当前位置:首页>文档>微专题平面向量与三角函数、解三角形的综合问题学案-2023届高考数学一轮《考点·题型·技巧》精讲与精练_2.2025数学总复习_赠品通用版(老高考)复习资料_一轮复习

微专题平面向量与三角函数、解三角形的综合问题学案-2023届高考数学一轮《考点·题型·技巧》精讲与精练_2.2025数学总复习_赠品通用版(老高考)复习资料_一轮复习

  • 2026-04-17 16:17:29 2026-03-20 03:53:13

文档预览

微专题平面向量与三角函数、解三角形的综合问题学案-2023届高考数学一轮《考点·题型·技巧》精讲与精练_2.2025数学总复习_赠品通用版(老高考)复习资料_一轮复习
微专题平面向量与三角函数、解三角形的综合问题学案-2023届高考数学一轮《考点·题型·技巧》精讲与精练_2.2025数学总复习_赠品通用版(老高考)复习资料_一轮复习
微专题平面向量与三角函数、解三角形的综合问题学案-2023届高考数学一轮《考点·题型·技巧》精讲与精练_2.2025数学总复习_赠品通用版(老高考)复习资料_一轮复习
微专题平面向量与三角函数、解三角形的综合问题学案-2023届高考数学一轮《考点·题型·技巧》精讲与精练_2.2025数学总复习_赠品通用版(老高考)复习资料_一轮复习
微专题平面向量与三角函数、解三角形的综合问题学案-2023届高考数学一轮《考点·题型·技巧》精讲与精练_2.2025数学总复习_赠品通用版(老高考)复习资料_一轮复习
微专题平面向量与三角函数、解三角形的综合问题学案-2023届高考数学一轮《考点·题型·技巧》精讲与精练_2.2025数学总复习_赠品通用版(老高考)复习资料_一轮复习
微专题平面向量与三角函数、解三角形的综合问题学案-2023届高考数学一轮《考点·题型·技巧》精讲与精练_2.2025数学总复习_赠品通用版(老高考)复习资料_一轮复习
微专题平面向量与三角函数、解三角形的综合问题学案-2023届高考数学一轮《考点·题型·技巧》精讲与精练_2.2025数学总复习_赠品通用版(老高考)复习资料_一轮复习
微专题平面向量与三角函数、解三角形的综合问题学案-2023届高考数学一轮《考点·题型·技巧》精讲与精练_2.2025数学总复习_赠品通用版(老高考)复习资料_一轮复习
微专题平面向量与三角函数、解三角形的综合问题学案-2023届高考数学一轮《考点·题型·技巧》精讲与精练_2.2025数学总复习_赠品通用版(老高考)复习资料_一轮复习
微专题平面向量与三角函数、解三角形的综合问题学案-2023届高考数学一轮《考点·题型·技巧》精讲与精练_2.2025数学总复习_赠品通用版(老高考)复习资料_一轮复习
微专题平面向量与三角函数、解三角形的综合问题学案-2023届高考数学一轮《考点·题型·技巧》精讲与精练_2.2025数学总复习_赠品通用版(老高考)复习资料_一轮复习
微专题平面向量与三角函数、解三角形的综合问题学案-2023届高考数学一轮《考点·题型·技巧》精讲与精练_2.2025数学总复习_赠品通用版(老高考)复习资料_一轮复习
微专题平面向量与三角函数、解三角形的综合问题学案-2023届高考数学一轮《考点·题型·技巧》精讲与精练_2.2025数学总复习_赠品通用版(老高考)复习资料_一轮复习
微专题平面向量与三角函数、解三角形的综合问题学案-2023届高考数学一轮《考点·题型·技巧》精讲与精练_2.2025数学总复习_赠品通用版(老高考)复习资料_一轮复习
微专题平面向量与三角函数、解三角形的综合问题学案-2023届高考数学一轮《考点·题型·技巧》精讲与精练_2.2025数学总复习_赠品通用版(老高考)复习资料_一轮复习
微专题平面向量与三角函数、解三角形的综合问题学案-2023届高考数学一轮《考点·题型·技巧》精讲与精练_2.2025数学总复习_赠品通用版(老高考)复习资料_一轮复习
微专题平面向量与三角函数、解三角形的综合问题学案-2023届高考数学一轮《考点·题型·技巧》精讲与精练_2.2025数学总复习_赠品通用版(老高考)复习资料_一轮复习
微专题平面向量与三角函数、解三角形的综合问题学案-2023届高考数学一轮《考点·题型·技巧》精讲与精练_2.2025数学总复习_赠品通用版(老高考)复习资料_一轮复习
微专题平面向量与三角函数、解三角形的综合问题学案-2023届高考数学一轮《考点·题型·技巧》精讲与精练_2.2025数学总复习_赠品通用版(老高考)复习资料_一轮复习
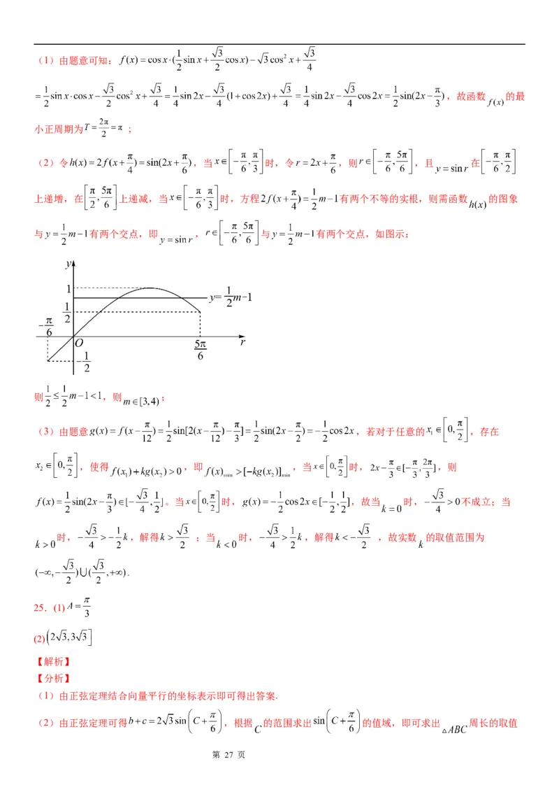
微专题平面向量与三角函数、解三角形的综合问题学案-2023届高考数学一轮《考点·题型·技巧》精讲与精练_2.2025数学总复习_赠品通用版(老高考)复习资料_一轮复习
微专题平面向量与三角函数、解三角形的综合问题学案-2023届高考数学一轮《考点·题型·技巧》精讲与精练_2.2025数学总复习_赠品通用版(老高考)复习资料_一轮复习
微专题平面向量与三角函数、解三角形的综合问题学案-2023届高考数学一轮《考点·题型·技巧》精讲与精练_2.2025数学总复习_赠品通用版(老高考)复习资料_一轮复习
微专题平面向量与三角函数、解三角形的综合问题学案-2023届高考数学一轮《考点·题型·技巧》精讲与精练_2.2025数学总复习_赠品通用版(老高考)复习资料_一轮复习
微专题平面向量与三角函数、解三角形的综合问题学案-2023届高考数学一轮《考点·题型·技巧》精讲与精练_2.2025数学总复习_赠品通用版(老高考)复习资料_一轮复习
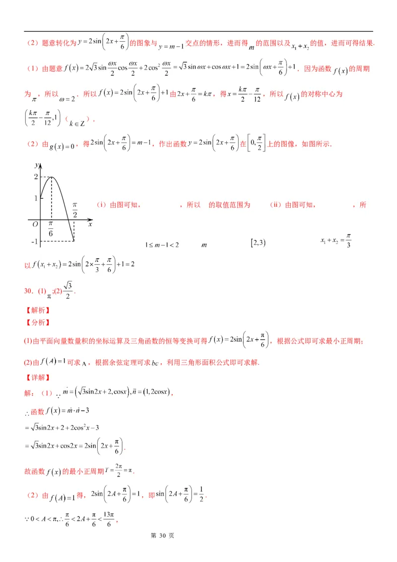
微专题平面向量与三角函数、解三角形的综合问题学案-2023届高考数学一轮《考点·题型·技巧》精讲与精练_2.2025数学总复习_赠品通用版(老高考)复习资料_一轮复习
微专题平面向量与三角函数、解三角形的综合问题学案-2023届高考数学一轮《考点·题型·技巧》精讲与精练_2.2025数学总复习_赠品通用版(老高考)复习资料_一轮复习
微专题平面向量与三角函数、解三角形的综合问题学案-2023届高考数学一轮《考点·题型·技巧》精讲与精练_2.2025数学总复习_赠品通用版(老高考)复习资料_一轮复习
微专题平面向量与三角函数、解三角形的综合问题学案-2023届高考数学一轮《考点·题型·技巧》精讲与精练_2.2025数学总复习_赠品通用版(老高考)复习资料_一轮复习
微专题平面向量与三角函数、解三角形的综合问题学案-2023届高考数学一轮《考点·题型·技巧》精讲与精练_2.2025数学总复习_赠品通用版(老高考)复习资料_一轮复习
微专题平面向量与三角函数、解三角形的综合问题学案-2023届高考数学一轮《考点·题型·技巧》精讲与精练_2.2025数学总复习_赠品通用版(老高考)复习资料_一轮复习
微专题平面向量与三角函数、解三角形的综合问题学案-2023届高考数学一轮《考点·题型·技巧》精讲与精练_2.2025数学总复习_赠品通用版(老高考)复习资料_一轮复习

文档信息

文档格式
docx
文档大小
1.748 MB
文档页数
32 页
上传时间
2026-03-20 03:53:13

文档内容

微专题:平面向量与三角函数、解三角形的综合问题 【考点梳理】 平面向量与三角函数、解三角形相关的交汇问题,主要体现在平面向量的坐标表示的计算上 【典例剖析】 典例1.若向量 , , 的最大值为 . (1)求 的值; (2)求 图像的对称中心. 典例2.已知锐角 的内角A,B,C所对的边分别为a,b,c,向量 , ,且 . (1)求角 的大小; (2)若 , 边上的中线 长为 ,求 . 典例3.已知在△ABC中,角A,B,C的对边分别为a,b,c,___________. ① ;② ;③ . 请在以上三个条件中任选一个补充在横线处,并解答: (1)求角C的值; (2)若 且 ,求 的值. 【双基达标】 4.已知 , , . (1)求 的值 . 第 1 页 学学科科网网((北北京京))股股份份有有限限公公司司(2)求函数 在区间 上的最大值和最小值. 5.已知平面向量 , .从下列条件①,条件②中选出一个作为已知条件,解答下列问题: (1)求 的值; (2)求向量 夹角的余弦值. 条件①: ;条件②: . 注:如果选择条件①和条件②两个条件分别解答,按第一个解答计分. 6.已知向量 . (1)若 ,求x的值; (2)记 ,求 的最大值和最小值以及对应的x的值. 7.已知向量 , ,设函数 . (1)求函数 在 上的零点; (2)当 时,关于x的方程 有2个不等实根,求m的取值范围. 8.已知向量 , (其中 ),函数 的最小正周期 为 . (1)求函数 的单调增区间; (2) 的内角 的对边分别为 ,若 ,求函数 的值域. 9.已知向量 ,函数 , . (1)当 时,求 的值; (2)若 的最小值为 ,求实数 的值. 第 2 页 学学科科网网((北北京京))股股份份有有限限公公司司10.已知向量 ,函数 ,且 的图象经过点 和点 . (1)求 的解析式; (2)将函数 图象上所有点的横坐标伸长到原来的2倍,再把所得曲线向上平移 个单位长度,得到曲线 ,已知函数 满足 ,若 在区间 上单调递增,求 的取值范围. 11.设函数 ,其中 , , . (1)求函数f(x)的最小值及相应的x的值; (2)若函数 的最大值为 ,求实数a的值. 12.已知向量 ,且 ,常数 . (1)若 ,求函数 在 的严格增区间; (2)设实数 满足 .若对任意 ,不等式 都成立,求 的值以及方程 在闭区间 上的解. 13.已知向量 ,向量 . (1)若 是第四象限角,且 ,求 的值; (2)若函数 ,对于 ,不等式 (其中 )恒成立,求 的最大值. 14.已知 , , , ,记函数 ,若函 数 的图象相邻两条对称轴之间距离为 . (1)求函数 单调递增区间; 第 3 页 学学科科网网((北北京京))股股份份有有限限公公司司(2)设 的三个内角 、 、 对应三边 、 、 ,满足 ,且 ,求 的最大值. 15.在 中,角A,B,C的对边分别为a,b,c,且 . (1)求角A的大小; (2)若 , ① 的角平分线交 于M,求线段 的长; ②若D是线段 上的点,E是线段 上的点,满足 ,求 的取值范围. 【高分突破】 一、单选题 16.已知平面向量 , , ,函数 . (1)求 的解析式及其对称中心; (2)若函数 的图像可由函数 的图像向左平移 个单位,横坐标伸长到原来的2倍得到,求函数 在 的值域. 17.已知 , 函数 . (1)求 的最小正周期和最大值; (2)求 在 上的单调区间. 18.在 中,已知角 所对的边分别为 , ,向量 , ,且 . (1)求角 的大小; (2)当 取得最大值时,求角 的大小和 的面积. 第 4 页 学学科科网网((北北京京))股股份份有有限限公公司司19.已知平面向量 , . (1)若 , ,求实数x的值; (2)求函数 的单调递增区间. 20.已知向量 , ,函数 . (1)求函数 在 上的值域; (2)若 的内角 , , 所对的边分别为 , , ,且 , , ,求 的面积. 21.已知向量 ,函数 . (1)求 的单调增区间; (2)设 ,若 ,求 的值. 22.已知向量 ,向量 . (1)当 时,求 的值; (2)求 在 上的增区间. 23.已知 为坐标原点,对于函数 ,称向量 为函数 的相伴特征向量,同时称 函数 为向量 的相伴函数. (1)若向量 为 的相伴特征向量,求实数 的值; (2)记向量 的相伴函数是 ,求 在 的值域. 24.已知向量 ,设函数 (1)求函数 的最小正周期; 第 5 页 学学科科网网((北北京京))股股份份有有限限公公司司(2)当 时,方程 有两个不等的实根,求m的取值范围; (3)若函数 ,若对于任意的 ,存在 ,使得 ,求实数 的取值范 围. 25.在 中,角A,B,C所对的边分别为a,b,c,已知向量 , ,且 . (1)求角A的大小; (2)若 ,求 周长的取值范围. 26.在 中,角 所对的边分别是 ,设向量 ,且 . (1)求角A的值; (2)若 ,求 的周长l的取值范围. 27. 已知向量 , 函数 . (1)当 时, 求 的取值范围. (2)当 和 的夹角为锐角时, 求 的取值范围. 28.已知函数 . (1)求 的单调递增区间; (2)设a,b,c分别为 内角A,B,C的对边,已知 , ,且 ,求 的周长. 29.已知 , ( ),函数 的周期为 ,当 时,函数 有两个不同的零点 , . (1)求函数 的对称中心的坐标; (2)(i)实数 的取值范围; (ii)求 的值. 第 6 页 学学科科网网((北北京京))股股份份有有限限公公司司30.已知向量 ,设函数 . (1)求函数 的最小正周期; (2)在 中, 分别是角 的对边,若 ,且 ,求 的面积. 第 7 页 学学科科网网((北北京京))股股份份有有限限公公司司参考答案: 1.(1) (2) , 【解析】 【分析】 (1)根据题中函数解析式,结合向量数量积的坐标运算公式、辅助角公式,进行化简即可; (2)根据三角函数对称中心公式计算即可. (1)由题意得, ,因为 的最大值为 ,所以 ,即 . (2)令 得: , ,所以 的对称中心为 , . 2.(1) (2) 【解析】 【分析】 (1)根据向量共线的坐标表示得到 ,再由正弦定理将边化角,从而解得; (2)依题意可得 ,将两边平方,根据数量积的运算律得到方程,即可求出 ,再检验即可. (1) 解:因为 , ,且 , 所以 , 由正弦定理可得 , 由 ,所以 ,又 为锐角,所以 . (2) 解:在 中, , 所以 , 即 ,整理得 , 解得 (舍去)或 . 此时, , , 为等边三角形,符合题意,故 . 第 8 页3.(1) (2) 【解析】 【分析】 (1)若选①,由正弦定理及正弦的两角和可得,若选②,由正弦定理及余弦定理可得,若选③,由余弦的二倍角 公式可得; (2)由平面向量的数量积及余弦定理可求解. (1) 若选①,由已知有 ,又因为,在△ABC中,有 , 所以有 , 化简得 ,由于 ,所以 , 所以有 ,于是有 ,因 ,所以得 . 若选②,由 , 得 , 因 ,所以 . 若选③,由 , 有 , 从而有 ,解得 或 (舍)(因为 ), 所以 . (2) 由 ,可得点 为 的中点,且有 , 所以有 , 若 ,则 , 又 , 所以 , 从而可得 , 所以有 ,可得 . 第 9 页4.(1)3 (2)最大值为3,最小值为 【解析】 【分析】 (1)先根据倍角公式以及进行三角恒等变换之后代入求值即可. (2)根据给定的区间求出 的取值范围,再根据正弦函数的单调性求出最值. (1)解:由题意得 , , 当 时, (2)当 时, 令 时, 在 上单调递增. 函数 在区间 上的最大值为 ,最小值为 . 5.(1) (2) 【解析】 【分析】 (1)若选①:由已知求得 ,再由向量垂直的坐标表示可求得答案; 若选②,由已知得 ,再由向量的模的计算公式可求得答案; (2)由(1)得 ,由向量 夹角的坐标计算公式可求得答案. (1) 解:若选①:因为 , ,所以 , 又 ,所以 ,解得 ; 若选②,因为 , ,所以 , 又 ,所以 ,又 ,解得 ; (2) 解:由(1)得 ,所以 , , 所以 , 第 10 页所以向量 夹角的余弦值为 . 6.(1) 或 (2)当 时, 有最大值,最大值为 ;当 时, 有最小值,最小值0 【解析】 【分析】 (1)由 可得 ,从而可求出x的值; (2)由向量的数量积运算和三角函数恒等变换公式可得 ,由 得 , 再利用正弦函数的性质可求出函数的最值 (1) ∵ ∴ 当 时, 当 时, ,又 ∴ ∴ 或 (2) ∵ , ∴ ∵ ∴ ∴ , ∴ 当 ,即 时, 有最大值,最大值为 ; 当 ,即 时, 有最小值,最小值0. 第 11 页7.(1)零点为 π, ,0, ,π (2) 【解析】 【分析】 (1)先利用向量的数量积公式和三角函数恒等变换公式对函数化简变形可得 ,然后令 可求得函数的零点, (2)令 ,求出 的解析式,求出其单调区间及最值,将问题转化为 的图象与直线 有两个不同的交点,从而可求出m的取值范围 (1) 令 ,则 , 所以 或 , 所以 或 , 所以 在 上零点为 π, ,0, ,π; (2) 令 ,则 , 所以 在 上递增,在 上递减, 因为 , , , 所以若 有2个不等实根,则 , 所以 第 12 页8.(1) (2) . 【解析】 【分析】 (1)根据向量数量积的坐标运算及降幂公式,再利用辅助角公式及正弦型函数的周期公式,结合正弦型函数单调 递增区间的求法即可求解; (2)根据已知条件及余弦定理,再利用换元法及重要不等式,结合函数单调性的运算性质、三角不等式的解法及 三角函数的性质即可求解. (1) 因为 , , 所以 因为函数 的最小正周期为 , 所以 ,解得 ,所以 , 由 ,得 , 所以函数 的单调增区间为 . (2) 由 ,得 , 在 中,由余弦定理得 , 令 ,当且仅当 时,等号成立, 则 第 13 页由函数单调性的性质知,函数 在 上单调递增, 所以 ,因为 , 所以 ,所以 ,所以 ,所以 , 所以函数 的值域为 . 9.(1) ; (2) . 【解析】 【分析】 (1)求出 ,即得解; (2)对 分三种情况结合二次函数的图象和性质求解. (1) 解:∵ , , ∴ , 当 时, ; (2) 解:∵ 当 时, , ∴若 ,则当且仅当 时, , 令 ,解得 , 但只有 符合要求; 若 ,则当且仅当 时, 令 ,解得 ,不为所求; 第 14 页若 ,则当且仅当 时, 令 ,解得 ;也不为所求. 综上,所求实数 的值为 . 10.(1) (2) 或 【解析】 【分析】 (1)先由向量数量积的坐标运算及倍角公式得 ,代入点 和点 求得 , 再由辅助角公式化简求出 即可; (2)先由图象的伸缩平移变换得到 ,进而得到 ,再由正弦函数的单调 性解出 的取值范围即可. (1) ,又经过点 和点 , 则 ,解得 ,则 ; (2) 将函数 图象上所有点的横坐标伸长到原来的2倍得 ,再向上平移 个单位长度得 ; 则 ,当 时, ,则 , 解得 ,当 时, ,又 ,则 ,则 的取值范围是 或 . 11.(1) , 时函数f(x)有最小值 第 15 页(2) 或 . 【解析】 【分析】 (1)由向量的数量积的坐标求法结合三角恒等变形化简可得出的解析式为 ,再由正弦 函数的图像性质可得出答案. (2)先得出 的解析式,然后设令 则 ,即 ,再根据二次 函数在闭区间上的最值问题进行讨论可得出答案. (1) 当且仅当 , 时,即 , 时,函数f(x)有最小值 . (2) 令 则 ,对称轴方程为 ① 当 时,即a<0时 ② 当 时,即 时, (舍) ③ 当 时,即a>2时 , , (其中 舍)∴ , 综上 或 . 12.(1) (2) 或 或 第 16 页【解析】 【分析】 (1)利用平面向量数量积的坐标表示及三角恒等变换得到函数 的解析式,整体代入法求解正弦型函数的严格 增区间即可; (2)由不等式恒成立可得 ,利用恒等式求出 满足的关系,从而求出 的值,可得到函数 的解析式,求解三角方程即可. (1)解:因为 ,所以 ,所以 ,又 ,则 ,当 时, ,所以当 或 时,即 或 时,函数 单调递 增,故函数 在 的严格增区间为 . (2)解:因为 ,所以函数 的值域为 ,若对任意 ,不等式 都成立,则 ,所以 ,所以 ,则 ,解得 ,故 ,因为 ,所以 ,因为 ,则 ,所以 或 或 ,解得 或 或 .故方程 在闭区间 上的解为 或 或 . 13.(1) (2) 【解析】 【分析】 (1)根据 列方程,化简求得 ,进而求得 . (2)化简 的表达式,根据三角函数的值域的求法求得 在区间 的最大值和最小值, (1) 因为 ,故 , 又因为 是第四象限角,故 , 第 17 页由 , 得 . (2) , 又 ,当 时, , 当 , ,从而求得 的最大值. 故 , ,则 的最大值为 . 14.(1) (2) 【解析】 【分析】 (1)利用三角恒等变换化简函数解析式为 ,求出函数 的最小正周期,可求得 的值, 可得出函数 的解析式,然后利用正弦型函数的单调性可求得函数 的单调递增区间; (2)由 结合角 的取值范围可求得角 的值,利用余弦定理结合基本不等式可求得 的最大值,再利用 平面向量数量积的定义可求得 的最大值. (1) 解:因为 , 由题意可知,函数 的最小正周期为 ,可得 , , 由 ,解得 , 因此,函数 的单调递增区间为 . (2) 第 18 页解:因为 ,可得 , ,则 , ,可得 , 由余弦定理可得 ,即 , 当且仅当 时,等号成立,故 , 因此, 的最大值为 . 15.(1) (2)① ;② 【解析】 【分析】 (1)根据三角形内角的关系,结合二倍角公式求解即可; (2)①法一:在 与 中根据正弦定理可得 ,再根据 结合数量积运算求 解即可; 法二:根据 ,结合面积公式列式求解即可; ②法一:根据平面向量基本定理可得 ,进而求得范围; 法二:以 所在直线为x轴,过点A垂直于 的直线为y轴,建立平面直角坐标系,根据坐标运算求解即可 (1) ,则 ,故 ,所以 ,因为 , 可得 ,由 ,所以 . (2) ①法一:在 与 中, 由正弦定理得 , 即 ,故 , 所以 , 所以 法二:在 中,由 是 的角平分线 第 19 页所以 由 知: 即 ,解得 ②法一:由 ,得 又 所以 . 的取值范围为 ; 法二:以 所在直线为x轴,过点A垂直于 的直线为y轴,建立平面直角坐标系,由 .则 因为 , 所以 . 所以 由 ,得 的取值范围为 16.(1) ,对称中心为 ; (2) . 第 20 页【解析】 【分析】 (1)由数量积运算以及辅助角公式得出解析式,再由正弦函数的性质求解即可; (2)由平移和伸缩变换得出 ,再由正弦函数的性质得出 的值域. (1) 令 则 所以 的对称中心为 . (2) 因为函数 的图像可由 的图像向左平移 个单位,横坐标伸长到原来的2倍得到,所以 , 由 ,得 , 所以 ,所以 , 故 的值域为 . 17.(1)最小正周期为π,最大值为 . (2) 为单调递增区间; 为单调递减区间. 【解析】 【分析】 (1)根据数量积的坐标运算及三角恒等变换化简,由正弦型三角函数求周期、最值即可; (2)根据自变量的范围求出 的范围,结合正弦型三角函数的单调性求解. (1) , 因此 的最小正周期为π,最大值为 . (2) 当 时, , 从而当 , 第 21 页即 时, 单调递增, 当 ,即 时, 单调递减. 综上可知, 在 上单调递增;在 上单调递减. 18.(1) (2) ; 【解析】 【分析】 (1)根据向量垂直坐标表示,结合三角恒等变换知识可求得 ,进而得到 ; (2)利用三角恒等变换可化简得到 ,可知当 时, 取得最大值;利用正弦定理可求得 ,利用两角和差正弦公式可求得 ,代入三角形面积公 式可求得结果. (1) , , , , , , . (2) , , , 当 ,即 时, 取得最大值; 在 中,由正弦定理得: ; , . 第 22 页19.(1) (2) 【解析】 【分析】 (1)根据向量共线的坐标表示,列出方程,结合三角函数的性质,可求得答案; (2)根据数量积的坐标表示求得函数的表达式,结合三角函数的恒等变换进行化简,可得 ,利 用正弦函数的性质求得其单调增区间. (1) 由 可得, , 即 ,即 , 由于 ,故 ; (2) , 令 ,即 , 即函数 的单调递增区间为 . 20.(1) ; (2) . 【解析】 【分析】 (1)利用数量积的坐标表示求出函数 并化简,再根据三角函数的性质求值域作答. (2)由(1)求出 ,借助余弦定理求出 ,即可求解. (1) 解:依题意, , 由 得 , , 所以 在 上的值域为 . 第 23 页(2) 解:由 得, , ,则有 ,解得 , 在 中,由余弦定理得, , 所以 . 所以 的面积为 . 21.(1) (2) 【解析】 【分析】 (1)由数量积的坐标运算结合三角恒等变换可得 的解析式,根据正弦函数的单调性即可求得答案; (2)由 可求得 ,继而求得 ,再利用三角函数的二倍角公式求得 , ,从而将 化为 ,即可求得答案. (1) 因为 , 所以 , , 令 ,解得 , 即 的单调增区间为 ; (2) 由(1)可知, ,则 , 因为 ,所以 ,所以 , 所以 , 所以 , 第 24 页所以 , 即 . 22.(1) (2) 【解析】 【分析】 (1)根据向量平行的坐标公式,结合同角三角函数的关系可得 ,再根据同角三角函数的关系化简 求解即可; (2)根据向量数量积的坐标公式结合二倍角与辅助角公式可得 ,再根据正弦函数的单调递 增区间求解即可 (1) 由 可得 ,∴ , . (2) 由于 , ∵ ,∴ , 则令 ,解得 . 故函数 的递增区间为 . 23.(1) (2) 【解析】 第 25 页【分析】 (1)根据已知相伴特征向量的定义可得 ,即可求解; (2)根据相伴函数的定义结合三角恒等变换得到函数 的解析式,利用正弦型函数的性质求解值域即可. (1) 解:因为向量 为 的相伴特征向量, 则 , 解得: . (2) 解:因为向量 的相伴函数是 , 设 ,因为 ,则 , 所以 , 当 时, , 当 时,函数 有最大值为13, 当 时,即 ,函数 有最小值为 , 故函数 的值域为 . 24.(1) (2) (3) 【解析】 【分析】 (1)根据数量积的坐标运算,结合三角函数的恒等变换可得 ,利用三角函数的周期公式即可 求得答案; (2)将方程 有两个不等的实根转化为函数 的图象与 有两 个交点,数形结合,求得答案; (3)将对于任意的 ,存在 ,使得 ,转化为 成立,求出 函数 的范围,分类讨论,求得k的取值范围; 第 26 页(1)由题意可知: ,故函数 的最 小正周期为 ; (2)令 ,当 时,令 ,则 ,且 在 上递增,在 上递减,当 时,方程 有两个不等的实根,则需函数 的图象 与 有两个交点,即 , 与 有两个交点,如图示: 则 ,则 ; (3)由题意 ,若对于任意的 ,存在 ,使得 ,即 ,当 时, ,则 。当 时, ,故当 时, 不成立;当 时, ,解得 ;当 时, ,解得 ,故实数 的取值范围为 . 25.(1) (2) 【解析】 【分析】 (1)由正弦定理结合向量平行的坐标表示即可得出答案. (2)由正弦定理可得 ,根据 的范围求出 的值域,即可求出 周长的取值 第 27 页范围. (1) ∵ ,∴ , 由正弦定理,得 . 又 ,∴ , 由于 ,∴ . (2) ∵ , , 由正弦定理 ,得 , . . ∵ ,∴ ,则 . ∴ . ∴ ,则 . 故 周长的取值范围为 . 26.(1) ; (2) . 【解析】 【分析】 (1)利用向量垂直关系的坐标表示,余弦定理化简、计算作答. (2)由(1)中信息,利用均值不等式求解作答. (1)因 ,且 ,则 ,由余弦定理得 ,整理得: ,于是得 ,而 ,所以 . (2)由(1)知, ,当且仅当 时取“=”,而 ,因此, ,即有 所以 的周长l的取值范围是 . 27.(1) (2) 【解析】 第 28 页【分析】 (1)由向量的数量积运算和三角恒等变换化简函数 ,再根据角的范围和正弦函数的性质可求得答案; (2)由向量的数量积运算得 ,且 ,求解即可. (1)因为 ,所以 ,因为 ,所以 ,所 以 ,所以 ,所以 的取值范围为 . (2)当 和 的夹角为锐角时,则 ,且 ,即 且 且 ,解得 或 ,所以 的取值范围为 . 28.(1) (2) 【解析】 【分析】 (1)利用三角恒等变换化简,再根据正弦函数的单调性结合整体思想即可得出答案; (2)根据 ,求得角 ,再根据 ,求得 ,最后利用余弦定理即可得出答案. (1)解: ,令 ,得 ,∴ 的单调递增区间为 ; (2)解:由 ,得 ,∵ ,∴ ,∴ ,∴ ,∵ ,∴ ,∴ ,由余弦定理得 ,∴ , ∴ 的周长为 . 29.(1) ( ) (2)(i) ;(ii)2. 【解析】 【分析】 (1)根据向量数量积的坐标运算以及降幂公式、辅助角公式可将 化为三角函数的一般形式,根据周期性求 出 的值,由三角函数的对称性即可得结果; 第 29 页(2)题意转化为 的图象与 交点的情形,进而得 的范围以及 的值,进而可得结果. (1)由题意 .因为函数 的周期 为 ,所以 .所以 由 ,得 ,所以 的对称中心为 ( ). (2)由 ,得 ,作出函数 在 上的图像,如图所示. (i)由图可知, ,所以 的取值范围为 (ii)由图可知, ,所 以 30.(1) ;(2) . 【解析】 【分析】 (1)由平面向量数量积的坐标运算及三角函数的恒等变换可得 ,根据公式即可求最小正周期; (2)由 可求 ,根据余弦定理可求 ,利用三角形面积公式即可求解. 【详解】 解:(1) , 函数 . 故函数 的最小正周期 . (2)由 得, ,即 . , 第 30 页,解得 . 由余弦定理得: , 且 , ,解得 . . 第 31 页第 32 页