当前位置:首页>文档>第十九章一次函数(单元重点综合测试)(教师版)_初中数学_八年级数学下册(人教版)_知识点汇总-U105_2024版

第十九章一次函数(单元重点综合测试)(教师版)_初中数学_八年级数学下册(人教版)_知识点汇总-U105_2024版

  • 2026-04-01 10:50:06 2026-03-29 03:55:53

文档预览

第十九章一次函数(单元重点综合测试)(教师版)_初中数学_八年级数学下册(人教版)_知识点汇总-U105_2024版
第十九章一次函数(单元重点综合测试)(教师版)_初中数学_八年级数学下册(人教版)_知识点汇总-U105_2024版
第十九章一次函数(单元重点综合测试)(教师版)_初中数学_八年级数学下册(人教版)_知识点汇总-U105_2024版
第十九章一次函数(单元重点综合测试)(教师版)_初中数学_八年级数学下册(人教版)_知识点汇总-U105_2024版
第十九章一次函数(单元重点综合测试)(教师版)_初中数学_八年级数学下册(人教版)_知识点汇总-U105_2024版
第十九章一次函数(单元重点综合测试)(教师版)_初中数学_八年级数学下册(人教版)_知识点汇总-U105_2024版
第十九章一次函数(单元重点综合测试)(教师版)_初中数学_八年级数学下册(人教版)_知识点汇总-U105_2024版
第十九章一次函数(单元重点综合测试)(教师版)_初中数学_八年级数学下册(人教版)_知识点汇总-U105_2024版
第十九章一次函数(单元重点综合测试)(教师版)_初中数学_八年级数学下册(人教版)_知识点汇总-U105_2024版
第十九章一次函数(单元重点综合测试)(教师版)_初中数学_八年级数学下册(人教版)_知识点汇总-U105_2024版
第十九章一次函数(单元重点综合测试)(教师版)_初中数学_八年级数学下册(人教版)_知识点汇总-U105_2024版
第十九章一次函数(单元重点综合测试)(教师版)_初中数学_八年级数学下册(人教版)_知识点汇总-U105_2024版
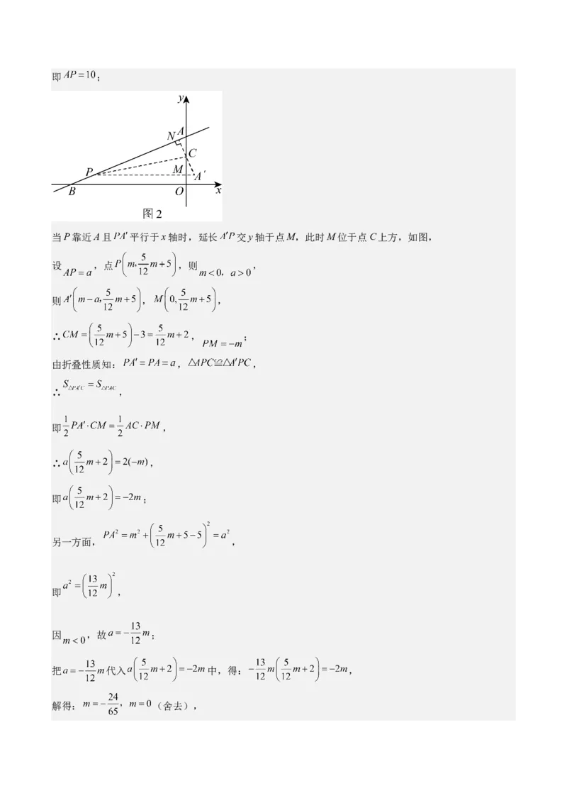
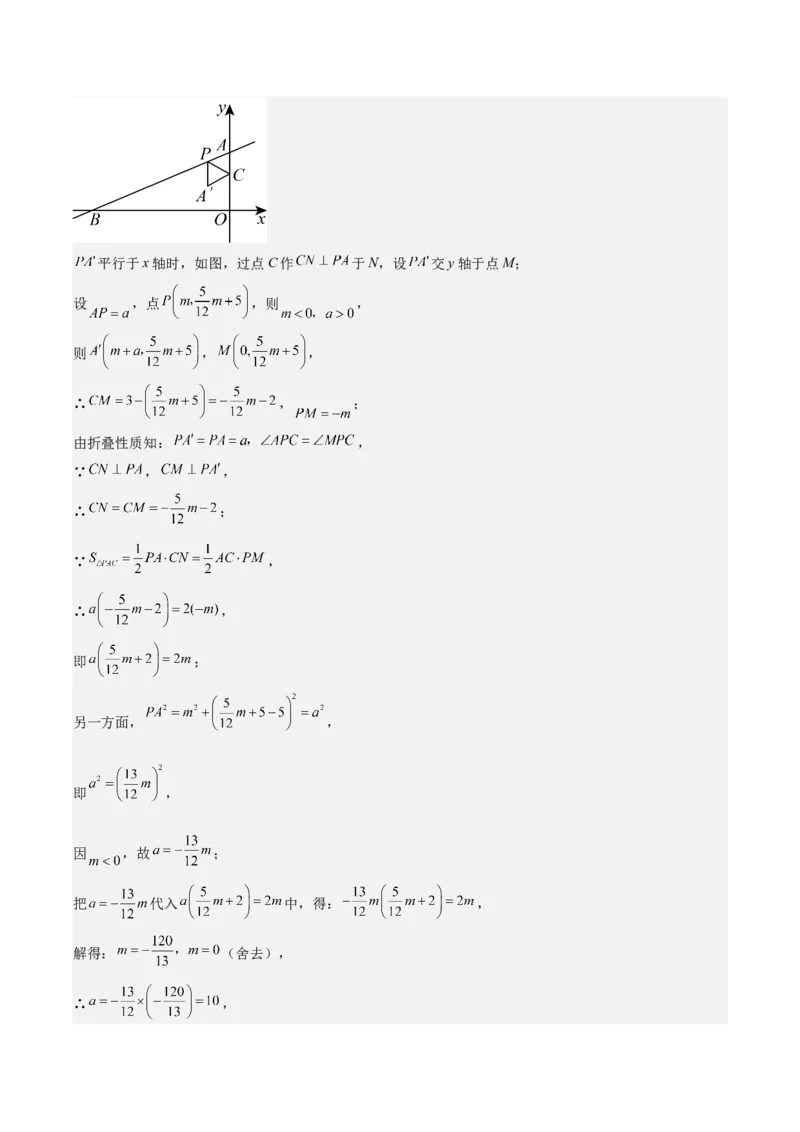
第十九章一次函数(单元重点综合测试)(教师版)_初中数学_八年级数学下册(人教版)_知识点汇总-U105_2024版
第十九章一次函数(单元重点综合测试)(教师版)_初中数学_八年级数学下册(人教版)_知识点汇总-U105_2024版
第十九章一次函数(单元重点综合测试)(教师版)_初中数学_八年级数学下册(人教版)_知识点汇总-U105_2024版
第十九章一次函数(单元重点综合测试)(教师版)_初中数学_八年级数学下册(人教版)_知识点汇总-U105_2024版
第十九章一次函数(单元重点综合测试)(教师版)_初中数学_八年级数学下册(人教版)_知识点汇总-U105_2024版
第十九章一次函数(单元重点综合测试)(教师版)_初中数学_八年级数学下册(人教版)_知识点汇总-U105_2024版
第十九章一次函数(单元重点综合测试)(教师版)_初中数学_八年级数学下册(人教版)_知识点汇总-U105_2024版
第十九章一次函数(单元重点综合测试)(教师版)_初中数学_八年级数学下册(人教版)_知识点汇总-U105_2024版
第十九章一次函数(单元重点综合测试)(教师版)_初中数学_八年级数学下册(人教版)_知识点汇总-U105_2024版
第十九章一次函数(单元重点综合测试)(教师版)_初中数学_八年级数学下册(人教版)_知识点汇总-U105_2024版
第十九章一次函数(单元重点综合测试)(教师版)_初中数学_八年级数学下册(人教版)_知识点汇总-U105_2024版
第十九章一次函数(单元重点综合测试)(教师版)_初中数学_八年级数学下册(人教版)_知识点汇总-U105_2024版
第十九章一次函数(单元重点综合测试)(教师版)_初中数学_八年级数学下册(人教版)_知识点汇总-U105_2024版
第十九章一次函数(单元重点综合测试)(教师版)_初中数学_八年级数学下册(人教版)_知识点汇总-U105_2024版
第十九章一次函数(单元重点综合测试)(教师版)_初中数学_八年级数学下册(人教版)_知识点汇总-U105_2024版
第十九章一次函数(单元重点综合测试)(教师版)_初中数学_八年级数学下册(人教版)_知识点汇总-U105_2024版
第十九章一次函数(单元重点综合测试)(教师版)_初中数学_八年级数学下册(人教版)_知识点汇总-U105_2024版
第十九章一次函数(单元重点综合测试)(教师版)_初中数学_八年级数学下册(人教版)_知识点汇总-U105_2024版
第十九章一次函数(单元重点综合测试)(教师版)_初中数学_八年级数学下册(人教版)_知识点汇总-U105_2024版
第十九章一次函数(单元重点综合测试)(教师版)_初中数学_八年级数学下册(人教版)_知识点汇总-U105_2024版
第十九章一次函数(单元重点综合测试)(教师版)_初中数学_八年级数学下册(人教版)_知识点汇总-U105_2024版
第十九章一次函数(单元重点综合测试)(教师版)_初中数学_八年级数学下册(人教版)_知识点汇总-U105_2024版
第十九章一次函数(单元重点综合测试)(教师版)_初中数学_八年级数学下册(人教版)_知识点汇总-U105_2024版
第十九章一次函数(单元重点综合测试)(教师版)_初中数学_八年级数学下册(人教版)_知识点汇总-U105_2024版
第十九章一次函数(单元重点综合测试)(教师版)_初中数学_八年级数学下册(人教版)_知识点汇总-U105_2024版

文档信息

文档格式
docx
文档大小
4.946 MB
文档页数
33 页
上传时间
2026-03-29 03:55:53

文档内容

第十九章 一次函数(单元重点综合测试) 班级___________ 姓名___________ 学号____________ 分数____________ 考试范围:全章的内容; 考试时间:120分钟; 总分:120分 一、选择题(本大题共10小题,每小题3分,共30分) 1.(2024上·山东淄博·七年级统考期末)下列函数:① ;② ;③ ;④ ,其中一 次函数的个数是( ) A.1个 B.2个 C.3个 D.4个 【答案】B 【分析】本题考查了一次函数的识别,根据形如 ,这样的函数叫做一次函数,进行判断即 可. 【详解】解:① ;② ;③ ;④ ,其中是一次函数的有①③,共2个; 故选B. 2.(2024上·江苏·八年级统考期末)一次函数 的图象不经过的象限为( ) A.第一象限 B.第二象限 C.第三象限 D.第四象限 【答案】C 【分析】本题考查的是一次函数的性质.先根据一次函数 中 , 判断出函数图象经过 的象限,进而可得出结论. 【详解】解: 一次函数 中 , , 此函数的图象经过一、二、四象限,不经过第三象限. 故选:C. 3.(2024上·广西百色·八年级统考期末)一次函数 的图象经过两个点 和 ,则 与 的大小关系是( )A. B. C.当 时, D.当 时, 【答案】A 【分析】本题主要考查一次函数的性质,当 中 时,y随x的增大而增大,由此可解. 【详解】解:∵ , ∴y随x的增大而增大, 又∵一次函数 的图象经过两个点 和 , , ∴ . 故选A. 4.(2024上·浙江宁波·七年级校联考期末)如图,直线 与直线 相交于点 , 则关于x的不等式 的解是( ) A. B. C. D. 【答案】D 【分析】本题主要考查了一次函数图象上点的坐标特征,一次函数与一元一次不等式,正确数形结合分析 是解题关键. 【详解】解: 直线 过点 , , , , 如图所示:关于 的不等式 的解是: . 故选:D.5.(2024上·河南平顶山·八年级统考期末)对于一次函数 ,下列说法正确的是( ) A.这个函数的图象不经过第一象限. B.若点 和点 在这个函数图象上,则 . C.点 在这个函数图象上. D.这个函数的图象与坐标轴围成的图形面积是18. 【答案】B 【分析】本题考查了一次函数的图象与性质,图象所经过的象限,图象与坐标轴的交点,正确掌握一次函 数图象及性质是解题的关键.根据一次项系数 和常数项 的值判断A;利用一次函数图象的增减性判断 B;将 代入一次函数解析式即可判断C;求出直线与坐标轴的交点即可求出图象与两坐标轴围成的图 形面积. 【详解】解: , , 函数图象经过第一、二、四象限,即图象经过第一象限,故选项A错误; , 一次函数图象随着 的增大 值越来越小, , ,故选项B正确; 当 时, ,即图象不经过点 ,故选项C错误; 当 时, ,解得: ; 当 时, , 与坐标轴的交点分别为 , , 图象与坐标轴围成的图形面积是 , 故选项D错误; 故选:B. 6.(2024·山东泰安·一模)甲车与乙车同时从 地出发去往 地,如图所示,折线 和射线 分别是甲、乙两车行进过程中路程与时间的关系,已知甲车中途有事停留36分钟后再继续前往 地,两车同时到达 地,则下列说法:①乙车的速度为70千米 时;②甲车再次出发后的速度为100千米 时;③两 车在到达 地前不会相遇;④甲车再次出发时,两车相距60千米.其中正确的有( ) A.1个 B.2个 C.3个 D.4个 【答案】C 【分析】本题主要考查行程问题的函数图象,掌握“速度 路程 时间”以及函数图象上的点的坐标的实 际意义,是解题的关键.根据“速度 路程 时间”,可得乙的速度以及甲车再次出发后的速度,即可判 断①②;根据函数图象,可直接判断③;求出甲车再次出发时,乙车行驶的路程,即可得到两车的距离, 即可判断④. 【详解】解:乙车的速度为: 千米/时,故①错误; 甲车再次出发后的速度为: 千米/时,故②正确; 由图象知,两车在到达B地前不会相遇,故③正确; ∵甲车再次出发时,两车相距: 千米,故④正确, 故选:C. 7.(2024上·重庆大渡口·八年级统考期末)在同一平面直角坐标系中,函数 和 的 图象可能是( ) A. B. C. D. 【答案】A 【分析】此题考查了一次函数和正比例函数的图象,熟记一次函数 的性质是解题的关键.先根据一次函数与坐标轴的交点排除B、C、D,进而可得出A正确. 【详解】解:∵ , ∴一次函数 过点 ,故B、C、D不合题意, A、由一次函数的图象可得 即 ,而正比例函数图象可得 ,符合题意. 故选:A. 8.(2024上·江苏·八年级统考期末)如图,折线为 关于 的函数图象,下列关于该函数说法正确的是 ( ) A.点 在该函数图象上 B.当 时, 随 的增大而增大 C.该函数有最大值 D.当 时,函数值总大于 【答案】A 【分析】本题考查了一次函数的解析式求解,以及从函数图象获取信息,旨在考查学生的信息提取能力, 结合图象即可判断各选项. 【详解】解:由图象可知: A.设 时, , 则 , 解得 , , 当 时, , 点 在该函数图象上, 故选项A说法正确,符合题意;B.当 时, 随 的增大而增大;当 时, 随 的增大而减小,原说法错误,故本选项不合题意; C.该函数有最大值是 ,原说法错误,故本选项不合题意; D.当 时,函数值总大于 ,原说法错误,故本选项不合题意. 故选: . 9.(2024·全国·八年级竞赛)七个边长为1的正方形如图摆放在平面直角坐标系中,直线 将这七个 正方形分成面积相等的两部分,则 的值为( ) A. B. C. D.1 【答案】A 【分析】本题考查求一次函数解析式,把图形补全得到一个边长为3的正方形,写出点A和点B的坐标, 根据梯形面积是 列出关于k的方程.解方程即可得到k的值.数形结合是解题的关键. 【详解】解:如图,把图形补全得到一个边长为3的正方形,直线 将这个正方形分成面积相等的两 部分,每部分的面积为 ,则点A的坐标为 ,点B的坐标为 , 根据直线下方梯形的面积得到 , 解得 , 故选:A 10.(2024上·江苏常州·八年级统考期末)如图,将一个圆柱形无盖小烧杯放置在一个圆柱形无盖大烧杯 底部,杯底厚度忽略不计.已知大烧杯的底面半径是小烧杯的底面半径的2倍,现向小烧杯内匀速加水,当大烧杯内的水面高度与小烧杯顶部齐平时,就停止加水.在加水的过程中,小烧杯、大烧杯内水面的高 度差 随加水时间 变化的图象可能是( ) A. B. C. D. 【答案】C 【分析】本题考查了函数的图象.正确理解函数图象横纵坐标表示的意义,理解问题的过程,能够通过图 象得到函数是随自变量的增大,知道函数值是增大还是减小.根据题意判断出小烧杯、大烧杯的液面高度 随时间 的变化情况即可. 【详解】解: 大烧杯的底面半径是小烧杯的底面半径的2倍, 小烧杯的容积是大烧杯与小烧杯顶部齐平时下部容积的 , 注满小烧杯的所需时间是大烧杯下部注水时间的 , 小烧杯、大烧杯内水面的高度差 随加水时间 变化的图象可能是选项C. 故选:C 二、填空题(本大题共6小题,每小题3分,共18分) 11.(2024上·江苏·八年级统考期末)若关于 的函数 是正比例函数,则 的值是 . 【答案】4 【分析】本题考查了正比例函数的定义,对于一次函数 ,当 时,称 为正比例函 数. 【详解】解: 关于 的函数 是正比例函数, , 解得: .故答案为: . 12.(2024上·浙江宁波·八年级统考期末)已知函数 ,则该函数与 轴交点的坐标是 . 【答案】 【分析】本题主要考查一次函数的图象和性质,将 代入函数 ,即可求得答案. 【详解】将 代入函数 ,可得 . 所以,函数 与 轴交点的坐标是 . 故答案为: 13.(2024上·山东枣庄·八年级统考期末)点 在直线 上,则代数式 的值是 . 【答案】5 【分析】本题考查代数式求值,一次函数上的点与其解析式的关系,根据题意,将点 代入直线 得到 ,恒等变形得到 ,整体代入代数式即可得到答案,熟练掌握整体代入求 代数式值的方法是解决问题的关键. 【详解】解: 点 在直线 上, 将点 代入直线 得到 , , 故答案为: . 14.(2024上·浙江宁波·七年级校联考期末)一辆汽车加满油后,油箱中有汽油55升,汽车行驶时正常的 耗油量为每千米0.1升,则加满油后,油箱中剩余的汽油量y(升)关于已行驶的里程 的函数解析式为 . 【答案】 【分析】本题考查函数关系式,根据题意得到变量之间的数量关系是解题的关键. 【详解】解: 汽车耗油量为每千米 升, 行驶 km耗油 升, 加满油后,油箱中剩余的汽油量 . 故答案为: . 15.(2024上·山东淄博·八年级统考期末)一次函数 的图象经过点 ,且与 轴, 轴分别 交于 , 两点.将该直线绕点 顺时针旋转 至直线 ,则直线 的函数表达式 . 【答案】 【分析】本题考查待定系数法求一次函数的解析式,直线与坐标轴的交点,全等三角形的判定与性质,图 形的面积等知识,根据待定系数法求得直线 的解析式,进而即可求得 、 的坐标,求出 , ,过 作 交 于点 ,过点 作 轴于 ,,通过证得 ,即可求得 的坐标,然后根据待定系数法即可求得直线 的解析式,解题的关键是添加辅助线构造全等三角形. 【详解】∵一次函数 的图象经过点 , ∴ ,解得 , ∴ , 令 ,则 ;令 ,则 , ∴ , , ∴ , , 过 作 交 于点 ,过点 作 轴于 ,如图,∵ , , ∴ , ∴ , ∵ , ∴ , 在 和 中, , ∴ , ∴ , , ∴ , ∴ , 设直线 的解析式为 ,把 , 代入得, ,解得 , ∴直线 的解析式为 , 故答案为: . 16.(2023上·四川成都·八年级校联考期末)如图,直线 与坐标轴相交于点A,B,点 , 点P在线段 上运动,连接 .将 沿 翻折,使A点落在点 处,若 平行于坐标轴时,则. 【答案】 的长为 或2或10 【分析】分三种情况: 平行于y轴时,由平行线的性质及等腰三角形性质、对称性质即可求解; 平 行于x轴时,过点C作 于N,设 交y轴于点M;设 ,点 , 则可得 , M的坐标,从而求得 ,再由折叠性质得 ,可得 ;由 求得a与m的关系;再由勾股定理得 ,从而可 求得m及a的值;当P靠近A且 平行于x轴时,延长 交y轴于点M,求法与上面 平行x轴的求 法类似. 【详解】解:当 平行于y轴时,如图, 则 , 由折叠知: , , ∴ , ∴ , ∴ ; 对于 ,令 ,得 ;令 ,得 ; ∴ , ∵ , ∴ , ∴ ;平行于x轴时,如图,过点C作 于N,设 交y轴于点M; 设 ,点 ,则 , 则 , , ∴ , ; 由折叠性质知: , ∵ , , ∴ ; ∵ , ∴ , 即 ; 另一方面, , 即 , 因 ,故 ; 把 代入 中,得: , 解得: (舍去), ∴ ,即 ; 当P靠近A且 平行于x轴时,延长 交y轴于点M,此时M位于点C上方,如图, 设 ,点 ,则 , 则 , , ∴ , ; 由折叠性质知: , , ∴ , 即 , ∴ , 即 ; 另一方面, , 即 , 因 ,故 ; 把 代入 中,得: , 解得: (舍去),∴ , 即 ; 综上, 的长为 或2或10. 【点睛】本题考查了一次函数图象上点的坐标特征,平行线的性质,等腰三角形的性质角平分线的性质, 勾股定理,等积法,利用等积法是解题的关键与难点. 三、(本大题共4小题,每小题6分,共24分) 17.(2024上·浙江绍兴·八年级统考期末)已知一次函数 ,它的图象经过 , 两点. (1)求y与x之间的函数表达式. (2)当 时,求函数值y的取值范围. 【答案】(1) (2) 【分析】本题主要考查待定系数法求一次函数解析式以及一次函数的性质,解题的关键是掌握待定系数法 求函数表达式的方法. (1)把点 , 的坐标分别代入 ,得到二元一次方程组,然后求得k、b的值,即可得到 答案; (2)根据 ,y随x的增大而增大,即可得出对应自变量取值范围函数值y的取值范围. 【详解】(1)解:把点 , 的坐标分别代入 ,得: , 解得 , ∴y与x之间的函数关系式为: . (2)当 时, ;当 时, , ∵ ,y随x的增大而增大, ∴当 时, . 18.(2024上·安徽滁州·八年级统考期末)已知 与 成正比例,且当 时, . (1)求y与x之间的函数表达式; (2)当 时,求x的值. 【答案】(1) (2) 【分析】本题主要考查了正比例函数,解题的关键是熟练掌握用待定系数法求解函数表达式的方法和步骤. (1)根据 与 成正比例,设 ,把 代入求出k的值,即可得出y与x之间的函 数关系式; (2)把 代入(1)中得出的函数关系式,即可解答. 【详解】(1)解:∵ 与 成正比例, ∴设 , 把 代入得: , 解得: , ∴ , 整理得: ;(2)解:把 代入 得: , 解得: . 19.(2024上·山东烟台·七年级统考期末)已知 是关于 一次函数. (1)求出此一次函数的表达式; (2)求此一次函数与坐标轴交点的坐标,并在所给的平面直角坐标系中直接画出这个函数的图像; (3)该函数图像上有两点 , ,当 时,则 ______ (填 或 ),并说明理由. 【答案】(1) (2) , ,作图见解析 (3) ,利用见解析 【分析】本题考查一次函数综合,涉及一次函数定义、一次函数图像与性质、描点法作函数图像、一次函 数增减性比较函数值大小等知识,熟练掌握一次函数图像与性质是解决问题的关键. (1)由一次函数定义,得到 ,求解即可得到答案; (2)由一次函数图像与性质,令 和 求解即可得到一次函数与坐标轴交点的坐标,再通过描点、 连线,即可画出函数图像; (3)由一次函数图像与性质,当 时,函数值 随着 的增大而减小,即可得到答案【详解】(1)解:∵函数 是关于 的一次函数, ∴ ,解得 , ∴ ; (2)解:当 时, , ∴一次函数 的图像与 轴交于点 , 当 时, ,解得 , ∴一次函数 的图像与 轴交于点 , 描点、连线,画出函数图像,如图所示: (3)解: ,理由见如下: ∵ , ∴ 随 的增大而减小, 又∵图像上有两点 , ,且 , ∴ , 故答案为 . 20.(2024上·山东潍坊·七年级统考期末)如图,是某跨河道路上安装的护栏平面示意图,已知每根立柱 宽为 米,立柱间距为2米.小莹根据护栏中蕴含的数量变化关系列出了下表: 立柱根数 1 2 3 4 5 …… 护栏总长度 2.4 4.6 …… (米) (1) ______; ______; ______; (2)设有 根立柱,护栏总长度为 米,请写出 与 之间的函数表达式; (3)已知护栏总长度为119米,请求出立柱共有多少根? 【答案】(1)0.2,6.8,9 (2) (3)55根 【分析】本题考查用表格和函数关系式表示变量之间的关系,解题的关键是求出函数关系式. (1)根据题意和表格数据,得到立柱每增加1根,护栏总长度增加 米,进而求出 的值即可; (2)根据(1)中的规律,写出函数关系式即可; (3)令 ,求出 的值即可. 【详解】(1)解:由题意,每两根立柱之间的距离相等, ∴每增加1根立柱,总长度增加的长度相同, 由表格可知:当立柱从2根变成3根时,总长度增加: (米); ∴ ; 故答案为:0.2,6.8,9; (2)由(1)可知: ; (3)当 时, , 解得: ;∴立柱共有55根. 四、(本大题共3小题,每小题8分,共24分) 21.(2024上·山东泰安·七年级统考期末)如图所示, 分别表示某工厂甲、乙两车间生产的产量y (吨)与所用时间x(天)之间的函数图象,根据图象回答: (1)乙车间开始生产时,甲车间已生产了______吨; (2)从乙车间开始生产到第______天结束时,两车间生产的总产量相同; (3)求甲、乙两车间的产量y(吨)与所用时间x(天)的函数关系式; (4)第 天结束时,哪个车间的产量多,多多少吨? 【答案】(1) (2) (3) (4)第 天结束时,乙车间的产量多,多 吨 【分析】本题考查了一次函数在实际问题中的应用,旨在考查学生的信息提取能力. (1)由两函数图象与 轴的交点即可求解; (2)由两函数图象的交点即可求解; (3)设 ,将点 代入 ,将点 代入 即可求解; (4)当 时,分别求出 即可. 【详解】(1)解:由两函数图象与 轴的交点可知,乙车间开始生产时,甲车间已生产了 吨, 故答案为: (2)解:由两函数图象的交点可知,从乙车间开始生产到第 天结束时,两车间生产的总产量相同, 故答案为: (3)解:设 ,将点 代入 得: , 解得: 将点 代入 得: , 解得: ∴ (4)解:当 时, (吨) ∴第 天结束时,乙车间的产量多,多 吨 22.(2024上·江苏·八年级统考期末)如图,直线 与 轴交于点 ,点 为该直线上一点,且点 的纵坐标是6; (1)求点 和点 的坐标; (2)把直线 向下平移7个单位长度,若平移后的直线与 轴交于点 ,连接 , ,求 的 面积; (3)点 为直线 上一点,连接 和 ,若 的面积为 ,求点 的坐标.【答案】(1) , (2) (3)点 的坐标为 或 【分析】(1)把 代入 求得相应的 值,即可得点 的坐标;把 代入 求得相应 的 值,可得点 的坐标; (2)首先求得平移后直线方程为 ,据此求得 ;设直线 与 轴交于点 ,则 . (3)分两种情况:过 作 交 轴于 ,过 作 于 ,当 在 左侧时,设 交 轴于 ,求出 ,由 的面积为6, ,可得 ,由 , 可得 是等腰直角三角形,可知 是等腰直角三角形,求出 ,直线 的解析式 为 ,联立可得 ;当 在 右侧时,同理可得 . 【详解】(1)解:把 代入 ,得 , . 把 代入 ,得 , 解得 , ; 的坐标为 , 的坐标为 ; (2)解:设直线 与 轴交于点 ,如图:在 中,令 得 , , 把直线 向下平移7个单位长度得到直线: ,即 , 在 中,令 得 , 解得 , , , . 的面积为 ; (3)解:过 作 交 轴于 ,过 作 于 , 当 在 左侧时,设 交 轴于 ,如图:在 中,令 得 , , , , , 的面积为6, , 的面积为6, , , 由 , 可得 是等腰直角三角形, , 是等腰直角三角形, , , 直线 的解析式为 , 联立 , 解得 ,; 当 在 右侧时,如图: 同理可得 , 直线 解析式为 , 联立 , 解得 , ; 综上所述, 的坐标为 或 . 【点睛】本题考查一次函数的综合应用,涉及三角形面积,等腰直角三角形的性质和判定,勾股定理,一 次函数的平移,一次函数图象上点坐标的特征等,解题的关键是分类讨论思想的应用. 23.(2024上·广东梅州·八年级统考期末)如图,直线 : 与 轴交于点 ,直线 : 与 轴交于点 ,且经过定点 ,直线 与 交于点 .(1)填空: ; ; (2)在 轴上是否存在一点 ,使 的周长最短?若存在,请求出点 的坐标;若不存在,请说明理由. (3)若动点 在射线 上从点 开始以每秒2个单位的速度运动,连接 ,设点 的运动时间为 秒.是 否存在 的值,使 和 的面积比为 ?若存在,直接写出 的值;若不存在,请说明理由. 【答案】(1) ,4 (2)存在一点 ,使 的周长最短, ; (3)存在t的值,使 和 的面积比为 ,t的值为 或 . 【分析】本题考查了一次函数的性质,待定系数法,轴对称最短问题等知识,解题的关键是学会利用轴对 称解决最短问题,学会用分类讨论的思想思考问题. (1)利用待定系数法求解即可. (2)作点C关于x轴的对称点 ,连接 交x轴于E,连接 ,则 的周长最小.求出直线 的解析式,即可解决问题; (3)分两种情况:①点P在线段 上,②点P在线段 的延长线上,由 和 的面积比为 ,可得 ,根据比例的性质即可求解. 【详解】(1)解:∵直线 与x轴交于点A,且经过定点 , ∴ , ∴ , ∴直线 ,∵直线 经过点 , ∴ , ∴ , 把 代入 ,得到 . ∴ , , 故答案为: ,4; (2)解:作点C关于x轴的对称点 ,连接 交x轴于E,连接 ,则 的周长最小. ∵ , ∴ . 设直线 的解析式为 , 把 , 代入得, , ∴ , ∴直线 的解析式为 ,令 ,得到 , ∴ , ∴存在一点E,使 的周长最短, ; (3)解:∵点P在射线 上从点D开始以每秒2个单位的速度运动,直线 , ∴ , ∵ , ∴ , ∵点P的运动时间为t秒, ∴ , 分两种情况:①点P在线段 上, ∵ 和 的面积比为 , ∴ , ∴ , ∴ ∴ ; ②点P在线段 的延长线上,∵ 和 的面积比为 , ∴ , ∴ , ∴ , ∴ . 综上:存在t的值,使 和 的面积比为 ,t的值为 或 . 五、(本大题共2小题,每小题12分,共24分) 24.(2024上·安徽滁州·八年级统考期末)元旦前夕,某盆栽超市要到盆栽批发市场批发A,B两种盆栽 共300盆,A种盆栽盆数不少于B种盆栽盆数,付款总额不超过3320元,两种盆栽的批发价和零售价如下 表.设该超市采购x盆A种盆栽. 品名 批发市场批发价:元/盆 盆栽超市零售价:元/盆 A种盆栽 12 19 B种盆栽 10 15 (1)求该超市采购费用y(单位;元)与x(单位;盆)的函数表达式,并写出自变量x的取值范围; (2)该超市把这300盆盆栽全部以零售价售出,求超市能获得的最大利润是多少元; (3)受市场行情等因素影响,超市实际采购时,A种盆栽的批发价每盆上涨了 元,同时B种盆栽 批发价每盆下降了m元.该超市决定不调整盆栽零售价,发现将300盆盆栽全部卖出获得的最低利润是 1460元,求m的值. 【答案】(1) (2)商场能获得的最大利润为1820元(3) 【分析】本题考查一次函数的应用、一元一次不等式组的应用、解一元一次方程,理解题意,正确列出函 数解析式是解答的关键. (1)根据题意列函数解析式和不等式组求解即可; (2)设利润为W,根据题意得到总利润 ,利用一次函数的增减性质求解即可; (3)设利润为W,根据题意得到总利润 ,分 和 ,利用一次函 数的增减性质求解即可. 【详解】(1)解:该超市采购x盆A种盆栽,则采购 盆B种盆栽, 根据题意, , 由题意得: , 解得: , 答:该商场的采购费用y与x的函数关系式为 ; (2)解:设总利润为W,根据题意得: , ∵ , ∴W随x的增大而增大,又 , ∴当 时,W最大,最大值为1820, 答:商场能获得的最大利润为1820元; (3)解:设总利润为W元,根据题意得: , 当 即 时,W随x的增大而增大, 又∵ ,∴当 时,W有最小值为 , 解得 ,舍去; 当 即 时,W随x的增大而减小, 又∵ , ∴当 时,W有最小值为 , 解得: , 综上分析可知,满足条件的m值为2. 25.(2024上·河南焦作·八年级校联考期末)学习函数的时候我们通过列表、描点和连线的步骤画出函数 的图象,进而研究函数的性质.请根据学习“一次函数”时积累的经验和方法研究函数 的图 象和性质,并解决问题. (1)若 ,则函数 与x轴交点坐标为(_____,0),与y轴交点坐标为(0,____); (2)若 ,根据解析式,写出表格中m,n的值; x … 0 1 2 3 4 … y … 11 8 m 2 5 n 11 … ______, _____; (3)在直角坐标系中画出该函数图像;并写出一条函数的性质:______;(4)一次函数 与该函数图像只有一个交点,则 _______. 【答案】(1)1,3; (2)5,8; (3)当 时,y随x的增大而减小;当 时,y随x的增大而增大; (4) . 【分析】(1)先确定函数解析式,再令 与 ,分别求解y,x的值,从而可得交点坐标; (2)先确定函数解析式,再求解当 与 时的函数值,从而可得答案; (3)根据表格数据,先描点,再画图即可; (4)根据一次函数 与该函数图像只有一个交点 ,把 代入 ,得到c值. 【详解】(1)解:当 时, , 当 时, ; 当 时, ; ∴函数 与x轴交点坐标为 ,与y轴交点坐标为 . 故答案为:1,3; (2)当 时, , 当 时, , 解得: , 当 时, , 解得: , 故答案为:5,8; (3)将表格中的每一组对应值作为点的坐标在直角坐标系中描点,然后按照横坐标由小到大的顺序连线 即可得到该函数的图像,如图1所示:由图像可知,当 时,y随x的增大而减小; 时,y随x的增大而增大; 故答案为:当 时,y随x的增大而减小;当 时,y随x的增大而增大; (4)如图2,一次函数 与该函数图像只有一个交点, ∴一次函数 经过 ,代入得: , 解得: ,故答案为: . 【点睛】本题考查的是求解函数与坐标轴的交点坐标,求解函数的函数值,利用描点法画函数图像,利用 函数图像确定方程的解的情况,熟练利用数形结合的方法解题是关键.