当前位置:首页>文档>2023届高考化学一轮复习单元检测六 非金属及其化合物(word版含解析)_05高考化学_通用版(老高考)复习资料_2023年复习资料_一轮复习

2023届高考化学一轮复习单元检测六 非金属及其化合物(word版含解析)_05高考化学_通用版(老高考)复习资料_2023年复习资料_一轮复习

  • 2026-04-11 14:09:18 2026-03-26 19:25:03

文档预览

2023届高考化学一轮复习单元检测六 非金属及其化合物(word版含解析)_05高考化学_通用版(老高考)复习资料_2023年复习资料_一轮复习
2023届高考化学一轮复习单元检测六 非金属及其化合物(word版含解析)_05高考化学_通用版(老高考)复习资料_2023年复习资料_一轮复习
2023届高考化学一轮复习单元检测六 非金属及其化合物(word版含解析)_05高考化学_通用版(老高考)复习资料_2023年复习资料_一轮复习
2023届高考化学一轮复习单元检测六 非金属及其化合物(word版含解析)_05高考化学_通用版(老高考)复习资料_2023年复习资料_一轮复习
2023届高考化学一轮复习单元检测六 非金属及其化合物(word版含解析)_05高考化学_通用版(老高考)复习资料_2023年复习资料_一轮复习
2023届高考化学一轮复习单元检测六 非金属及其化合物(word版含解析)_05高考化学_通用版(老高考)复习资料_2023年复习资料_一轮复习
2023届高考化学一轮复习单元检测六 非金属及其化合物(word版含解析)_05高考化学_通用版(老高考)复习资料_2023年复习资料_一轮复习
2023届高考化学一轮复习单元检测六 非金属及其化合物(word版含解析)_05高考化学_通用版(老高考)复习资料_2023年复习资料_一轮复习
2023届高考化学一轮复习单元检测六 非金属及其化合物(word版含解析)_05高考化学_通用版(老高考)复习资料_2023年复习资料_一轮复习
2023届高考化学一轮复习单元检测六 非金属及其化合物(word版含解析)_05高考化学_通用版(老高考)复习资料_2023年复习资料_一轮复习
2023届高考化学一轮复习单元检测六 非金属及其化合物(word版含解析)_05高考化学_通用版(老高考)复习资料_2023年复习资料_一轮复习
2023届高考化学一轮复习单元检测六 非金属及其化合物(word版含解析)_05高考化学_通用版(老高考)复习资料_2023年复习资料_一轮复习
2023届高考化学一轮复习单元检测六 非金属及其化合物(word版含解析)_05高考化学_通用版(老高考)复习资料_2023年复习资料_一轮复习
2023届高考化学一轮复习单元检测六 非金属及其化合物(word版含解析)_05高考化学_通用版(老高考)复习资料_2023年复习资料_一轮复习
2023届高考化学一轮复习单元检测六 非金属及其化合物(word版含解析)_05高考化学_通用版(老高考)复习资料_2023年复习资料_一轮复习
2023届高考化学一轮复习单元检测六 非金属及其化合物(word版含解析)_05高考化学_通用版(老高考)复习资料_2023年复习资料_一轮复习
2023届高考化学一轮复习单元检测六 非金属及其化合物(word版含解析)_05高考化学_通用版(老高考)复习资料_2023年复习资料_一轮复习

文档信息

文档格式
docx
文档大小
1.261 MB
文档页数
13 页
上传时间
2026-03-26 19:25:03

文档内容

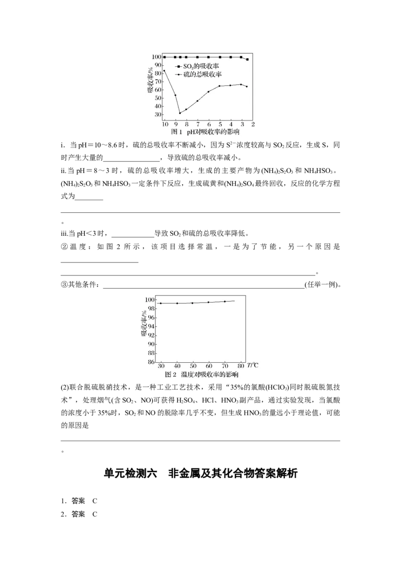
单元检测六 非金属及其化合物 一、选择题(本题包括15小题,每小题3分,共45分。在每小题给出的四个选项中,只有 一项是符合题目要求的) 1.下列说法错误的是( ) A.《元丰行示德逢》里“雷蟠电掣云滔滔,夜半载雨输亭皋”涉及化学反应:N + 2 O=====2NO 2 B.厨余垃圾中蕴藏着丰富的生物质能 C.二氧化硅广泛用于制作光导纤维,光导纤维遇强酸强碱都会“断路” D.纳米铁粉可以高效地去除污水中的重金属离子是因为其具有较强的还原性 2.在实验室采用如图装置制备气体,合理的是( ) 选项 化学试剂 制备气体 A Ca(OH) +NH Cl NH 2 4 3 B MnO +HCl(浓) Cl 2 2 C MnO +KClO O 2 3 2 D NaCl+HSO (浓) HCl 2 4 3.关于非金属含氧酸及其盐的性质,下列说法正确的是( ) A.浓HSO 具有强吸水性,能吸收糖类化合物中的水分并使其炭化 2 4 B.NaClO、KClO 等氯的含氧酸盐的氧化性会随溶液的pH减小而增强 3 C.加热NaI与浓HPO 混合物可制备HI,说明HPO 比HI酸性强 3 4 3 4 D.浓HNO 和稀HNO 与Cu反应的还原产物分别为NO 和NO,故稀HNO 氧化性更强 3 3 2 3 4.现今手机等电子产品产业蓬勃发展,推动了高纯硅的生产与应用。工业上用“西门子 法”以硅石(SiO)为原料制备冶金级高纯硅的工艺流程如图所示。下列说法错误的是( ) 2 已知:SiHCl 室温下为易挥发、易水解的无色液体。 3 A.“还原”过程需要在高温条件下,该反应的还原产物只有SiB.为最大程度节约成本,上述生产工艺中能循环使用的物质有H、HCl 2 C.“氧化”“分离”与“热解”的过程必须在无水、无氧的条件下进行 D.“氧化”过程反应的化学方程式为Si+3HCl=====SiHCl +H 3 2 5.已知三氟化氯(ClF )是一种强氧化剂和氟化剂,它能与大多数有机和无机材料甚至塑料 3 反应,可以使许多材料不接触火源就燃烧,可应用于航天工业。下列推测不合理的是( ) A.ClF 与水按照1∶2反应只生成一种弱酸和一种强酸 3 B.能与一些金属反应生成氯化物和氟化物 C.三氟化氯可用于清洁化学气相沉积的反应舱附着的半导体物质 D.可以代替HO 充当火箭推进剂中的氧化物 2 2 6.如图是M元素高中常见物质的价类二维图。其中A到D、D到E的转化都可以加同一 种物质实现,且E的相对分子质量比D的相对分子质量大16。下列说法正确的是( ) A.汽油燃料中主要含有M元素,所以汽车尾气中通常含有大量D而导致环境问题 B.检验I中阳离子的方法:向其样品中加强碱,产生的气体可使湿润的蓝色石蕊试纸变红 C.常温下,物质F的浓溶液可以用铁制容器盛放 D.物质B可用作火箭燃料,其电子式为 7.下列实验操作能达到实验目的的是( ) A.将一氧化氮和二氧化氮的混合气体通过氢氧化钠溶液进行分离 B.只用NaCO 溶液来鉴别CaCl 溶液、AlCl 溶液和稀硫酸 2 3 2 3 C.为检验某品牌食盐中是否加碘,将样品溶解后滴加淀粉溶液 D.向某溶液中滴加少量稀硝酸,产生白色沉淀,证明其中含有SiO 8.氯系氧化剂、消毒剂在生产、生活中有广泛应用。其消毒能力可以用“有效氯”表示, 有效氯定义为单位质量的消毒剂得电子能力与多少克氯气相当。下列消毒剂(或氧化剂)的 有效氯最高的是( ) A.NaClO B.Ca(ClO) 2 C.NaClO D.ClO 2 2 9.空气吹出法是工业海水提溴的常用方法,流程如下,下列说法不正确的是( ) A.步骤①中发生的主要反应为Cl+2Br-===Br +2Cl- 2 2B.步骤②③的目的是富集溴元素 C.物质X 为HBrO D.空气吹出法用到了溴易挥发的性质 10.空气中的硫酸盐会加剧雾霾的形成,我国科学家用下列实验研究其成因:反应室底部 盛有不同吸收液。将SO 和NO 按一定比例混合,以N 或空气为载气通入反应室,相同时 2 2 2 间后,检测吸收液中SO的含量,数据如下表所示。下列说法正确的是( ) 反应室 载气 吸收液 SO含量 数据分析 ① 蒸馏水 a N ⅰ.b≈d>a≈c 2 ② 3%氨水 b ⅱ.若起始不通入NO ,则最终 2 ③ 蒸馏水 c 空气 检测不到SO ④ 3%氨水 d A.实验表明:酸性环境下,更有利于硫酸盐的形成 B.反应室①中可能发生反应:SO +2NO +2HO===HSO +2HNO 2 2 2 2 4 2 C.本研究表明:硫酸盐的形成主要与空气中的O 有关 2 D.燃煤产生的气体盲目排放只会引起酸雨而不会加剧雾霾形成 11.根据装置和下表内的物质(省略夹持、净化以及尾气处理装置,图1中虚线框内的装置 是图2),其中能完成相应实验目的的是( ) a中的 实验目的、试剂和操作 选项 b中的物质 物质 实验目的 c中的物质 进气方向 A 稀硝酸 Cu 收集贮存NO 水 N→M B 浓硝酸 NaSO 检验SO 的氧化性 品红溶液 M→N 2 3 2 C 浓氨水 碱石灰 收集贮存氨气 饱和NH Cl溶液 N→M 4 D 浓盐酸 MnO 检验Cl 的氧化性 NaS溶液 M→N 2 2 2 12.一种新型的合成氨的方法如图所示,下列说法正确的是( ) A.反应①中N 发生了氧化反应 2B.反应①和②均属于“氮的固定” C.反应③为4LiOH=====4Li+2HO+O↑ 2 2 D.三步循环的总结果为N+3H2NH 2 2 3 13.三氯化硼(BCl )是一种重要的化工原料。某实验小组利用干燥的氯气和下列装置(装置 3 可重复使用)制备BCl 并验证反应中有CO生成。 3 已知:i.实验室制备BCl 的化学方程式为B O+3C+3Cl=====2BCl +3CO; 3 2 3 2 3 ii.BCl 的熔点为-107.3 ℃,沸点为12.5 ℃,遇水水解生成HBO 和HCl。下列说法不正 3 3 3 确的是( ) A.实验装置合理的连接顺序为①⑥④②⑦⑤③ B.装置④中发生反应的离子方程式为Cl+2OH-===Cl-+ClO-+HO 2 2 C.装置⑥的作用是冷凝并收集BCl 3 D.验证有CO生成的现象是装置⑦中CuO由黑色变成红色,且装置⑤中澄清石灰水变浑 浊 14.工业上利用NH 对烟道气进行脱硝(除氮氧化物)的SCR技术具有效率高、性能可靠的 3 优势。SCR技术的原理为NH 和NO在催化剂(MnO )表面转化为N 和HO,反应进程中的 3 2 2 2 相对能量变化如图所示。下列说法错误的是( ) A.总反应方程式为6NO+4NH =====5N+6HO 3 2 2 B.NH NO是脱硝反应的活性中间体 2 C.升高温度,脱硝反应的正反应速率的增大程度大于其逆反应速率的增大程度 D.决定反应速率的步骤是“H的移除” 15.A、B、C、X均为中学化学常见物质,它们之间有如下转化关系(副产物已略去),下 列相关叙述错误的是( )――→――→ A.若X是空气中存在的强氧化性无色气体单质,则A可以是C、Na、S、N 2 B.若X是黄绿色气体单质,则A可以是Fe,且B的水溶液中滴加铁氰化钾溶液会产生特 征蓝色沉淀 C.若X是一种温室气体,单质 A被誉为国防金属,则反应①的化学方程式为 2Mg+ CO=====2MgO+C 2 D.若X为一种混合物,其中一种溶质常作制冷剂,A能使品红褪色,加热后又恢复原色, 则反应①的离子方程式为SO +NH ·H O===NH+HSO 2 3 2 二、非选择题(本题包括5小题,共55分) 16.(8分)(1)在100 mL FeBr 溶液中通入标准状况下2.24 L Cl ,溶液中有的Br-被氧化成单 2 2 质Br ,则原FeBr 溶液中FeBr 的物质的量浓度为____________(结果保留两位小数)。 2 2 2 (2)三氟化氮(NF )是一种无色无味的气体,它是微电子工业技术的关键原料之一,三氟化氮 3 在潮湿的空气中与水蒸气能发生氧化还原反应,其反应的产物有:HF、NO和HNO ,请 3 根据要求回答下列问题: ① 写 出 该 反 应 的 化 学 方 程 式 : ______________________________________________________, 反应中生成0.2 mol HNO ,转移的电子数目为________。 3 ②NF 无色、无臭,但一旦在空气中泄漏,还是易于发现,判断该气体泄漏时的现象是 3 _______。 17.(10分)“绿水青山就是金山银山”。近年来,绿色发展、生态保护成为中国展示给世 界的一张新“名片”。 (1)治理汽车尾气中NO和CO的方法之一是在汽车的排气管上装一个催化转化装置,使NO 和 CO 在 催 化 剂 作 用 下 转 化 为 无 毒 物 质 。 写 出 该 反 应 的 化 学 方 程 式 : ______________________ ________________________________________________________________________。 (2)煤燃烧时排放的烟气含有SO 和NO,采用NaClO 溶液作为吸收剂可同时对烟气进行脱 2 x 2 硫、脱硝。将含有SO 和NO的烟气通入盛有NaClO 溶液的反应器中,反应一段时间后, 2 2 测得溶液中离子浓度的有关数据如下表所示(其他极微量离子忽略不计): 离子 Na+ SO NO H+ Cl- 浓度/ (mol·L-1) 5.5×10-3 8.5×10-4 y 2.8×10-4 3.5×10-3 ①NO 和 NaClO 溶 液 反 应 的 离 子 方 程 式 是 2 ___________________________________________。 ②表中y=________。 (3)工业生产硝酸也有可能产生NO 污染。请写出硝酸生产中的第一步:氨的催化氧化的化 x 学 方 程 式 为 _______________________________________________________________________。若用氮气制氨的产率为90%,用氨生产硝酸时氨的催化氧化和氮氧化物转化为硝酸的损耗 依次为5%、5%,则1 000 mol氮气可制得________(计算结果保留整数)mol硝酸。 18.(11分)二氯化二硫(S Cl)可作硫化剂、氯化剂。常温下是一种黄红色液体,沸点 137 2 2 ℃,在潮湿的空气中剧烈水解而发烟。SCl 可通过硫与少量氯气在110~140 ℃反应制得, 2 2 氯气过量则会生成SCl 。 2 (1)选用以下装置制取少量SCl(加热及夹持装置略): 2 2 ①仪器m的名称为________。 ②A中发生反应的化学方程式为___________________________________________________。 ③B中玻璃纤维的作用是_________________________________________________________。 ④D中的最佳试剂是________(填字母)。 a.碱石灰 b.浓硫酸 c.NaOH溶液 d.无水氯化钙 (2)S Cl 遇水剧烈水解,生成SO 、HCl和一种常见的固体。 2 2 2 ①该固体是________(填名称)。 ②甲同学为了验证两种气体产物,将水解生成的气体依次通过硝酸银与稀硝酸的混合溶液 品红溶液、NaOH 溶液,该方案______(填“可行”或“不可行”),原因是 __________________ ________________________________________________________________________。 (3)乙同学按如下实验方案检验SCl 是否含有杂质: 2 2 ①取1.25 g产品,在密闭容器中依次加入足量水、双氧水、Ba(NO ) 溶液,过滤; 3 2 ②往①的滤液中加入足量AgNO 溶液,过滤、洗涤、干燥,称得固体质量为2.87 g。则产 3 品中氯元素的质量分数为________,由此可知产品中________(填“含有”或“不含 有”)SCl 杂质。 2 19.(14分)砷为第ⅤA族元素,金属冶炼过程中产生的含砷有毒废弃物需处理与检测。 Ⅰ.冶炼废水中的砷元素主要以亚砷酸(H AsO )的形式存在,可用化学沉降法处理酸性高浓 3 3 度含砷废水,其工艺流程如下:已知:①As S 与过量的S2-反应的化学方程式为As S(s)+3S2-(aq)2AsS(aq); 2 3 2 3 ②亚砷酸盐的溶解性大于相应砷酸盐。 (1)亚砷酸中砷元素的化合价为________。 (2)“一级沉砷”,工业上采用硫化法(通常用硫化钠)去除废水中的砷,生成物为难溶性的 三 硫 化 二 砷 , 该 反 应 的 离 子 方 程 式 为 __________________________________________________。 “一级沉砷”中FeSO 的作用是___________________________________________________。 4 “二级沉砷”中HO 与含砷物质反应的化学方程式为________________________________。 2 2 (3)沉淀X为________(填化学式)。 Ⅱ.冶炼废渣中的砷元素主要以As S 的形式存在,可用古氏试砷法半定量检测(As的最低检 2 3 出限为3.0×10-6g)。 步骤1:取10 g废渣样品,粉碎后与锌粉混合,加入HSO 共热,生成AsH 气体。 2 4 3 步骤2:将AsH 气体通入AgNO 溶液中,生成银镜和As O。 3 3 2 3 步骤3:取1 g废渣样品,重复上述实验,未见银镜生成。 (4)AsH 的电子式为________________。 3 (5) 步 骤 2 的 离 子 方 程 式 为 _________________________________________________________。 (6)固体废弃物的排放标准中,砷元素不得高于4.0×10-5g·kg-1,请通过计算说明排放的废 渣中砷元素的含量 ________(填“符合”或“不符合”)排放标准,原因是 ___________________ _______________________________________________________________________________ 。 20.(12分)SO 和氮氧化物(NO)都是空气污染物,科学处理及综合利用是环境科学研究的 2 x 热点。 (1)某科研小组研究不同条件下0.4 mol·L-1(NH )S溶液常压下吸收SO 烟气的吸收率。 4 2 2 ①溶液pH:随着含SO 烟气的不断通入,SO 和硫的吸收率如图1所示: 2 2i.当pH=10~8.6时,硫的总吸收率不断减小,因为S2-浓度较高与SO 反应,生成S,同 2 时产生大量的________________,导致硫的总吸收率减小。 ii.当 pH=8~3 时,硫的总吸收率增大,生成的主要产物为(NH )SO 和 NH HSO 。 4 2 2 3 4 3 (NH )SO 和NH HSO 一定条件下反应,生成硫黄和(NH )SO 最终回收,反应的化学方程 4 2 2 3 4 3 4 2 4 式为________ _______________________________________________________________________________ 。 iii.当pH<3时,____________导致SO 和硫的总吸收率降低。 2 ②温度:如图 2 所示,该项目选 择常温,一是为了节能, 另一个原因是 ______________________ ________________________________________________________________________。 ③其他条件:_________________________________________________________(任举一例)。 (2)联合脱硫脱硝技术,是一种工业工艺技术,采用“35%的氯酸(HClO)同时脱硫脱氮技 3 术”,处理烟气(含SO 、NO)可获得HSO 、HCl、HNO 副产品,通过实验发现,当氯酸 2 2 4 3 的浓度小于35%时,SO 和NO的脱除率几乎不变,但生成HNO 的量远小于理论值,可能 2 3 的原因是 _______________________________________________________________________________ 。 单元检测六 非金属及其化合物答案解析 1.答案 C 2.答案 C解析 氨气的密度比空气小,不能用向上排空气法收集,故A错误;二氧化锰与浓盐酸共 热制备氯气为固液加热反应,需要选用固液加热装置,故 B错误;二氧化锰和氯酸钾共热 制备氧气为固固加热的反应,能选用图中的加热装置,氧气的密度大于空气,可选用向上 排空气法收集,故C正确;氯化钠与浓硫酸共热制备氯化氢气体为固液加热反应,需要选 用固液加热装置,故D错误。 3.答案 B 解析 浓硫酸能使蔗糖炭化,体现的是脱水性,而不是吸水性,A错误;NaClO在水溶液 中会发生水解,离子方程式为ClO-+HOHClO+OH-,pH减小,酸性增强,会促使平 2 衡向正反应方向移动,生成氧化性更强的HClO,ClO在酸性条件下可生成具有强氧化性的 氯气、二氧化氯等气体,增强氧化能力,B正确;HI的沸点低、易挥发,加热NaI与浓 HPO 混合物发生反应生成HI利用的是高沸点酸制备低沸点酸的原理,C错误;相同条件 3 4 下根据铜与浓硝酸、稀硝酸反应的剧烈程度可知,浓硝酸的氧化性大于稀硝酸的氧化性, D错误。 4.答案 A 解析 “还原”过程需要在高温条件下,二氧化硅和镁在高温下发生反应生成 Si,镁的还 原性强于硅,镁和硅可能发生反应生成MgSi,该反应的还原产物有Si、MgSi,故A错误; 2 2 根据流程图,“氧化”“热解”需要氯化氢、氢气,为最大程度节约成本,上述生产工艺 中能循环使用的物质有H 、HCl,故B正确;氢气、硅易与氧气反应,SiHCl 易水解,所 2 3 以“氧化”“分离”与“热解”的过程必须在无水、无氧的条件下进行,故C正确;“氧 化”过程中粗硅和氯化氢反应生成SiHCl 、H,反应的化学方程式为Si+3HCl=====SiHCl 3 2 3 +H,故D正确。 2 5.答案 A 解析 ClF 与水按照1∶2发生反应:ClF +2HO===3HF+HClO ,生成了两种弱酸,A错 3 3 2 2 误;ClF 中Cl为+3价,有氧化性,故能与一些金属反应生成氯化物和氟化物,B正确; 3 三氟化氯与水反应生成了HF,HF可与硅反应,故可用于清洁化学气相沉积的反应舱附着 的半导体物质,C正确;因ClF 有氧化性,可以使许多材料不接触火源就燃烧,故可以代 3 替HO 充当火箭推进剂中的氧化物,D正确。 2 2 6.答案 C 解析 汽油燃料中不含M元素,燃烧时吸入的空气中含有氮气,在放电条件下生成 NO, 导致环境污染,A错误;I为铵盐,加强碱,产生的气体氨气可使湿润的红色石蕊试纸变蓝 色,B错误;物质F为硝酸,常温下,浓硝酸与铁发生钝化,可以用铁制容器盛放,C正 确;物质B为联氨(H N—NH)可用作火箭燃料,其电子式为 ,D错误。 2 2 7.答案 B解析 一氧化氮和二氧化氮的混合气体能溶于氢氧化钠溶液生成硝酸钠和亚硝酸钠,不能 达到实验目的,故A错误;碳酸钠和氯化钙反应生成白色沉淀,氯化铝和碳酸钠反应生成 二氧化碳气体和白色沉淀,碳酸钠和稀硫酸反应生成气体,现象不同,可以鉴别,故 B正 确;食盐中加入的是碘酸钾,故C错误;能和稀硝酸反应生成白色沉淀的离子不一定是 SiO,也可能是偏铝酸根离子,故D错误。 8.答案 D 解析 A项,74.5 g NaClO作消毒剂,被还原为Cl-得电子的物质的量为2 mol;B项,143 g Ca(ClO) 作消毒剂,被还原为Cl-得电子的物质的量为4 mol;C项,90.5 g NaClO 作消 2 2 毒剂,被还原为Cl-得电子的物质的量为4 mol;D项,67.5 g ClO 作消毒剂,被还原为Cl 2 -得电子的物质的量为5 mol。 9.答案 C 解析 步骤①中发生的主要反应是氯气和溴离子反应生成溴单质,故A正确;用二氧化硫 还原后再用氯气氧化的目的是富集溴元素,故B正确;分析可知X为HBr,故C错误;热 空气吹出溴单质是利用了溴单质易挥发的性质,故D正确。 10.答案 B 解析 依据实验可知空气中如果含有氨气更有利于硫酸盐的形成,氨气是碱性气体,故 A 错误;依据题意可知二氧化硫、氮的氧化物、水发生反应生成亚硝酸和硫酸,所以反应室 ①中可能发生反应:SO +2NO +2HO===HSO +2HNO ,故 B 正确;依据数据 2 2 2 2 4 2 b≈d>a≈c可知,硫酸盐的形成与氨有关,故C错误;燃煤产生的SO 和氮氧化物会引起 2 酸雨,空气中的硫酸盐会加剧雾霾的形成,故D错误。 11.答案 A 解析 稀硝酸和Cu反应生成NO,NO不溶于水,不与水反应,用排水法收集NO,进气方 向是N→M,故A符合题意;由于浓硝酸具有强氧化性,因此浓硝酸与 NaSO 反应生成硫 2 3 酸盐和NO 气体,因此无法检验SO 的氧化性,故B不符合题意;由于氨气极易溶于水, 2 2 因此氨气溶于饱和NH Cl溶液中,不能用排饱和NH Cl溶液来收集氨气,故C不符合题意; 4 4 二氧化锰和浓盐酸在加热条件下反应,而该实验没有加热,因此不能产生氯气,故D不符 合题意。 12.答案 C 解析 反应①中氮元素得电子,发生还原反应,化合价降低,A错误;氮的固定是将空气 中游离态的氮转化为含氮化合物的过程,反应①是氮的固定,反应②不是,B错误;反应 ③是 LiOH 在通电条件下生成 Li、O 、HO,反应方程式为 4LiOH=====4Li+2HO+ 2 2 2 O↑,C正确;该合成氨反应中没有氢气参与,氢元素来源于水,且伴有氧气生成,三步 2 循环的总结果为2N+6HO===4NH +3O,D项错误。 2 2 3 2 13.答案 A解析 用Cl 与B O 、C反应生成BCl 和CO,三氯化硼的熔点为-107.3 ℃,沸点为12.5 2 2 3 3 ℃,所以收集三氯化硼要用冰水冷凝;检验 CO之前,为防止未反应的Cl 、可能存在的 2 CO 对CO的检验造成干扰,要先将气体通入NaOH溶液中;为防止氢氧化钠溶液中水蒸 2 气进入BCl 收集装置而使BCl 水解,在NaOH溶液之前需装有干燥装置;气体通过NaOH 3 3 溶液后又带上水蒸气,再次干燥后将气体通入灼热的氧化铜,再将生成的气体通入澄清石 灰水;若灼热的氧化铜变红且澄清石灰水变浑浊,可证明原反应中有一氧化碳生成;未反 应的CO有毒,不能排放到空气中,要用排水法收集后进行处理,据此分析解答。由分析 可知,实验装置合理的连接顺序为①⑥②④②⑦⑤③,A错误;气体通入装置④后,未反 应的Cl 被NaOH溶液吸收,反应的离子方程式为Cl+2OH-===Cl-+ClO-+HO,B正确; 2 2 2 结合分析可知,装置⑥的作用是冷凝并收集BCl ,C正确;若装置①中反应有CO生成, 3 ⑦中CuO将由黑色变成红色,装置⑤中澄清石灰水将变浑浊,D正确。 14.答案 C 解析 由题意可知总反应方程式为6NO+4NH =====5N+6HO,A说法正确;观察相对能 3 2 2 量—反应进程曲线知,NH 吸附在催化剂表面后,经过一定的反应形成了NH NO,NH NO 3 2 2 又经过反应得到N 和HO,所以NH NO是脱硝反应的活性中间体,B说法正确;起始相 2 2 2 对能量高于终态,说明这是一个放热反应,升高温度平衡会逆向移动,所以升高温度后, 脱硝反应的正反应速率的增大程度小于其逆反应速率的增大程度,C说法错误;相对能量 —反应进程曲线表明,全过程只有H的移除是一个需要吸收能量的反应,其速率是全过程 几个反应中最慢的,决定了反应的速率,是总反应的控速步骤,D说法正确。 15.答案 B 解析 若X是空气中存在的强氧化性无色气体单质,X是氧气,则A可以是C、Na、S、 N ,A正确;若X是黄绿色气体单质,X是氯气,氯气与铁反应生成氯化铁,氯化铁与氯 2 气不反应,B错误;若X是一种温室气体,单质A被誉为国防金属,X是二氧化碳,A是 镁,则反应①的化学方程式为2Mg+CO=====2MgO+C,C正确;若X为一种混合物,其 2 中一种溶质常作制冷剂,A能使品红褪色,加热后又恢复原色,A是二氧化硫,X是氨水, 则反应①的离子方程式为SO +NH ·H O===NH+HSO,D正确。 2 3 2 16.答案 (1)1.33 mol·L-1 (2)①3NF +5HO===9HF+2NO+HNO 0.4N ②出现红棕 3 2 3 A 色气体 解析 (1)标况下2.24 L Cl 的物质的量为0.1 mol,反应过程中Cl 全部转化为Cl-,所以可 2 2 以转移0.2 mol电子,设溴化亚铁的物质的量浓度为 c mol·L-1,则Fe2+的物质的量为0.1c mol,全部被氧化,Br-的物质的量为0.2c mol,根据题意被氧化的Br-的物质的量为0.05c mol,则根据得失电子守恒有0.1c mol+0.05c mol=0.2 mol,解得c≈1.33,即原FeBr 溶 2 液中FeBr 的物质的量浓度为1.33 mol·L-1。(2)①根据题意可知,反应物为NF 和HO,生 2 3 2 成物为NO、HNO 和HF,在该反应中NF 中的N元素的化合价一部分由+3价升高到+5 3 3价,失去2个电子,一部分由+3价降低到+2价,得到1个电子,根据得失电子守恒和原 子守恒配平,该反应的化学方程式为3NF +5HO===9HF+2NO+HNO ;当生成1 mol硝 3 2 3 酸时转移的电子为2 mol,所以当反应中生成0.2 mol HNO 时,转移的电子数目为 0.4N 。 3 A ②NF 是一种无色、无臭的气体,但一旦 NF 在空气中泄漏,就会发生反应:3NF + 3 3 3 5HO===9HF+2NO+HNO 、2NO+O===2NO ,NO 是红棕色有刺激性气味的气体,所 2 3 2 2 2 以判断该气体泄漏时的现象是出现红棕色气体。 17.答案 (1)2CO+2NO=====2CO +N (2)①4NO+3ClO+2HO===4NO+3Cl-+4H+ 2 2 2 ②5.8×10-4 (3)4NH +5O=====4NO+6HO 1 625 3 2 2 解析 (1)在汽车的排气管上装一个催化转化装置,使NO和CO在催化剂作用下转化为无 毒物质,根据原子守恒可知应该是氮气和二氧化碳,则该反应的化学方程式为 2CO+ 2NO=====2CO +N 。(2)①根据表中数据可知反应后有氯离子和硝酸根离子生成,这说明 2 2 NaClO 是氧化剂,NO是还原剂,因此NO和NaClO 溶液反应的离子方程式是4NO+3ClO 2 2 +2HO===4NO+3Cl-+4H+。②忽略氢氧根离子浓度,根据电荷守恒可知y=5.5×10-3+ 2 2.8×10-4-3.5×10-3-2×8.5×10-4=5.8×10-4。(3)硝酸生产中的第一步是氨的催化氧化, 反应的化学方程式为4NH +5O=====4NO+6HO;根据氮原子守恒可知1 000 mol氮气可 3 2 2 制硝酸为1 000 mol×2×(1-5%)×(1-5%)×90%≈1 625 mol。 18.答案 (1)①(直形)冷凝管 ②MnO +4HCl(浓)=====MnCl +Cl↑+2HO ③增大硫 2 2 2 2 与氯气的接触面积,加快反应速率 ④a (2)①硫 ②不可行 SO 易被硝酸氧化生成 2 SO,既难于检验SO ,又干扰HCl的检验 (3)56.8% 含有 2 解析 (1)④D球形干燥管装固体干燥剂,故不选b、c;D吸收空气中的水蒸气同时吸收未 反应的氯气;碱石灰既可以吸收空气中的水蒸气又可以吸收未反应的氯气,故选a;无水 氯化钙虽能吸收空气中的水蒸气,但不能吸收未反应的氯气,故不选d。 (2)①由题意可知该反应为歧化反应,即2SCl +2HO===SO ↑+4HCl+3S↓,所以生成 2 2 2 2 的固体为硫。②稀硝酸能将二氧化硫氧化为硫酸根离子,硫酸根离子与银离子反应生成微 溶于水的硫酸银,会影响氯离子的检验。(3)所得固体为AgCl,则氯元素的质量为×2.87 g =0.71 g,则样品中氯元素的质量分数为×100%=56.8%;因为SCl 中氯元素的质量分数 2 2 为 ×100%≈52.59% , SCl 中 氯 元 素 的 质 量 分 数 为 ×100%≈68.93% , 2 52.59%<56.8%<68.93%,故含有SCl 杂质。 2 19.答案 (1)+3 (2)2H AsO +3S2-+6H+===As S↓+6HO 沉淀过量的 S2-,使 3 3 2 3 2 As S(s)+3S2-(aq)2AsS(aq)平衡左移,提高沉砷效率 HAsO +HO===HAsO +HO 2 3 3 3 2 2 3 4 2 (3)CaSO 4 (4) (5)12Ag++2AsH +3HO===12Ag↓+As O↓+12H+ (6)不符合 因为该废渣砷最低含量 3 2 2 3为×1 000 g·kg-1=3.0×10-4g·kg-1,大于排放标准4.0×10-5g·kg-1 解析 (1)亚砷酸(H AsO )中氢元素为+1价,氧元素为-2价,化合物化合价代数和为0, 3 3 则砷元素的化合价为+3。(2)“二级沉砷”中HO 与含砷物质发生氧化还原反应,反应的 2 2 化学方程式为HAsO +HO===HAsO +HO。(3)根据流程分析可知,加入氧化钙和水反 3 3 2 2 3 4 2 应生成氢氧化钙,氢氧化钙和砷酸反应生成砷酸钙沉淀,氢氧化钙和铁离子反应生成氢氧 化铁沉淀,钙离子结合硫酸根离子形成硫酸钙沉淀,所以沉淀X为CaSO 。(4)AsH 和氨分 4 3 子结构相同,为共价化合物,砷原子和三个氢原子形成三个 As—H 键,电子式为 。(5)将AsH 气体通入AgNO 溶液中,生成银镜和As O ,离子方程式为12Ag+ 3 3 2 3 +2AsH +3HO===12Ag↓+As O↓+12H+。(6)As的最低检出限为3.0×10-6g,取1 g废 3 2 2 3 渣样品,重复上述实验,未见银镜生成,取10 g废渣样品最后生成银镜和As O 。则10 g 2 3 废渣含砷量最少为3.0×10-6g,则该废渣中砷元素的含量为×1 000 g·kg-1=3.0×10-4g·kg- 1,大于排放标准4.0×10-5 g·kg-1,所以不符合排放标准。 20.答案 (1)①i.H S气体 ii.(NH )SO+2NH HSO ===2S↓+2(NH )SO +HO iii.吸收 2 4 2 2 3 4 3 4 2 4 2 剂消耗完全,SO 饱和逸出 2 ②常温时硫的吸收率已经很高了,升高温度吸收率变化不大 ③通入含SO 的烟气的速率 2 (2)NO可能被氧化成NO 及其他含氮化合物 2 解析 (1)①由图可知当pH=10~8.6时,硫的总吸收率不断减小;当pH=8~3时,硫的 总吸收率增大;当pH<3时,SO 和硫的总吸收率降低。当pH=10~8.6时,S2-浓度较高 2 与SO 反应,生成硫单质和硫化氢气体,导致硫的总吸收率减小。②由图2可看出,温度 2 对吸收率的影响不大,说明常温时硫的吸收率已经很高了,升高温度吸收率变化不大。(2) 采用“35%的氯酸(HClO)同时脱硫脱氮技术”,处理烟气,因为烟气中含SO 、NO,故可 3 2 能导致NO被氧化成NO 及其他含氮化合物。 2