当前位置:首页>文档>黄金卷03-赢在高考·黄金8卷备战2024年高考数学模拟卷(北京专用)(考试版)_2.2025数学总复习_2024年新高考资料_4.2024高考模拟预测试卷

黄金卷03-赢在高考·黄金8卷备战2024年高考数学模拟卷(北京专用)(考试版)_2.2025数学总复习_2024年新高考资料_4.2024高考模拟预测试卷

  • 2026-04-08 07:54:01 2026-03-29 06:46:23

文档预览

黄金卷03-赢在高考·黄金8卷备战2024年高考数学模拟卷(北京专用)(考试版)_2.2025数学总复习_2024年新高考资料_4.2024高考模拟预测试卷
黄金卷03-赢在高考·黄金8卷备战2024年高考数学模拟卷(北京专用)(考试版)_2.2025数学总复习_2024年新高考资料_4.2024高考模拟预测试卷
黄金卷03-赢在高考·黄金8卷备战2024年高考数学模拟卷(北京专用)(考试版)_2.2025数学总复习_2024年新高考资料_4.2024高考模拟预测试卷
黄金卷03-赢在高考·黄金8卷备战2024年高考数学模拟卷(北京专用)(考试版)_2.2025数学总复习_2024年新高考资料_4.2024高考模拟预测试卷
黄金卷03-赢在高考·黄金8卷备战2024年高考数学模拟卷(北京专用)(考试版)_2.2025数学总复习_2024年新高考资料_4.2024高考模拟预测试卷
黄金卷03-赢在高考·黄金8卷备战2024年高考数学模拟卷(北京专用)(考试版)_2.2025数学总复习_2024年新高考资料_4.2024高考模拟预测试卷
黄金卷03-赢在高考·黄金8卷备战2024年高考数学模拟卷(北京专用)(考试版)_2.2025数学总复习_2024年新高考资料_4.2024高考模拟预测试卷
黄金卷03-赢在高考·黄金8卷备战2024年高考数学模拟卷(北京专用)(考试版)_2.2025数学总复习_2024年新高考资料_4.2024高考模拟预测试卷
黄金卷03-赢在高考·黄金8卷备战2024年高考数学模拟卷(北京专用)(考试版)_2.2025数学总复习_2024年新高考资料_4.2024高考模拟预测试卷
黄金卷03-赢在高考·黄金8卷备战2024年高考数学模拟卷(北京专用)(考试版)_2.2025数学总复习_2024年新高考资料_4.2024高考模拟预测试卷

文档信息

文档格式
docx
文档大小
0.379 MB
文档页数
6 页
上传时间
2026-03-29 06:46:23

文档内容

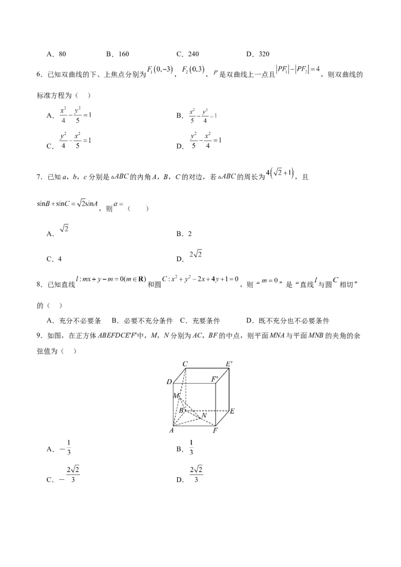
【赢在高考·黄金8卷】备战2024年高考数学模拟卷(北京专用) 黄金卷03 (考试时间:120分钟 试卷满分:150分) 第 I 卷(选择题) 一、 单项选择题:本题共10小题,每小题4分,共40分,在每小题给出的四个选项中,只 有一项是符合要求的。 1.已知全集 ,集合 , ,则 ( ) A. B. C. D. 2.复数 的共轭复数是( ) A. B. C. D. 3.已知 ,向量 的夹角为 ,则 ( ) A. B.1 C.2 D. 4.若函数 的定义域为 ,值域为 ,则 的图象可能 是( ) A. B. C. D. 5. 的展开式中的常数项为( )A.80 B.160 C.240 D.320 6.已知双曲线的下、上焦点分别为 , , 是双曲线上一点且 ,则双曲线的 标准方程为( ) A. B. C. D. 7.已知a,b,c分别是 的内角A,B,C的对边,若 的周长为 ,且 ,则 ( ) A. B.2 C.4 D. 8.已知直线 和圆 ,则“ ”是“直线 与圆 相切” 的( ) A.充分不必要条 B.必要不充分条件 C.充要条件 D.既不充分也不必要条件 9.如图,在正方体ABEFDCE′F′中,M,N分别为AC,BF的中点,则平面MNA与平面MNB的夹角的余 弦值为( ) A.- B. C.- D.10.数列 , 用图象表示如图所示,记数列 的前n项和为 ,则( ). A. , B. , C. , D. , 第 II 卷(非选择题) 二、 填空题:本题共5小题,每小题5分,共25分。 11.函数 ( ,且 )的图象过定点P,则P点的坐标为 . 12.已知抛物线 上三点 ,若直线AB,AC的斜率互为相反数,则直线BC的斜率为 13.在 中, , ,D为BC上一点,AD为 的平分线,则 . 14.我国人脸识别技术处于世界领先地位.所谓人脸识别,就是利用计算机检测样本之间的相似度,余弦距 离是检测相似度的常用方法.假设二维空间中有两个点 , 为坐标原点,余弦相似度为向 量 夹角的余弦值,记作 ,余弦距离为 .已知 ,若 的余弦距离为 ,则 的余弦距离 为 . 15.已知函数 ,下列命题中: ① 都不是R上的单调函数; ② ,使得 是R上偶函数;③若 的最小值是 ,则 ; ④ ,使得 有三个零点. 则所有正确的命题的序号是 . 四、解答题:本题共6小题,共85分,解答应写出必要的文字说明、证明过程及验算步骤。 16.(13分)如图,在四棱台 中,底面 是正方形, , , , . (1)求证:直线 平面 ; (2)求二面角 的余弦值. 17.(13分)在 中, . (1)求 ; (2)再从条件①,条件②,条件③,条件④这四个条件中选择一个作为已知,使 存在且唯一确定,若 D是 边上的中点,求 的面积. 条件①: , ; 条件②: , ; 条件③: , ; 条件④: , . 注:如果选择的条件不符合要求,第(2)问得0分;如果选择多个符合要求的条件分别解答,按第一个解 答计分.18.(14分)双淘汰赛制是一种竞赛形式,比赛一般分两个组进行,即胜者组与负者组.在第一轮比赛后, 获胜者编入胜者组,失败者编入负者组继续比赛,之后的每一轮,在负者组中的失败者将被淘汰;胜者组 的情况也类似,只是失败者仅被淘汰出胜者组降入负者组,只有在负者组中再次失败后才会被淘汰出整个 比赛.A、B、C、D四人参加的双淘汰赛制的流程如图所示,其中第6场比赛为决赛. (1)假设四人实力旗鼓相当,即各比赛每人的胜率均为50%,求: ①A获得季军的概率; ②D成为亚军的概率; (2)若A的实力出类拔萃,有4人参加的比赛其胜率均为75%,其余三人实力旗鼓相当,求D进入决赛且先 前与对手已有过招的概率. 19.(15分)已知集合 ,其中 且 ,若对任意的 ,都有 ,则称集合 具有性质 . (1)集合 具有性质 ,求 的最小值; (2)已知 具有性质 ,求证: ; (3)已知 具有性质 ,求集合 中元素个数的最大值,并说明理由. 20.(15分)已知椭圆 的短轴长为4,离心率为 .直线 与陏圆交于 两点,点 不在直线l上,直线 与 交于点 . (1)求椭圆 的方程;(2)求直线 的斜率. 21.(15分)已知 ( 为实常数) (1)当 时,求函数 的最小值; (2)若 对一切 都成立,求 的取值范围; (3)设各项为正的无穷数列 满足 ,证明: .(提示:当 时, )