当前位置:首页>文档>专题04相似三角形重要模型之一线三等角(K字型)模型解读与提分精练(人教版)(教师版)_初中数学_九年级数学下册(人教版)_常见几何模型全归纳-V13_2025版

专题04相似三角形重要模型之一线三等角(K字型)模型解读与提分精练(人教版)(教师版)_初中数学_九年级数学下册(人教版)_常见几何模型全归纳-V13_2025版

  • 2026-04-13 05:54:34 2026-03-20 14:07:16

文档预览

专题04相似三角形重要模型之一线三等角(K字型)模型解读与提分精练(人教版)(教师版)_初中数学_九年级数学下册(人教版)_常见几何模型全归纳-V13_2025版
专题04相似三角形重要模型之一线三等角(K字型)模型解读与提分精练(人教版)(教师版)_初中数学_九年级数学下册(人教版)_常见几何模型全归纳-V13_2025版
专题04相似三角形重要模型之一线三等角(K字型)模型解读与提分精练(人教版)(教师版)_初中数学_九年级数学下册(人教版)_常见几何模型全归纳-V13_2025版
专题04相似三角形重要模型之一线三等角(K字型)模型解读与提分精练(人教版)(教师版)_初中数学_九年级数学下册(人教版)_常见几何模型全归纳-V13_2025版
专题04相似三角形重要模型之一线三等角(K字型)模型解读与提分精练(人教版)(教师版)_初中数学_九年级数学下册(人教版)_常见几何模型全归纳-V13_2025版
专题04相似三角形重要模型之一线三等角(K字型)模型解读与提分精练(人教版)(教师版)_初中数学_九年级数学下册(人教版)_常见几何模型全归纳-V13_2025版
专题04相似三角形重要模型之一线三等角(K字型)模型解读与提分精练(人教版)(教师版)_初中数学_九年级数学下册(人教版)_常见几何模型全归纳-V13_2025版
专题04相似三角形重要模型之一线三等角(K字型)模型解读与提分精练(人教版)(教师版)_初中数学_九年级数学下册(人教版)_常见几何模型全归纳-V13_2025版
专题04相似三角形重要模型之一线三等角(K字型)模型解读与提分精练(人教版)(教师版)_初中数学_九年级数学下册(人教版)_常见几何模型全归纳-V13_2025版
专题04相似三角形重要模型之一线三等角(K字型)模型解读与提分精练(人教版)(教师版)_初中数学_九年级数学下册(人教版)_常见几何模型全归纳-V13_2025版
专题04相似三角形重要模型之一线三等角(K字型)模型解读与提分精练(人教版)(教师版)_初中数学_九年级数学下册(人教版)_常见几何模型全归纳-V13_2025版
专题04相似三角形重要模型之一线三等角(K字型)模型解读与提分精练(人教版)(教师版)_初中数学_九年级数学下册(人教版)_常见几何模型全归纳-V13_2025版
专题04相似三角形重要模型之一线三等角(K字型)模型解读与提分精练(人教版)(教师版)_初中数学_九年级数学下册(人教版)_常见几何模型全归纳-V13_2025版
专题04相似三角形重要模型之一线三等角(K字型)模型解读与提分精练(人教版)(教师版)_初中数学_九年级数学下册(人教版)_常见几何模型全归纳-V13_2025版
专题04相似三角形重要模型之一线三等角(K字型)模型解读与提分精练(人教版)(教师版)_初中数学_九年级数学下册(人教版)_常见几何模型全归纳-V13_2025版
专题04相似三角形重要模型之一线三等角(K字型)模型解读与提分精练(人教版)(教师版)_初中数学_九年级数学下册(人教版)_常见几何模型全归纳-V13_2025版
专题04相似三角形重要模型之一线三等角(K字型)模型解读与提分精练(人教版)(教师版)_初中数学_九年级数学下册(人教版)_常见几何模型全归纳-V13_2025版
专题04相似三角形重要模型之一线三等角(K字型)模型解读与提分精练(人教版)(教师版)_初中数学_九年级数学下册(人教版)_常见几何模型全归纳-V13_2025版
专题04相似三角形重要模型之一线三等角(K字型)模型解读与提分精练(人教版)(教师版)_初中数学_九年级数学下册(人教版)_常见几何模型全归纳-V13_2025版
专题04相似三角形重要模型之一线三等角(K字型)模型解读与提分精练(人教版)(教师版)_初中数学_九年级数学下册(人教版)_常见几何模型全归纳-V13_2025版
专题04相似三角形重要模型之一线三等角(K字型)模型解读与提分精练(人教版)(教师版)_初中数学_九年级数学下册(人教版)_常见几何模型全归纳-V13_2025版
专题04相似三角形重要模型之一线三等角(K字型)模型解读与提分精练(人教版)(教师版)_初中数学_九年级数学下册(人教版)_常见几何模型全归纳-V13_2025版
专题04相似三角形重要模型之一线三等角(K字型)模型解读与提分精练(人教版)(教师版)_初中数学_九年级数学下册(人教版)_常见几何模型全归纳-V13_2025版
专题04相似三角形重要模型之一线三等角(K字型)模型解读与提分精练(人教版)(教师版)_初中数学_九年级数学下册(人教版)_常见几何模型全归纳-V13_2025版
专题04相似三角形重要模型之一线三等角(K字型)模型解读与提分精练(人教版)(教师版)_初中数学_九年级数学下册(人教版)_常见几何模型全归纳-V13_2025版
专题04相似三角形重要模型之一线三等角(K字型)模型解读与提分精练(人教版)(教师版)_初中数学_九年级数学下册(人教版)_常见几何模型全归纳-V13_2025版
专题04相似三角形重要模型之一线三等角(K字型)模型解读与提分精练(人教版)(教师版)_初中数学_九年级数学下册(人教版)_常见几何模型全归纳-V13_2025版
专题04相似三角形重要模型之一线三等角(K字型)模型解读与提分精练(人教版)(教师版)_初中数学_九年级数学下册(人教版)_常见几何模型全归纳-V13_2025版
专题04相似三角形重要模型之一线三等角(K字型)模型解读与提分精练(人教版)(教师版)_初中数学_九年级数学下册(人教版)_常见几何模型全归纳-V13_2025版
专题04相似三角形重要模型之一线三等角(K字型)模型解读与提分精练(人教版)(教师版)_初中数学_九年级数学下册(人教版)_常见几何模型全归纳-V13_2025版
专题04相似三角形重要模型之一线三等角(K字型)模型解读与提分精练(人教版)(教师版)_初中数学_九年级数学下册(人教版)_常见几何模型全归纳-V13_2025版
专题04相似三角形重要模型之一线三等角(K字型)模型解读与提分精练(人教版)(教师版)_初中数学_九年级数学下册(人教版)_常见几何模型全归纳-V13_2025版
专题04相似三角形重要模型之一线三等角(K字型)模型解读与提分精练(人教版)(教师版)_初中数学_九年级数学下册(人教版)_常见几何模型全归纳-V13_2025版
专题04相似三角形重要模型之一线三等角(K字型)模型解读与提分精练(人教版)(教师版)_初中数学_九年级数学下册(人教版)_常见几何模型全归纳-V13_2025版
专题04相似三角形重要模型之一线三等角(K字型)模型解读与提分精练(人教版)(教师版)_初中数学_九年级数学下册(人教版)_常见几何模型全归纳-V13_2025版
专题04相似三角形重要模型之一线三等角(K字型)模型解读与提分精练(人教版)(教师版)_初中数学_九年级数学下册(人教版)_常见几何模型全归纳-V13_2025版
专题04相似三角形重要模型之一线三等角(K字型)模型解读与提分精练(人教版)(教师版)_初中数学_九年级数学下册(人教版)_常见几何模型全归纳-V13_2025版
专题04相似三角形重要模型之一线三等角(K字型)模型解读与提分精练(人教版)(教师版)_初中数学_九年级数学下册(人教版)_常见几何模型全归纳-V13_2025版
专题04相似三角形重要模型之一线三等角(K字型)模型解读与提分精练(人教版)(教师版)_初中数学_九年级数学下册(人教版)_常见几何模型全归纳-V13_2025版
专题04相似三角形重要模型之一线三等角(K字型)模型解读与提分精练(人教版)(教师版)_初中数学_九年级数学下册(人教版)_常见几何模型全归纳-V13_2025版
专题04相似三角形重要模型之一线三等角(K字型)模型解读与提分精练(人教版)(教师版)_初中数学_九年级数学下册(人教版)_常见几何模型全归纳-V13_2025版
专题04相似三角形重要模型之一线三等角(K字型)模型解读与提分精练(人教版)(教师版)_初中数学_九年级数学下册(人教版)_常见几何模型全归纳-V13_2025版
专题04相似三角形重要模型之一线三等角(K字型)模型解读与提分精练(人教版)(教师版)_初中数学_九年级数学下册(人教版)_常见几何模型全归纳-V13_2025版
专题04相似三角形重要模型之一线三等角(K字型)模型解读与提分精练(人教版)(教师版)_初中数学_九年级数学下册(人教版)_常见几何模型全归纳-V13_2025版
专题04相似三角形重要模型之一线三等角(K字型)模型解读与提分精练(人教版)(教师版)_初中数学_九年级数学下册(人教版)_常见几何模型全归纳-V13_2025版
专题04相似三角形重要模型之一线三等角(K字型)模型解读与提分精练(人教版)(教师版)_初中数学_九年级数学下册(人教版)_常见几何模型全归纳-V13_2025版
专题04相似三角形重要模型之一线三等角(K字型)模型解读与提分精练(人教版)(教师版)_初中数学_九年级数学下册(人教版)_常见几何模型全归纳-V13_2025版

文档信息

文档格式
docx
文档大小
4.480 MB
文档页数
47 页
上传时间
2026-03-20 14:07:16

文档内容

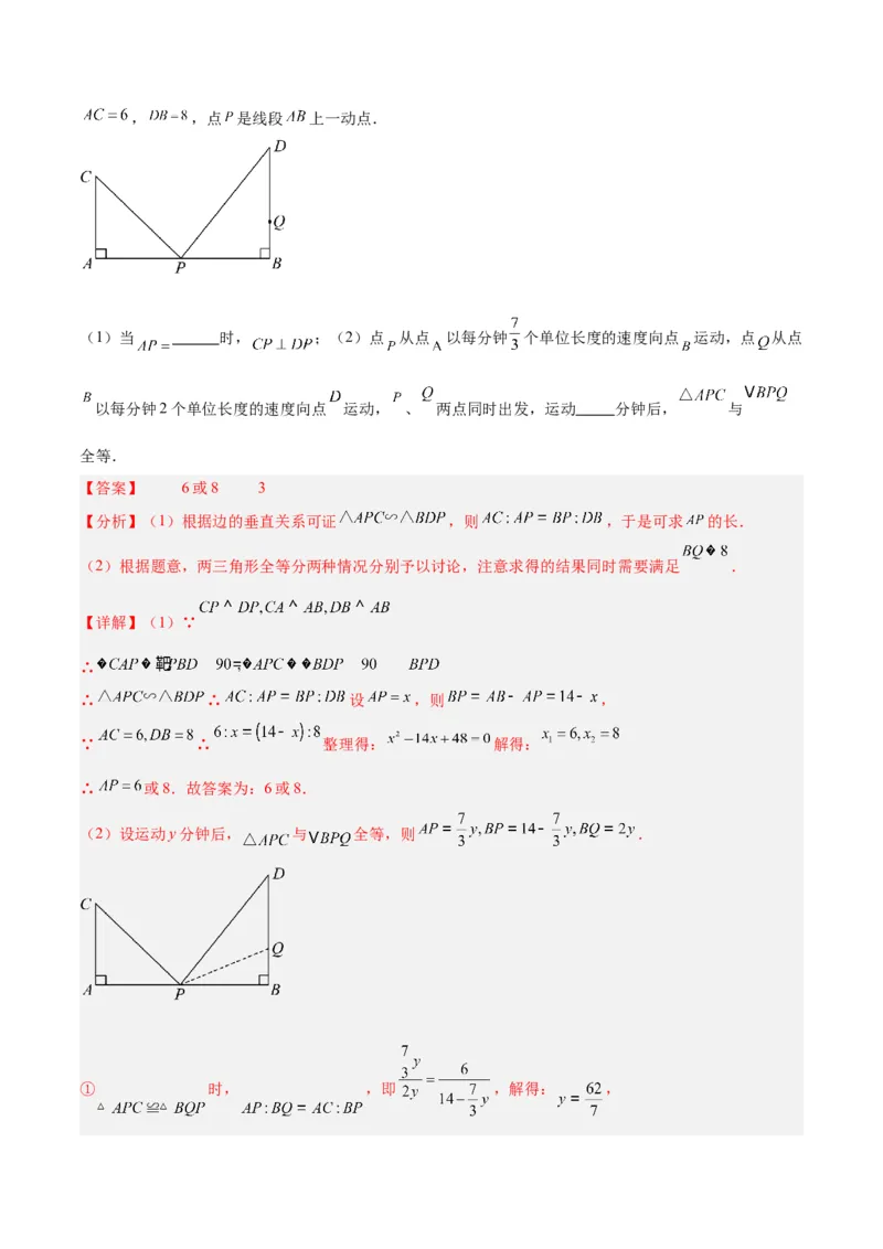
专题 04 相似三角形重要模型之一线三等角(K 字型)模型 相似三角形在中考数学几何模块中占据着重要地位。相似三角形与其它知识点结合以综合题的形式呈 现,其变化很多,难度大,是中考的常考题型。如果大家平时注重解题方法,熟练掌握基本解题模型,再 遇到该类问题就信心更足了。本专题就一线三等角模型进行梳理及对应试题分析,方便掌握。 大家在掌握几何模型时,多数同学会注重模型结论,而忽视几何模型的证明思路及方法,导致本末倒 置。要知道数学题目的考察不是一成不变的,学数学更不能死记硬背,要在理解的基础之上再记忆,这样 才能做到对于所学知识的灵活运用,并且更多时候能够启发我们解决问题的关键就是基于已有知识、方法 的思路的适当延伸、拓展,所以学生在学习几何模型要能够做到的就是:①认识几何模型并能够从题目中 提炼识别几何模型;②记住结论,但更为关键的是记住证明思路及方法;③ 明白模型中常见的易错点, 因为多数题目考察的方面均源自于易错点。当然,以上三点均属于基础要求,因为题目的多变性,若想在 几何学习中突出,还需做到的是,在平时的学习过程中通过大题量的训练,深刻认识几何模型,认真理解 每一个题型,做到活学活用! ....................................................................................................................................................2 模型1.一线三等角模型(相似模型).............................................................................................................2 ..................................................................................................................................................10 模型1.一线三等角模型(相似模型) “一线三等角”型的图形,因为一条直线上有三个相等的角,一般就会有两个三角形的“一对角相等”, 再利用平角为180°,三角形的内角和为180°,就可以得到两个三角形的另外一对角也相等(或利用外角定 理也可),从而得到两个三角形相似.1)一线三等角模型(同侧型) (锐角型) (直角型) (钝角 型) 条件:如图,∠1=∠2=∠3, 结论:△ACE∽△BED。 证明:∵∠1+∠C=∠2+∠DEB(外角定理),∠1=∠2 ∴∠C=∠DEB,∵∠1=∠3,∴△ACE∽△BED。 2)一线三等角模型(异侧型) 条件:如图,∠1=∠2=∠3, 结论:△ADE∽△BEC. 证明:∵∠1=∠2,∴∠CBE=∠EAD(等角的补角相等),∴∠C=∠DEB,∵∠1=∠3, ∴△ACE∽△BED。 ∵∠2=∠C+∠CEB(外角定理),∠3=∠DEA+∠CEB,∠2=∠3∴∠C=∠DEA,∴△ADE∽△BEC. 3)一线三等角模型(变异型) 图1 图2 图3 ①特殊中点型:条件:如图1,若C为AB的中点,且∠1=∠2=∠3,结论:△ACE∽△BED∽△ECD. 证明: ∵∠1+∠C=∠2+∠DEB (外角定理), ∠1=∠2,∴∠C=∠DEB ,∵∠1=∠3, ∴△ACE∽△BED。 ∴ , ∵ C 为 AB 的 中 点 , ∴ AE=EB , ∴ , ∴ , ∵ ∠ 2=∠ 3 ,∴△BED∽△ECD ② 一 线 三 直 角 变 异 型 1 : 条 件 : 如 图 2 , ∠ ABD=∠ AFE=∠ BDE=90°. 结 论 : △ABC∽△BDE∽△BFC∽△AFB. 证明:∵∠ABD=∠AFE=90°,∴∠ABF+∠CBF=90°,∠A+∠ABF=90°,∴∠CBF=∠A, ∵∠ABD=∠BDE=90°,∴△ABC∽△BDE,∵∠ABD=∠AFE=90°,∴∠ABC=∠BFC=90°, ∴△ABC∽△BFC,同理可证:△ABC∽△AFB°,故△ABC∽△BDE∽△BFC∽△AFB. ③一线三直角变异型2:条件:如图3,∠ABD=∠ACE=∠BDE=90°.结论:△ABM∽△NDE∽△NCM. 证明:∵∠ABD=∠ACE=90°,∴∠ABM=∠MCN=90°, ∵∠AMB=∠NMC(对顶角相等)∴△ABM∽△NCM. 同理可证:△NDE∽△NCM 故:△ABM∽△NDE∽△NCM. 例1.(2024·黑龙江绥化·模拟预测)如图, 为等边三角形,点D,E分别在边 , 上, .若 , ,则 的长为 . 【答案】10 【分析】本题考查了等边三角形性质,相似三角形的性质与判定,解题的关键是熟练掌握并运用相关知识. 根据等腰三角形性质可知 , ,再根据 可 知 ,结合 ,可得 ,最后根据 即可求得 的长. 【详解】解: 为等边三角形, , , , , , , , , , , , ,故答案为:10. 例2.(2024·广东广州·二模)如图,在矩形 中, , ,点M在直线 上,连接, (1)当 ,则 (2)当 最大时, 【答案】 3 【分析】①根据矩形的性质和勾股定理即可求解; ②作 ,过点A作 于点E,则 连接 ,取 中点O,连接 , , 先证明 ,继而 ,因此 ,故 的最大值转化为 的最 大值,由 ,知点E在以点O为圆心, 为半径的圆上运动,由 ,故当 三点共线时, 取得最大值为18,故 . 【详解】解:①∵ , ,∴ , ∵四边形 是矩形,∴ , , ∴由勾股定理得: , , ∴ ,故答案为: ; ②作 ,过点A作 于点E,则 连接 ,取 中点O,连接 , , ∵四边形 是矩形,∴ ,∵点O为 中点,∴ ,∴由勾股定理得 , ∵ ,∴ ∵四边形 是矩形,∴ , ∴ ,∴ ,∴ ,∴ ∵ ∴ ∴ , ∴ ,∴ ,∴ 的最大值转化为 的最大值, ∵ ,∴点E在以点O为圆心, 为半径的圆上运动, ∵ ,∴当 三点共线时, 取得最大值为18,∴ .故答案为:3. 【点睛】本题考查了矩形的性质,勾股定理,相似三角形的判定与性质,三角形三边关系,构造相似三角 形是解决本题的关键. 例3.(2024九年级重庆·专题练习)如图,已知在梯形 中, ,且 ,P为 上的一点, ,求 的长. 【答案】1或4 【分析】根据题意可证 ,得出比例关系式,进而求出AP的长. 【详解】∵在梯形 中, ,∴ . 又∵ , , ∴ ,∴ .∴ . 设 ,则 ,∴ ,解得 或4.∴ 或4. 【点睛】本题主要考查相似三角形的判定和性质,掌握“一线三等角”相似三角形模型,是 解题的关键. 例4.(2023春·内蒙古赤峰·九年级校考阶段练习)【感知】如图①,在四边形ABCD中,点P在边AB上 (点P不与点A、B重合), .易证 .(不需要证明) 【探究】如图②,在四边形ABCD中,点P在边AB上(点P不与点A、B重合), .若, , ,求AP的长. 【拓展】如图③,在 中, , ,点P在边AB上(点P不与点A、B重合),连结 CP,作 ,PE与边BC交于点E,当 是等腰三角形时,直接写出AP的长. 【答案】【探究】3;【拓展】4或 . 【分析】探究:根据相似三角形的性质列出比例式,计算即可; 拓展:证明 ACP∽△BPE,分CP=CE、PC=PE、EC=EP三种情况,根据相似三角形的性质计算即可. 【详解】探△究:证明:∵ 是 的外角,∴ , 即 ,∵ ,∴ , 又∵ ,∴ ,∴ ,∵ , , ,∴ ,解得: ; 拓展:∵AC=BC,∴∠A=∠B,∵∠CPB是 APC的外角, ∴∠CPB=∠A+∠PCA,即∠CPE+∠EPB=∠△A+∠PCA, ∵∠A=∠CPE,∴∠ACP=∠BPE,∵∠A=∠B,∴△ACP∽△BPE, 当CP=CE时,∠CPE=∠CEP,∵∠CEP>∠B,∠CPE=∠A=∠B,∴CP=CE不成立; 当PC=PE时, ACP≌△BPE,则PB=AC=8,∴AP=AB-PB=12 8=4; 当EC=EP时,△∠CPE=∠ECP,∵∠B=∠CPE,∴∠ECP=∠B,∴PC=PB, ∵△ACP∽△BPE,∴ , 即 ,解得: ,∴AP=AB PB= , 综上所述:△CPE是等腰三角形时,AP的长为4或 . 【点睛】本题考查的是相似三角形的判定和性质、等腰三角形的性质、三角形的外角性质,灵活运用分情 况讨论思想是解题的关键.例5.(23-24八年级上·上海·期中)在ΔABC中, , , ,点 在 所在 的直线上运动,作 ( 、 、 按逆时针方向). (1)如图①,当点 在线段 上运动时, 交 于 . ①求证: .②当 是等腰三角形时,直接写出 的长. (2)如图②,当点 在 的延长线上运动, 的反向延长线与 的延长线相交于点 ,是否存在点 ,使 是等腰三角形?若存在,写出点 的位置;若不存在,请简要说明理由. 【答案】(1) ①证明见解析;②AE的值是1或 2或 ; (3)存在,D在BC的延长线上,且CD= 2 【分析】(1) ①求出∠B=45°,根据三角形外角性质得出∠1+∠B=∠ADC=45°+∠2.求出即可; ②分为三种情况,①DE=AE,②AD=AE,③AD=DE,根据等腰三角形性质(等腰三角形两边相等),三角形 全等推出即可;(2)存在,可证 得到CD=AC=2. 【详解】解(1) ①∵在Rt ABC中,∠BAC=90°。AB=AC,∴∠B=∠C=45° ∵∠ADE=45°,∴∠ADC=△∠B+∠1=∠ADE+∠2,即45°+∠1=45°+∠2.∴∠1=∠2. ②解:当△ADE是等腰三角形时,分为以下三种情况: 第一种情况: DE=AE,∵DE=AE,∴∠ADE=∠DAE=45°=∠C,∴∠AED=90°,∠ADC=90° ,即DE⊥.AC. ∴AD= DC.∴E为AC的中点,∴ 第二种情况: AD=AE,此时D和B重合,E和C重合,即AE=AC=2; 第三种情况: AD=DE, 在△ABD和△DCE中. ∴ ,∴BD=CE,AB=DC,设BD=CE=x,在Rt ABC中,∵∠BAC=90°, AB=AC=2, ∴BC= . △ ∴DC= -x.∴ -x=2,∴x= -2,∴AE= 综合上述: AE的值是1或 2或 (3)解:存在,理由如下:∵ ∴ ∵ ∴ ∴ 又∵ ∴ ∴ 又∵ ,∴ , 故存在点 ,使 是等腰三角形,此时D在BC的延长线上,且CD= 2 【点睛】本题考查了等腰三角形的性质与等腰三角形的判定,全等三角形的性质和判定,等腰直角三角形、 相似三角形的判定和性质等知识点的应用,用了分类讨论思想. 例6.(2023·河北沧州·校考二模)如图,在 中, , ,点D是线段 上的 一点,连接 ,过点B作 ,分别交 、 于点E、F,与过点A且垂直于 的直线相交于点 G,连接 ,下列结论错误的是( ) A. B.若点D是AB的中点,则 C.当B、C、F、D四点在同一个圆上时, D.若 ,则 【答案】D 【分析】由 ,可确定A项正确;由 可得 ,进而由 确定点F为 的三等分点,可确定B项正确;当B、C、F、D四点在同一个圆上时,由圆 内接四边形的性质得到 ,得到 为圆的直径,因为 ,根据垂径定理得到 ,故C项正确;因为D为 的三等分点, 即 ,可得 ,由此 确定D项错误.【详解】解:依题意可得 ,∴ ,∴ , 又 ,∴ .故A项正确;如图, ∵ , ,∴ .在 与 中, , ∴ ,∴ ,又∵ ,∴ ; ∵ 为等腰直角三角形,∴ ;∴ ; ∵ ,∴ ,∴ ,∴ .故B项正确; 当B、C、F、D四点在同一个圆上时,由圆内接四边形的性质可得 , ∴ 是B、C、F、D四点所在圆的直径,∵ ,∴ ,∴ ,故C项正确; ∵ , , ,∴ ,∴ , , ∴ ,∴ ;∴ .故D项错误.故选:D. 【点睛】本题考查了等腰直角三角形中相似三角形与全等三角形的应用,有一定的难度.对每一个结论, 需要仔细分析,严格论证;注意各结论之间并非彼此孤立,而是往往存在逻辑关联关系,需要善加利用. 例7.(23-24广东九年级上学期月考数学试题)如图,在矩形 中, 为 的中点, 交 于 ,延长 与直线 相交于点 ,连接 .(1)求证: ;(2) ,是 否存在这样的k值,使得 与 相似?若存在,证明你的结论并求出k的值;若不存在,请说明 理由.【答案】(1)见解析(2)存在, 【分析】(1)由题意可得 ,又由 ,可得 ,据此 证得结论;(2)假设 与 相似,存在两种情况:①当 ,可得 ,根据题 意可知此种情况不成立;②当 ,使得 与 相似,设 ,则 ,可得 , ,再由 ,即可求得 值. 【详解】(1)证明: , , , , ,又 , ; (2)解:存在 使得 与 相似.理由如下:假设 与 相似, 存在两种情况:①当 ,则有 与 互余,于是 ,因此此种情况不成立; ②当 ,使得 与 相似,设 ,则 , , , , , , ,即 ,解得, (负值舍去). 存在 使得 与 相似. 【点睛】本题考查了矩形的性质,相似三角形的判定及性质,采用分类讨论的思想是解决本题的关键.1.(2023春·重庆荣昌·八年级统考期末)如图,在矩形 中, ,将点 折叠到 边上点 处, 折痕为 ,连接 , ,若点 是 中点,则 长为( ) A. B. C. D. 【答案】A 【分析】依据矩形的性质以及折叠,即可得到 , , 的长;再根据 ,利用对应边 成比例即可得 的长. 【详解】解: 矩形 中, , ,又 是 的中点, , 中, ,由题可得, , , , , ,即 ,解得 ,故选:A. 【点睛】本题主要考查了折叠问题、矩形的性质、相似三角形的判定与性质以及勾股定理的运用,翻折变 换 折叠问题 实质上就是轴对称变换,折叠前后图形的形状和大小不变,位置变化,对应边和对应角相等. 2.(2023·黑龙江绥化·校联考三模)如图,已知正方形 , 为 的中点, 是 边上的一个动点,连接 将 沿 折叠得 ,延长 交 于点 ,现在有如下五个结论:① 一 定是直角三角形;② ;③当 与 重合时,有 ;④ 平分正方形 的面 积;⑤ ,则正确的有( ) A.2个 B.3个 C.4个 D.5个 【答案】C 【分析】如图1中,证明 , ,可得 ,可得 , ,可得①②正确,如图2中,当M与C重合时,设 .则 ,证明 ,可得 ,即 ,可得 ,可得③正确,如图3中,当点F与点D重合时,显然直线 不平分正方形的面积,可得④错误, 如图1中, 于H, ,同理可得: ,可得 ,结合 ,可得⑤正确. 【详解】解:如图1中, ∵四边形 是正方形, ∴ ,∵E为 的中点, ∴ , 由翻折可知: , , , ∵ , , , ∴ , ∴ , ∵ , ∴ , 故①②正确, 如图2中,当M与C重合时,设 .则 , ∵ , ∴ , ∴ , ∴ , ∴ ,即 ,可得 , ∴ , ∴ ,故③正确, 如图3中,当点F与点D重合时,显然直线 不平分正方形的面积,故④错误,如图1中,∵ 于H, , 同理可得: , ∴ , ∴ , ∵ , ∴ .故⑤正确, 故选:C. 【点睛】本题考查正方形的性质,全等三角形的判定和性质,相似三角形的判定与性质,解题的关键是灵 活运用所学知识解决问题,属于中考常考题型. 3.(23-24辽宁九年级月考)如图,在 Rt ABC 中,∠ABC=90°,AB=BC,点 D 是线段 AB 上的一 点,连结 CD.过点 B 作 BG⊥CD,分别△交 CD、CA 于点 E、F,与过点 A 且垂直于 AB 的直线相交 于点 G,连结 DF,给出以下四个结论:① ;②若 AB,则点 D 是 AB 的中点;③若 ,则 S =9S ;④当 B、C、F、D 四点在同一个圆上时,DF=DB;其中正确的结论序号是 ABC BDF △ △ ( )A.①② B.①②④ C.①②③ D.①②③④ 【答案】B 【分析】由 可得: ,所以 ,利用相似三角形的性质可以得到①正确; 由 以及已知条件可以得到 ,进而由①所得结论确定 为 的三等分点, 可确定结论②正确;根据 可以得到 , ,则 ,由线段的比例关系即可求得 面积的比例关系;当 四点在同一个圆上时,利用圆内接四边形的对角互补可以得到 ,则 是 所在圆的直径,由垂径定理可得 ; 【详解】由题意可得: 故结论①正确; , , 是等腰直角三角形 在 和 中:是等腰直角三角形, 由结论①可得: 点 是 的中点 故结论②正确; , , , , ,即 故结论③错误; 当 四点在同一个圆上时, ,是 所在圆的直径 故结论④正确; 故选:B. 【点睛】本题主要考查了三角形的综合,包括全等三角形的性质判定以及相似三角形的性质判定,以及三 角形的面积关系,题目综合性比较强,熟练掌握相关的性质定理是求解本题的关键. 4.(2023·广东梅州·九年级校考阶段练习)已知 是等边三角形, ,点D,E,F点分别在边 上, , 同时平分 和 ,则 的长为 . 【答案】 【分析】根据角平分线的定义得到∠BDE=∠FDE,∠BED=∠FED,根据全等三角形的性质得到 ∠DBE=∠DFE,BD=DF,BE=EF,由等边三角形的性质得到∠A=∠ABC=∠C=60°,求得∠DFE=60°,根 据相似三角形的性质即可得到结论. 【详解】解:如图, 同时平分 和 , , , 在 与 中, , , , , ,是等边三角形, , , , , , , , 设 , , , , , , , , , , . 故答案为: . 【点睛】本题考查了相似三角形的判定和性质,全等三角形的判定和性质,等边三角形的性质,正确的画 出图形是解题的关键. 5.(2023·江苏盐城·校联考二模)如图,在矩形 中, ,点 E、F 分别是边 上的动点,且 , 当 为 时, 最大.【答案】 / 【分析】在 中, ,则 ,当 增加时, 也增加,因为 ,要使 取最大值,所以 取最小值,然后证明 ,利用二次函数求 得 的最小值即可. 【详解】设 ,∵矩形 中, , ∴ , ∴ , ∵ ,∴ , 又∵ ,∴ ,∴ , ∴ ,即 ,整理得: , ∵ ,∴当 时,y取最小值 , ∵ 中, ,∴ , ∴要使 取最大值,即 最大时,y应取最小值, ∴ ,即 ,故答案为: . 【点睛】本题考查二次函的最值、三角形相似的判定和性质、正切函数的性质,也体现了数学中转化的思 想,灵活运用是关键. 6.(2023·山西·九年级专题练习)如图,在 中, , , , , ,则CD的长为______.【答案】5 【分析】在CD上取点F,使 ,证明 ,求解 再证明 , 利用相似三角形的性质求解 即可得到答案. 【详解】解:在CD上取点F,使 , , ,由 , , , ,且 , , , ∽ , , , , 又 , , ∽ , , 又 , , 或 舍去 , 经检验: 符合题意, .故答案为:5. 本题考查的是等腰直角三角形的性质,勾股定理的应用,分式方程与一元二次方程的解法,相似三角形的 判定与性质,掌握以上知识是解题的关键. 7.(2023·广东·九年级专题练习)如图,等边 的边长为 ,点 是边 上一动点,将等边 沿过点 的直线折叠,该直线与直线 交于点 ,使点 落在直线 上的点 处,且 折痕为 则 的长为 .【答案】 或 . 【分析】分情况讨论:方法一:当点 落在如图1所示的位置时,证明△BMD∽△CDN,得到 ,根据 设 求出AN;方法二:当 在 的延长线上时,如图2, 同样方法求出AN. 【详解】方法一:当点 落在如图1所示的位置时, 是等边三角形, , , 得 , 得 , ,设 则 , , , ,解得 ; 方法二:当 在 的延长线上时,如图2,与 同理可得 . 得 . , , 设 则 , , ,解得: , ,故答案为: 或 . 【点睛】此题考查等边三角形的性质,折叠的性质,相似三角形的判定及性质,解题中注意题中的条件 “点 落在直线 上的点 处”故点A可在线段BC上,也可在延长线上,应分类讨论避免漏解. 3.(2022·安徽·九年级专题练习)如图,矩形ABCD中,AB=8,AD=4,E为边AD上一个动点,连接 BE,取BE的中点G,点G绕点E逆时针旋转90°得到点F,连接CF,在点E从A到D的运动过程中,点 G的运动路径= , CEF面积的最小值是 . △ 【答案】 2 15 【分析】连接BD,取BD的中点M,AB的中点N,连接MN,因为GN为△ABE的中位线,故G的运动路 径为线段MN;过点F作AD的垂线交AD的延长线于点H,则△FEH∽△EBA,设AE=x,可得出△CEF面 积与x的函数关系式,再根据二次函数图象的性质求得最小值. 【详解】解:连接BD,取BD的中点M,AB的中点N,连接MN,∵E为边AD上一个动点,点E从A到D的运动,G是BE的中点 ∴当E在A点时,BE与AB重合,G与AB的中点N重合, 当E运动到D点时,BE与BD重合,G与BD的中点M重合, ∴E在从A到D的运动过程中,MN为△ABE的中位线, ∴ . 故G的运动路径=2, 过点F作AD的垂线交AD的延长线于点H, ∵∠A=∠H=90°,∠FEB=90°, ∴∠FEH=90°-∠BEA=∠EBA, ∴△FEH∽△EBA, ∴ 为 的中点, ∴ 设AE=x, ∵AB ∴HF∴当 时,△CEF面积的最小值 故答案为:2,15. 【点睛】本题通过构造K形图,考查了三角形的中位线和相似三角形的判定与性质,建立△CEF面积与 AE长度的函数关系式是解题的关键. 8.(23-24九年级上·辽宁大连·期末)阅读材料:小胖同学遇到这样一个问题,如图1,在△ABC中, ∠ABC=45°,AB=2 ,AD=AE,∠DAE=90°,CE= ,求CD的长; 小胖经过思考后,在CD上取点F使得∠DEF=∠ADB(如图2),进而得到∠EFD=45°,试图构建“一 线三等角”图形解决问题,于是他继续分析,又意外发现△CEF∽△CDE. (1)请按照小胖的思路完成这个题目的解答过程. (2)参考小胖的解题思路解决下面的问题: 如图3,在△ABC中,∠ACB=∠DAC=∠ABC,AD=AE, ∠EAD+∠EBD=90°,求BE:ED. 【答案】CD=5;(1)见解析;(2) 【分析】(1)在CD上取点F,使∠DEF=∠ADB,证明△ADB∽△DEF,求出DF=4,证明 △CEF∽△CDE,由比例线段可求出CF=1,则CD可求出; (2)如图3,作∠DAT=∠BDE,作∠RAT=∠DAE,通过证明△DBE∽△ATD,可得 ,可得 ,通过证明△ARE≌△ATD,△ABR≌△ACT,可得BR=TC=DT,即可求解.【详解】解:(1)在CD上取点F,使∠DEF=∠ADB, ∵AD=AE,∠DAE=90°, ∴DE= AD= AE, ∵∠ABC=45°,∠ADE=45°, 且∠ADC=∠ADE+∠EDC, ∴∠BAD=∠EDC, ∵∠BDA=∠DEF, ∴△ADB∽△DEF, ∴ = , ∵AB=2 , ∴DF=4, 又∵∠CDE+∠C=45°, ∴∠CEF=∠CDE, ∴△CEF∽△CDE, ∴ , 又∵DF=4,CE= , ∴ , ∴CF=1或CF=5(舍去), ∴CD=CF+4=5; (2)如图3,作∠DAT=∠BDE,作∠RAT=∠DAE,∵∠ACB=∠DAC=∠ABC, ∴AB=AC,AD=CD, ∵AD=AE, ∴∠AED=∠ADE, ∵ ∠EAD+∠EBD=90°, ∴∠EAD+2∠EBD=180°,且∠EAD+2∠AED=180°, ∴∠EBD=∠AED=∠ADE, ∵∠BDA=∠DAT+∠ATD=∠BDE+∠ADE, ∴∠ADE=∠ATD=∠EBD,且∠BDE=∠DAT, ∴△DBE∽△ATD, ∴ ,∠ADT=∠BED, ∴ ,且AD=DC, ∴ , ∵∠RAT=∠DAE,∠ADE=∠ATD, ∴∠RAE=∠DAT,∠AED=∠ART=∠ADE=∠ATD, ∴AR=AT,且∠RAE=∠DAT,∠ARE=∠ATD, ∴△ARE≌△ATD(ASA) ∴∠ADT=∠AER,DT=ER, ∴∠BED=∠AER, ∴∠AED=∠BER=∠EBD, ∴RE=RB=DT, ∵AB=AC,∠ABC=∠ACB,∠ARB=∠ATC,∴△ABR≌△ACT(AAS) ∴BR=TC, ∴DT=TC, ∴CD=2DT, ∴ = 【点睛】本题主要考查相似三角形及全等三角形的判定及性质,作合适的辅助线对证明三角形相似起到关 键作用. 9.(23-24八年级·吉林长春·阶段练习)已知,点B在线段CE上. 【感知】(1)如图①,∠C=∠ABD=∠E=90°,易知 ACB∽△AED(不要求证明); 【拓展】(2)如图②, ACE中,AC=AE,且∠ABD△=∠E,求证: ACB∽△BED; 【应用】(3)如图③,△ACE为等边三角形,且∠ABD=60°,AC=6,△BC=2,则 ABD与 BDE的面 积比为 . △ △ △ 【答案】(1)见解析;(2)见解析;(3)7:2 【分析】(1)由∠C=∠ABD=∠E=90°知∠A+∠ABC=∠ABC+∠DBE=90°,据此得∠A=∠DBE,从 而得证. (2)由∠C=∠ABD=∠E与∠ABE=∠C+∠CAB,∠ABE=∠ABD+∠DBE,即可求得∠CAB= ∠DBE,即可证得:△ACB∽△BED. (3)由△ACB∽△BED,根据相似三角形的对应边成比例,可求得△ABC与△BDE的面积比,△ABC与 △ABE的面积比,继而求得答案. 【详解】(1)∵∠C=∠ABD=∠E=90°, ∴∠A+∠ABC=∠ABC+∠DBE=90°, ∴∠A=∠DBE, ∴△ACB∽△BED; (2)∵AC=AE,∴∠C=∠E, ∵∠ABD=∠E, ∴∠C=∠ABD, 又∵∠ABE=∠C+∠CAB,∠ABE=∠ABD+∠DBE, ∴∠CAB=∠DBE, ∴△ACB∽△BED; (3)∵∠ABE=∠C+∠CAB,∠ABE=∠ABD+∠DBE,∠C=∠ABD, ∴∠CAB=∠DBE, ∵∠C=∠E=60°, ∴△ACB∽△BED,△ACE是等边三角形, ∴AE=AC=6, ∴BE=CE﹣BC=4, ∴△ACB与△BED的相似比为:3:2, ∴S :S =9:4,S :S =1:2=9:18, ABC BED ABC ABE △ △ △ △ 设S =9x,则S =18x,S =4x, ABC ABE BDE △ △ △ ∴S =S ﹣S =18x﹣4x=14x, ABD ABE BED △ △ △ ∴S :S =14:4=7:2. ABD BDE △ △ 故答案为:7:2. 【点睛】此题是相似形的综合问题,主要考查了相似三角形的判定与性质.此题难度适中,注意掌握数形 结合思想的应用. 10.(23-24九年级上·江苏宿迁·期末)问题背景: 如图1,在四边形 中,点 为 上一点, ,求证: .(无 需证明) (1)探究:如图2,在四边形 中,点 为 上一点,当 时,上述结论是否依然 成立?说明理由.(2)应用:请利用(1)获得的经验解决问题:如图3,在 中, , ,点 以每秒1个单位长度的速度,由点 出发,沿边 向点 运动,且满足 , 设点 的运动时间为 (秒),当以 为圆心,以 为半径的圆与 相切时,求 的值.(3)拓展:在(2)的条件下,当 时,直接写出点 在边 上所走的总路程 __________. 【答案】(1)依然成立;理由见解析 (2) , (3)2 【分析】(1)证明 ,即可得证; (2)过点 作 于点 ,利用勾股定理求出 的长,根据切线的性质,得到 ,进而求 出 的长,由(1)可知 ,列式求解即可; (3)根据 ,得到 关于 的二次函数,推出 点从 点出发,当 时,达到最大值, 此时点 运动的总路程为 ,接着 点向点 返回,求出返回的路程,两个路程和即为所求. 【详解】(1)解:结论依然成立;理由如下: ∵ , ∴ . ∵ , ∴ , ∴ , ∴ , ∴ ; (2)过点 作 于点 , ∵ , ∴ . ∴ ; ∵以 为圆心,以 为半径的圆与 相切. ∴ ,∴ ∵ , ∴ , ∴ , 同法(1)可知: , 设点 的运动时间为 (秒),则: , ∴ , 解得: , ; 即:当 运动 秒或 秒时,以 为圆心,以 为半径的圆与 相切. (3)解:设点 的运动时间为 (秒),则: , ∵ , ∴ , ∴ ; ∵ ,对称轴为 , ∴当 时, 的值先增大,再减小, 即: 点从 点出发,当 时,达到最大值,此时点 运动的总路程为 ,接着 点向点 返回, 当 时: , 即第 秒到第 秒, 向 移动了: , ∴当 时,点 在边 上所走的总路程 ; 故答案为:2. 【点睛】本题考查相似三角形的判定和性质,切线的性质,以及二次函数的性质.本题是一线三等角相似 模型,熟练掌握相似三角形的判定方法,证明三角形相似,是解题的关键. 11.(2024·绵阳市·九年级专题练习)如图,正方形ABCD的边长等于 ,P是BC边上的一动点, ∠APB、∠APC的角平分线PE、PF分别交AB、CD于E、F两点,连接EF.(1)求证:△BEP∽△CPF;(2)当∠PAB=30°时,求△PEF的面积. 【答案】(1)详见解析;(2) . 【分析】(1)由于PE平分∠APB,PF平分∠APC,所以∠EPF=90°,然后根据相似三角形的判定即可求 证 BEP∽△CPF; (△2)由题意可知∠BPE=30°,∠FPC=60°,根据含30度的直角三角形的性质即可求出答案. 【详解】(1)∵PE平分∠APB,PF平分∠APC, ∴∠APE= ∠APB,∠APF= ∠APC, ∴∠APE+∠APF= (∠APB+∠APC)=90°, ∴∠EPF=90°, ∴∠EPB+∠BEP=∠EPB+∠FPC=90°, ∴∠BEP=∠FPC, ∵∠B=∠C=90°, ∴△BEP∽△CPF; (2)∵∠PAB=30°, ∴∠BPA=60°, ∴∠BPE=30°, 在Rt ABP中, △ ∠PAB=30°,AB= , ∴BP=1, 在Rt BPE中, ∠BP△E=30°,BP=1, ∴EP= ,∵CP= ﹣1,∠FPC=60°, ∴PF=2CP=2 ﹣2, ∴△PEF的面积为: PE•PF=2﹣ . 【点睛】本题考查相似三角形的综合问题,解题的关键是熟练运用相似三角形的性质与判定,含30度角的 直角三角形的性质,本题属于中等题型. 12.(2024·广东·九年级专题练习)问题提出 (1)如图1,在矩形 中, ,点E为 的中点,点F在 上,过点E作 交 于点G.若 ,则 的面积为_________. 问题探究 (2)如图2,在矩形 中, ,点P是 边上一动点,点Q是 的中点将. 沿着 折叠,点A的对应点是 ,将 沿着 折叠,点D的对应点是 .请问是否存在这 样的点P,使得点P、 、 在同一条直线上?若存在,求出此时 的长度;若不存在,请说明理由. 问题解决 (3)某精密仪器厂接到生产一种特殊四边形金属部件的任务,部件要求:如图3,在四边形 中, ,点D到 的距离为 ,且 .若过点D作 ,过点A作 的 垂线,交 于点E,交 的延长线于点H,过点C作 于点F,连接 .设 的长为 , 四边形 的面积为 . ①根据题意求出y与x之间的函数关系式; ②在满足要求和保证质量的前提下,仪器厂希望造价最低.已知这种金属材料每平方厘米造价60元,请你帮忙求出这种四边形金属部件每个的造价最低费用. 【答案】(1) ;(2)存在, 或 ;(3)① ; ②963.3元. 【分析】(1)先由矩形的性质得 ,再由三角形面积公式求解即可; (2)由折叠的性质得: ,再证 ,然后根据相似三角形的性 质列比例式求解; (3)①先证得 ,然后根据相似三角形的性质求得 ,然后根据面积公式 列式求解; ②根据二次函数性质求最值 【详解】解:(1)∵四边形 是矩形, ∴ . ∵ , ∴ . ∵点E为 的中点, ∴ 故答案为: ; (2)存在,理由如下: ∵四边形 是矩形, ∴ .∵Q是 的中点,∴ . 由折叠的性质得: , 当点P、 、 三点在同一条直线上时, , ∴ . ∵ , ∴ . ∵∵ , ∴ , ∴ ,即 , 解得: 或 ; (3)①根据题意做出辅助线,如图所示. 由题意得: . ∵ , ∴ . ∵ , ∴ , ∴ . 又∵ , ∴ , ∴ . 由 ,则 .∵ , ∴ , ∴ , ∴ ; ②由①知, , 当 时,四边形 的面积取得最小值为 , ∴最低造价为 (元), ∴四边形金属部件每个的造价最低费用约为963.3元. 【点睛】本题是四边形综合题目,考查了矩形的性质、相似三角形的判定与性质、翻折变换的性质、梯形 面积公式、三角形面积公式以及二次函数的应用等知识;本题综合性强,熟练掌握矩形的性质和翻折变换 的性质,证明三角形相似是解题的关键,属于中考常考题型. 13.(2023·湖南·统考中考真题)如图, ,点 是线段 上的一点,且 .已 知 .(1)证明: .(2)求线段 的长. 【答案】(1)见解析(2) 【分析】(1)根据题意得出 , ,则 , 即可得证;(2)根据(1)的结论,利用相似三角形的性质列出比例式,代入数据即可求解. 【详解】(1)证明:∵ ,∴ , ∵ ,∴ ,∴ ,∴ ; (2)∵ ,∴ , ∵ ,∴ ,解得: . 【点睛】本题考查了相似三角形的性质与判定,熟练掌握相似三角形的性质与判定是解题的关键. 14.(2023春·上海普陀·八年级统考期末)在梯形 中, , , , ,点E是射线 上一点(不与点A、B重合),联结 ,过点E作 交射线 于点 F,联结 .设 .(1)求 的长;(2)如图,当点E在线段 上时,求y与x之间的函数解 析式,并写出自变量x的取值范围;(3)如果 是以 为腰的等腰三角形,求 的长. 【答案】(1)6(2) (3) 或【分析】(1)过点 作 ,可得四边形 为矩形,利用勾股定理求出 的长即可; (2)证明 ,列出比例式进行求解即可; (3)分点 在线段 上和在线段 的延长线上,两种情况进行讨论求解. 【详解】(1)解:过点 作 与点 , ∵ , ,∴ ,∴四边形 为平行四边形, ∵ ,∴四边形 为矩形,∴ , ,∴ , 在 中, ,∴ (2)∵ ,∴ , , ∵ , , ,∴ , ∴ ,∴ , ∴ ,即: ,整理,得: , ∵点E在线段 上,∴ ,∴ ; (3)当点 在线段 上时, ①当 时,如图,过点 作 与点 ,则: , 由(1)知, ,∴ ,由(2)知: , 当 时: 或 ,即: 或 ;②当 时,∵ ,∴此种情况不存在; 当点 在线段 的延长线上时:如图, 则: ,同法(2)可得: ,即: , 整理,得: , ∵ 是以 为腰的等腰三角形,则: , 在 中: , 在 中: , 在 中: , 整理,得: , ∵ ,∴ , 整理,得: ,解得: (负值已舍掉);∴ , 综上: 或 . 【点睛】本题考查矩形得判定和性质,相似三角形的判定和性质,等腰三角形,勾股定理.解题的关键是 读懂题意,正确的作图,利用数形结合和分类讨论的思想进行求解. 15.(2023·四川成都·校考三模)在矩形 中, , .点 为 边上一动点,连接 , 在 右侧作 , , .(1)如图1,若点 恰好落在 边上,求 的长; (2)如图2,延长 交 边于点 ,当 时,求 的值; (3)连接 ,当 为等腰三角形时,求 的长. 【答案】(1) (2) (3) 或 【分析】(1)可证 ,可得 ,从而可求 ,即可求解; (2)过 点作 交 于 ,可证 ,可得 ,设 ,则有 , ,可得 ,即可求解;(3)①当 在边 上, 时,可证 ,从而可证 ,即可求解;②当 在矩形内部时,(ⅰ)当 时,由(2)得: ,即可求解;(ⅱ)当 时,由(2)得同理可求: , , ,由 ,即可求解;③如图,当 在矩形外部时,由 判断,即可求解. 【详解】(1)解: 四边形 是矩形, , , , , , , , , , ,解得: , , ,解得: . (2)解:如图,过 点作 交 于 ,, , , 由(1)得同理可证: , , , ,解得: , , , , 设 ,则有 , , , 整理得: ,解得: , ,经检验: , 是此方程的根, , (不合题意,舍去), , 在 中, . (3)解:①如图,当 在边 上, 时, ,由(1)得: , , , , , ,故此种情况不存在. ②当 在矩形内部时,(ⅰ)如图,当 时,由(2)得: , , ; (ⅱ)如图,当 时, 由(2)得同理可求: , , , ,在 中, ,整理得: , 解得: , (舍去), ; ③如图,当 在矩形外部时, , 始终不是等腰三角形. 综上所述: 的长为 或 . 【点睛】本题主要考查了矩形的性质,等腰三角形的判定,三角形相似的判定及性质,勾股定理,一般角 的三角函数值等,掌握相关的判定方法及性质是解题的关键. 16.(2023秋·河北保定·八年级统考期中)如图, , 于点 , 于点 ,且, ,点 是线段 上一动点. (1)当 时, ;(2)点 从点 以每分钟 个单位长度的速度向点 运动,点 从点 以每分钟2个单位长度的速度向点 运动, 、 两点同时出发,运动 分钟后, 与 全等. 【答案】 6或8 3 【分析】(1)根据边的垂直关系可证 ,则 ,于是可求 的长. (2)根据题意,两三角形全等分两种情况分别予以讨论,注意求得的结果同时需要满足 . 【详解】(1)∵ ∴ ∴ ∴ 设 ,则 , ∵ ∴ 整理得: 解得: ∴ 或8.故答案为:6或8. (2)设运动y分钟后, 与 全等,则 . ① 时, ,即 ,解得: ,因 所以不合题意,舍去. ② 时, ,即 ,化简得: ∴ 或 (不合题意,舍去) 故运动3分钟后, 与 全等.故答案为:3. 【点睛】本题考查了动态几何在一元二次方程的实际应用,涉及相似三角形、全等三角形等知识点,解题的 关键是找准相似或全等三角形的对应边. 17.(2023·吉林长春·九年级校联考期中)[感知] 如图①,在四边形ABCD中,点P在边AB上(点P不 与A、B重合), , 易证: △DAP∽△PBC(不要求证明) [探究]如图②,在四边形ABCD中,点P在边AB上(点P不与A、B重合), (1)求证:△DAP∽△PBC. (2)若PD=5,PC=10.BC=8求AP的长. [应用]如图③,在△ABC中,AC=BC=4,AB=6,点P在边AB上(点P不与A、B重合),连结CP,作 ,与边BC交于点E.当CE=3EB时,直接写出AP的长. 【答案】(1)详见解析;(2)4;[应用]AP= 【分析】(1)由三角形外角性质可得∠DPB=∠A+∠ADP,然后推出∠ADP=∠CPB即可证明相似; (2)由相似得到对应边成比例,建立方程即可求AP; [应用]同(1)的方法,先证明∠EPB=∠ACP,然后证明△APC∽△BEP,再由对应边成比例建立方程求 AP. 【详解】(1)∵∠DPB=∠A+∠ADP,∴∠DPC+∠CPB=∠A+∠ADP,∵∠A=∠DPC,∴∠ADP=∠CPB ∵∠A=∠B∴ (2) ∴ ∴ ∴AP=4. [应用]AP= ,理由如下: ∵∠BPC=∠A+∠ACP∴∠CPE+∠EPB=∠A+∠ACP ∵∠CPE=∠A∴∠EPB=∠ACP 又∵AC=BC∴∠A=∠B∴△APC∽△BEP∴ ∵CE=3EB∴BE= BC=1∴ 解得AP= 【点睛】本题考查相似三角形的判定和性质,掌握“一线三等角”模型的证明方法是关键. 18.(2023·新疆·统考中考真题)【建立模型】(1)如图 ,点 是线段 上的一点, , , ,垂足分别为 , , , .求证: ; 【类比迁移】(2)如图 ,一次函数 的图象与 轴交于点 、与 轴交于点 ,将线段 绕点 逆时针旋转 得到 、直线 交 轴于点 .①求点 的坐标;②求直线 的解析式; 【拓展延伸】(3)如图 ,抛物线 与 轴交于 , 两点 点 在点 的左侧 ,与 轴交于 点,已知点 , ,连接 .抛物线上是否存在点 ,使得 ,若存在,求出点 的横 坐标. 【答案】(1)见解析; (2)① ;②直线 的解析式为 ;(3) 或 【分析】[建立模型](1)根据题意得出 , ,证明 ,即可得证; [类比迁移] (2)①过点 作 轴于点 ,同(1)的方法,证明 ,根据一次函数 的图象与 轴交于点 、与 轴交于点 ,求得 , ,进而可得 点的坐标; ②由 ,设直线 的解析式为 ,将点 代入得直线 的解析式为 ; [拓展延伸](3)根据解析式求得 , ;①当 点在 轴下方时,如图所示,连接 ,过点 作 于点 ,过点 作 轴于点 ,过点 作 ,于点 ,证明 , 根据 得出 ,设 ,则 ,求得点 , 进而求得直线 的解析式,联立抛物线解析式即可求解;②当 点在 轴的上方时,如图所示,过点 作 ,于点 ,过点 作 轴,交 轴于点 ,过点 作 于点 ,同①的方法即可 求解. 【详解】[建立模型](1)证明:∵ , , ,∴ , ∴ ,∴ , 又∵ ,∴ ; [类比迁移](2)如图所示,过点 作 轴于点 , ∵将线段 绕点 逆时针旋转 得到 ,∴ , 又 ,∴ , ∴ ,∴ , ∵一次函数 的图象与 轴交于点 、与 轴交于点 , 当 时, ,即 ,当 时, ,即 ,∴ ,∴ ,∴ ; ②∵ ,设直线 的解析式为 , 将 代入得: 解得: ∴直线 的解析式为 , (3)∵抛物线 与 轴交于 , 两点 点 在点 的左侧 , 当 时, ,解得: ,∴ , ; ①当 点在 轴下方时,如图所示,连接 ,过点 作 于点 ,过点 作 轴于点 , 过点 作 ,于点 , ∵ ,∴ ,∴ ,∴ , ∵ ,∴ , 设 ,则 ,∵ ,∴ , , ∵ , ,∴ ,解得: ,∴ , 设直线 的解析式为 , 代入 , 得: ,解得: ,∴直线 解析式为 , 联立 ,解得: (舍去), ;②当 点在 轴的上方时,如图所示,过点 作 于点 ,过点 作 轴,交 轴于点 , 过点 作 于点 , 同理可得 ,∴ ,设 ,则 , ∵ ,∴ , , ∵ ,∴ ,解得: ,∴ , 设直线 的解析式为 , 代入 , 得: ,解得: ,∴直线 的解析式为 , 联立 ,解得: (舍去), , 综上所述, 的横坐标为 或 . 【点睛】本题考查了二次函数综合运用,待定系数法求一次函数解析式,相似三角形的性质与判定,全等 三角形的性质与判定,旋转的性质等知识,熟练掌握以上知识是解题的关键.