; (2)如图2, 的平分线 与 的平分线 交于点E, ,求 的大小;(用含 的代数式表示) (3)如图3,在 中, , 是 的角平分线,点E是 延长线 上一点,作 与点F,请问 的值是否发生变化?若不变,求出其值;若改变,请说明理由.【答案】(1) ;(2) ;(3)不变, 【分析】(1)延长 ,与 交于点H,过点E作射线 ,根据三角形的外角定理得 ,求得 ,再根据角平分线定义求得 ,再根据 三角形的外角定理得 便可; (2)过点C作射线 ,根据三角形的外角性质得 ,再由 的平分线 与 的平分线 交于点E,得 ,根据三角形外角性质得 ,进而得 ; (3)由三角形内角和定理得 ,由角平分线定义得 ,由 三角形外角定理得 ,根据直角三角形两锐角互余定理得 ,进而便可求得结果. 【详解】解:(1)如图,延长 ,与 交于点H,过点E作射线 , ∵ ,∴ , ∵ , ∴ , ∵ , ∴ , ∵ 的平分线 与 的平分线 交于点E, ∴ , ∵ , , ∴ , 故答案为: ; (2)过点C作射线 ,如图, ∴ , ∵ 的平分线 与 的平分线 交于点E, ∴ , , ∵ , ∴ ; (3) 的值不变,恒为 .理由如下: ∵ , ∴ , ∵ 是 的角平分线,∴ , ∴ ∵ , ∴ , ∴ , 故 的值不变,恒为 . 【点睛】此题考查了三角形内角和定理、三角形外角的性质、平行线的性质、垂直的性质以及角平分线的 定义,熟练掌握平行线的性质、三角形外角性质及角平分线的性质是解决问题的关键. 21.(2023春·七年级课时练习)如图, , 相交于点 , , . (1)求证: ; (2)若 ,求 的度数;(用含 的式子表示) (3)若点 在 上,连接 , 平分 交 于点 ,如图所示,直接写出 、 、 的数量关系 . 【答案】(1)证明见解析; (2) ; (3) . 【分析】(1)通过计算 ,由平行线的判定内错角相等两直线平行即可证明 ; (2)依据两直线平行内错角相等及角度计算可得 .(3)通过作辅助线,由平行线的性质、角平分线的性质以及三角形的性质即可证明 . 【详解】(1)证明: , , , ; (2)解:如图,过 作 , , , , , , , , ; (3)证明:如图,过点 作 , , ,, , , 平分 , , , , ; 故本题答案为: . 【点睛】本题主要考查了平行线的判定及性质,角平分线及三角形的性质;解题的关键是作辅助线,构造平行线. 22.(2023春·辽宁大连·七年级校考阶段练习)如图1是一张长方形的纸片,将这张长方形的纸片沿 折 叠成图1的形状. 张明同学发现折叠之后,四边形 与四边形 是完全相同的图形,因此折痕恰好是 的平 分线. (1)图1中,若 时,求 的值; (2)将长方形纸片的右边沿着 折叠,左边沿着 折叠,如图2所示,若两条折痕形成的夹角 , 求 与 形成的夹角 的度数. (3)将长方形纸片的右边沿着 折叠,左边沿着 折叠,如图3所示,试探究两条折痕形成的夹角 与 、 形成的夹角 之间的数量关系. 【答案】(1) (2) (3)【分析】(1)根据翻折以及平行的性质即可作答; (2)根据题意,结合翻折可知, , ,即有 ,根据 ,可得 ,根据 ,可得 ,即可得 ,再根据 ,有 ; (3)根据题意,结合翻折可知, , ,根据平行的性质有 , ,根据 ,可得 ,根据 , 可得 ,即可得 ,问题随之得解. 【详解】(1)∵ 平分 , , ∴ , ∵ , ∴ , 即所求角度为 ; (2)如图, 根据题意,结合翻折可知, , , ∴ , ∵ , ∴ , ∴ , ∵ , ∴ , ∴ , ∴ ,∴ , ∴ , ∵ , ∴ , ∴ ; (3)如图, 根据题意,结合翻折可知, , , ∵ , , ∴ , , ∵ , ∴ ,即 , ∵ , ∴ , ∴ , ∴ , ∵ , , ∴ , ∴ , 即满足关系 . 【点睛】本题考查了长方形翻折、平行线的性质、三角形的内角和定理以及三角形外角的性质等知识,根 据翻折找到正确的角的等量关系是解答本题的关键. 23.(2023春·江苏·七年级期末)在我们苏科版义务教育教科书数学七下第42页曾经研究过双内角平分线 的夹角和内外角平分线夹角问题.聪聪在研究完上面的问题后,对这类问题进行了深入的研究,他的研究 过程如下:【问题再现】 (1)如图1,在 中, 、 的角平分线交于点P, ,则 ______°; 【问题解决】 (2)如图2,在 中, 、 的角平分线交于点P,将 沿DE折叠使得点A与点P重合, 若 ,求 的度数; 【问题推广】 (3)如图3,在 中, 的角平分线与 的外角 的角平分线交于点P,过点B作 于点H,若 ,直接写出 ______°; 【拓展提升】 (4)在四边形 中, ,点F在射线 上运动(点F不与E,D两点重合),连接 , , 、 的角平分线交于点Q,若 , ,直接写出 和α,β之间的数量关系. 【答案】(1)110 (2) (3)49 (4) 在 左侧 ; 在 中间 ; 在 右侧 【分析】(1)根据三角形内角和定理和角平分线的定义求解即可; (2)先由折叠的性质和平角的定义得到 ,进而求出 ,同(1)即可得到答案; (3)先由角平分线的定义得到 , ,再由三角形外角的性质得到 ,根据三角形内角和定理推出 ,再由垂线的定义得到 ,则 ; (4)分点 在点 左侧,点 在 、 之间,点 在点 右侧三种情况讨论求解即可.【详解】(1)解:∵ , ∴ , ∵ 平分 , 平分 , ∴ , , ∴ ,即 , ∴ , 故答案为:110; (2)由折叠的性质可得 , , ∵ , , , ∴ , ∴ , ∴ , ∵ , ∴ , ∵ 平分 , 平分 , ∴ , , ∴ ,即 , ∴ ; (3)∵ 平分 , 平分 , ∴ , , ∵ , ∴ , ∵ , ∴ , 则 ∴ , ∵ ,即 , ∴ ; 故答案为:49; (4)当点 在点 左侧时,如图 所示,∵ , ∴ , ∵ 平分 , 平分 , ∴ , , ∵ , ∴ ; 当 在 、 之间时,如图 所示: 同理可得 , , , ∴ ;当点F在D点右侧时,如图 所示: 同理可得 ; 综上所述, 在 左侧 ; 在 中间 ; 在 右侧 . 【点睛】本题主要考查了三角形内角和定理,角平分线的定义,平行线的性质,垂线的定义,熟知相关知 识是解题的关键. 24.(2023春·江苏·七年级期末)【数学经验】三角形的中线,角平分线,高是三角形的重要线段,我们 知道,三角形的3条高所在直线交于同一点. (1)①如图1, 中, ,则 的三条高所在的直线交于点 ; ②如图2, 中, ,已知两条高 , ,请你仅用一把无刻度的直尺(仅用于过任意两 点作直线、连接任意两点、延长任意线段)画出 的第三条高.(不写面法,保留作图痕迹). 【综合应用】 (2)如图3,在 中, , 平分 ,过点 作 于点 .①若 ,则 ; ②请写出 与 , 之间的数量关系 ; 【拓展延伸】 (3)三角形的中线将三角形分成面积相等的两部分,如果两个三角形的高相同,则他们的面积比等于对 应底边的比.如图 , 是 上一点,则有 .如图 , 中,M是 上一点 = ,N是 的中点,若三角形 的面积是m,请直接写出四边形 的面积 .(用含 的代数式表示) 【答案】(1)① ;②见解析;(2)① ;② ;(3) 【分析】(1)①由直角三角形三条高的定义即可得出结论; ②分别延长 , ,两者交于 ,连接 交 的延长线于 , 即为所求; (2)①由三角形内角和定理和角平分线的定义可以得出 ,再由直角三角形的性质 得 ,即可求解; ②由三角形内角和定理和角平分线的定义求解即可; (3)连接 ,由中线的性质得 ,同理: ,设 , , 再求出 , ,利用面积关系求解即可. 【详解】解:(1)① 直角三角形三条高的交点为直角顶点, , 的三条高所在直线交于点 , 故答案为: ; ②如图,分别延长 , ,两者交于 ,连接 交 的延长线于 , 即为所求;(2)① , , , 平分 , , , , , , 故答案为: ; ② 与 , 之间的数量关系为: , , , , 平分 , , , , , , 故答案为: ; (3)连接 ,如图所示:是 的中点, , , 同理: , 设 , 的面积是 , , , , , , , , , , , 即: , 解得: ,, 故答案为: 【点睛】本题主要考查了三角形的高,三角形的中线,三角形内角和,三角形面积,解题的关键在于能够 熟练掌握相关知识进行求解. 25.(2023春·湖北武汉·七年级校考阶段练习)已知:如图,直线 , 于点C,连接 且分 别交直线a、b于点E、F. (1)如图①,若 和 的角平分线 、 交于点M,请求 的度数; (2)如图②,若 的角平分线 分别和直线 及 的角平分线 的反向延长线交于点N和点 M,试说明: ; (3)如图③,点M为直线a上一点,连接 , 的角平分线 交直线a于点N,过点N作 交 的角平分线 于点Q,若 记为 ,请直接用含 的代数式来表示 . 【答案】(1) (2)见解析 (3)【分析】(1)根据平行线的性质得 ,再根据角平分线的定义得 , ,则 ,即可得出答案; (2)过点 作 ,利用平行线性质得 , ,则 ,再根据角平分线的定义得 ,再利用等量代换可得答案; (3)根据平行线的性质得 ,再利用角平分线的定义得 , ,则 ,即 ,进而 解决问题. 【详解】(1)解: , , 和 的角平分线 、 交于点 , , , , ; (2)如图,过点 作 , 则 , , , , , 平分 , 平分 ,, , , , , ; (3) ,理由如下: , , 即 , 平分 , 平分 , , , , 即 , , , , , 则 , , . 【点睛】本题主要考查了平行线的性质,角平分线的定义,三角形内角和定理等知识,熟练掌握平行线的 性质是解题的关键. 26.(2023春·四川达州·七年级校考阶段练习)如图, ,点 , 分别在直线 , 上,点 在直线 和 之间.(1)求证: . (2)如图, ,点 在直线 上,且 ,求证: . (3)如图, 平分 , 平分 ,且 .若 , ,求 的度 数. 【答案】(1)见解析 (2)见解析 (3) 【分析】(1)过点 作 ,根据两直线平行,内错角相等得到 , , 根据角的和差等量代换即可得解; (2)由两直线平行,同旁内角互补得到 ,由邻补角定义得到 , 再等量代换即可得解; (3)由平行线的性质得到, ,再由角平分线的定义及平行线的性质得到 ,最后根据三角形的内角和是 即可求解. 【详解】(1)解:证明:如图1,过点 作 , , , , , , , 即: ; (2)证明: , , , ,, 即 , ; (3) , , , 即 , , 由(1)可知, , 平分 , 平分 , , , 又 , , , , . 【点睛】此题考查了平行线的性质,熟记平行线的性质定理及三角形的内角和定理是解题的关键. 27.(2023秋·八年级单元测试)【阅读理解】 三角形内角和定理告诉我们:如图①,三角形三个内角的和等于 . 如图②,在 中,有 ,点D是 延长线上一点.由平角的定义可得 ,所以 .从而得到三角形内角和定理的推论:三角形的外角等于与它 不相邻的两个内角的和.【初步应用】 如图③,点D,E分别是 的边 延长线上一点, (1)若 ,则 ______ ; (2)若 ,则 ______ ; (3)若 ,则 ______ . 【拓展延伸】 如图④,点D,E分别是 的边 延长线上一点, (4)若 ,分别作 和 的平分线交于点O,则 ______ ; (5)若 ,分别作 和 的三等分线交于点O,且 , , 则 ______ ; (6)若 ,分别作 和 的n等分线交于点O,且 , , 则 ______ . 【答案】(1) ;(2) ;(3) ;(4)60;(5)100;(6) . 【分析】(1)根据三角形外角的性质求解即可; (2)根据三角形外角的性质结合三角形内角和定理求解即可; (3)由(2)同理求解即可; (4)根据角平分线的定义可得出 , ,即可求出 ,再结合(2)即得出 ,最后由三角形内角和定 理求解即可;(5)由 , ,即可求出 ,再结合 (2)即得出 ,最后由三角形内角和定理求解即可; (6)由 , ,即可求出 ,结合(3) 可知 ,最后由三角形内角和定理求解即可. 【详解】(1)由三角形外角的性质可得出 . 故答案为: ; (2)∵ , , ∴ . ∵ , , ∴ . 故答案为: ; (3)由(2)同理可得 . ∵ , , ∴ 故答案为: ; (4)∵ 和 的平分线交于点O, ∴ , , ∴ . 由(2)可知 , ∴ , ∴ . 故答案为: ; (5)∵ , , ∴ .由(2)可知 , ∴ , ∴ . 故答案为:100; (6)∵ , , ∴ . 由(3)可知 , ∴ , ∴ . 故答案为: . 【点睛】本题考查三角形内角和定理的应用,三角形外角的性质,角平分线的定义和角的n等分点的定义. 利用数形结合的思想是解题关键. 28.(2023春·七年级单元测试)如图1,直线 与直线 、 分别交于点E、F, 与 互补. (1)试判断直线 与直线 的位置关系,并说明理由; (2)如图2, 与 的角平分线交于点P, 与 交于点G,点H是 上一点,且 , 求证: ; (3)如图3,在(2)的条件下,连接 ,K是 上一点使 ,作 平分 ,问的大小是否发生变化?若不变,请直接写出其值. 【答案】(1) ;见解析 (2)见解析 (3) 的大小不会发生变化,其值为 ,见解析 【分析】(1)利用对顶角相等、等量代换可以推知 ,进而可证 ; (2)利用(1)中平行线的性质推知 ,然后根据角平分线的定义、三角形内角和定 理证得 ,结合 ,可证 ; (3)利用三角形外角定理、三角形内角和定理求得 ;再由邻补角的定 义、角平分线的定义推得 ,然后由图形中角与角的和差关系求得 即可. 【详解】(1)如图1,∵ 与 互补, ∴ . 又∵ , , ∴ , ∴ ; (2)如图2,由(1)知, , ∴ . 又∵ 与 的角平分线交于点P, ∴ , ∴ ,即 . ∵ , ∴ ; (3) 的大小不会发生变化,其值为 理,由如下:∵ ∴ ∵ ∴ ∴ ∵ 平分 ∴ ∴ ∴ 的大小不会发生变化,其值为 . 【点睛】本题考查了平行线的性质与判定,三角形的内角和定理的应用,三角形的外角的性质,平行线的 判定是由角的数量关系判断两直线的位置关系,平行线的性质是由平行关系来寻找角的数量关系. 29.(2023春·七年级课时练习)【认识概念】如图1,在 中,若 ,则 , 叫做 的“三分线”.其中, 是“近 三分线”, 是“远 三分线”. 【理解应用】 (1)在 中, , ,若 的三分线 与 的角平分线 交于点 ,则 ;(2)如图2,在 中, 、 分别是 的近 三分线和 近 三分线,若 ,求 的度数; 【拓展应用】 (3)如图3,在 中, 、 分别是 的远 三分线和 远 三分线,且 ,直 线 过点 分别交 、 于点 、 ,请直接写出 的度数(用含 的代数式表示). 【答案】(1) 或 ; (2) ; (3) 【分析】(1)分两种情况:当 为近 三分线时,如图所示,求得 ,再利用角平分线 的定义求得 ,最后在 中利用三角形的内角和定理即可; (2)利用 分别是 近 三分线和 近 三分线,求得 ,然后再 利用三角形的内角和定理即可求解; (3)如图2,在 中,利用三角形的内角和定理求 ,再利用 分别是 的远 三分线和 远 三分线,求得 ,进而在 中利用内角和 定理求 ,结合 ,即可求得 . 【详解】(1)分两种情况: ①如图,当 为近 三分线时, , ,平分 , , , ; ②如图,当 为远 三分线时, , , 平分 , , , , 故答案为: 或 ; (2)如图1, 、 分别是 近 三分线和 近 三分线, , , , ,, , 在 中, , ; (3)如图2, 在 中, , , . 、 分别是 的远 三分线和 远 三分线, , , 在 中, , , ; , . 【点睛】本题考查了角平分线的计算,三分线的新定义,三角形的内角和定理,理解新定义是解题的关键. 30.(2023春·江苏南通·七年级南通田家炳中学校考阶段练习)已知,直线 ,点 、 分别在直 线 、 上,点 是直线 与 外一点,连接 、 .(1)如图1,若 , ,求 的度数; (2)如图2,过点 作 的角平分线 交 的延长线于点 , 的角平分线 交 的反向延 长线交于点 ,若 与 互补,试探索直线 与直线 的位置关系,并说明理由; (3)若点 在直线 的上方且不在直线 上,作 的角平分线 交 的角平分线 所在直线 于点 ,请直接写出 与 的数量关系. 【答案】(1) (2) ,理由见解析 (3) 或 . 【分析】(1)过点 作 ,根据平行线的性质可得 ; (2) ,根据角平分线的定义和三角形外角的性质可得 ,进而可得结论; (3)根据角平分线的定义和平行线的性质分情况讨论即可. 【详解】(1)解:过点 作 , ∵ , , ∴ , ∵ , , ∴ , , ∴ ;(2) ,理由如下: 如图, ∵ 平分 , 平分 , ∴ , , ∵ , ∴ , 过点 作 ,则 , ∴ , , ∴ , 由三角形外角的性质可得, , ∵ 与3 互补, ∴ , 整理得, , ∴ ; (3)① .如图, ∵ , ∴ , , ∵ 平分 , 平分 ,∴ , , 由外角的性质得, , , ∴ , ∴ . ② .如图, ∵ , ∴ , 由外角的性质得, , 过点 作 ,则 , ∴ , , ∴ , ∴ , ∴ . 综上, 或 . 【点睛】本题考查平行线判定和性质,角平分线的定义,三角形外角与内角的关系,根据题意理清各角之 间的关系是解题关键.