当前位置:首页>文档>黄金卷06-赢在高考·黄金8卷备战2024年高考数学模拟卷(天津专用)(参考答案)_2.2025数学总复习_2024年新高考资料_4.2024高考模拟预测试卷

黄金卷06-赢在高考·黄金8卷备战2024年高考数学模拟卷(天津专用)(参考答案)_2.2025数学总复习_2024年新高考资料_4.2024高考模拟预测试卷

  • 2026-04-01 10:39:52 2026-03-29 07:04:03

文档预览

黄金卷06-赢在高考·黄金8卷备战2024年高考数学模拟卷(天津专用)(参考答案)_2.2025数学总复习_2024年新高考资料_4.2024高考模拟预测试卷
黄金卷06-赢在高考·黄金8卷备战2024年高考数学模拟卷(天津专用)(参考答案)_2.2025数学总复习_2024年新高考资料_4.2024高考模拟预测试卷
黄金卷06-赢在高考·黄金8卷备战2024年高考数学模拟卷(天津专用)(参考答案)_2.2025数学总复习_2024年新高考资料_4.2024高考模拟预测试卷
黄金卷06-赢在高考·黄金8卷备战2024年高考数学模拟卷(天津专用)(参考答案)_2.2025数学总复习_2024年新高考资料_4.2024高考模拟预测试卷
黄金卷06-赢在高考·黄金8卷备战2024年高考数学模拟卷(天津专用)(参考答案)_2.2025数学总复习_2024年新高考资料_4.2024高考模拟预测试卷
黄金卷06-赢在高考·黄金8卷备战2024年高考数学模拟卷(天津专用)(参考答案)_2.2025数学总复习_2024年新高考资料_4.2024高考模拟预测试卷
黄金卷06-赢在高考·黄金8卷备战2024年高考数学模拟卷(天津专用)(参考答案)_2.2025数学总复习_2024年新高考资料_4.2024高考模拟预测试卷
黄金卷06-赢在高考·黄金8卷备战2024年高考数学模拟卷(天津专用)(参考答案)_2.2025数学总复习_2024年新高考资料_4.2024高考模拟预测试卷
黄金卷06-赢在高考·黄金8卷备战2024年高考数学模拟卷(天津专用)(参考答案)_2.2025数学总复习_2024年新高考资料_4.2024高考模拟预测试卷
黄金卷06-赢在高考·黄金8卷备战2024年高考数学模拟卷(天津专用)(参考答案)_2.2025数学总复习_2024年新高考资料_4.2024高考模拟预测试卷
黄金卷06-赢在高考·黄金8卷备战2024年高考数学模拟卷(天津专用)(参考答案)_2.2025数学总复习_2024年新高考资料_4.2024高考模拟预测试卷

文档信息

文档格式
docx
文档大小
0.446 MB
文档页数
7 页
上传时间
2026-03-29 07:04:03

文档内容

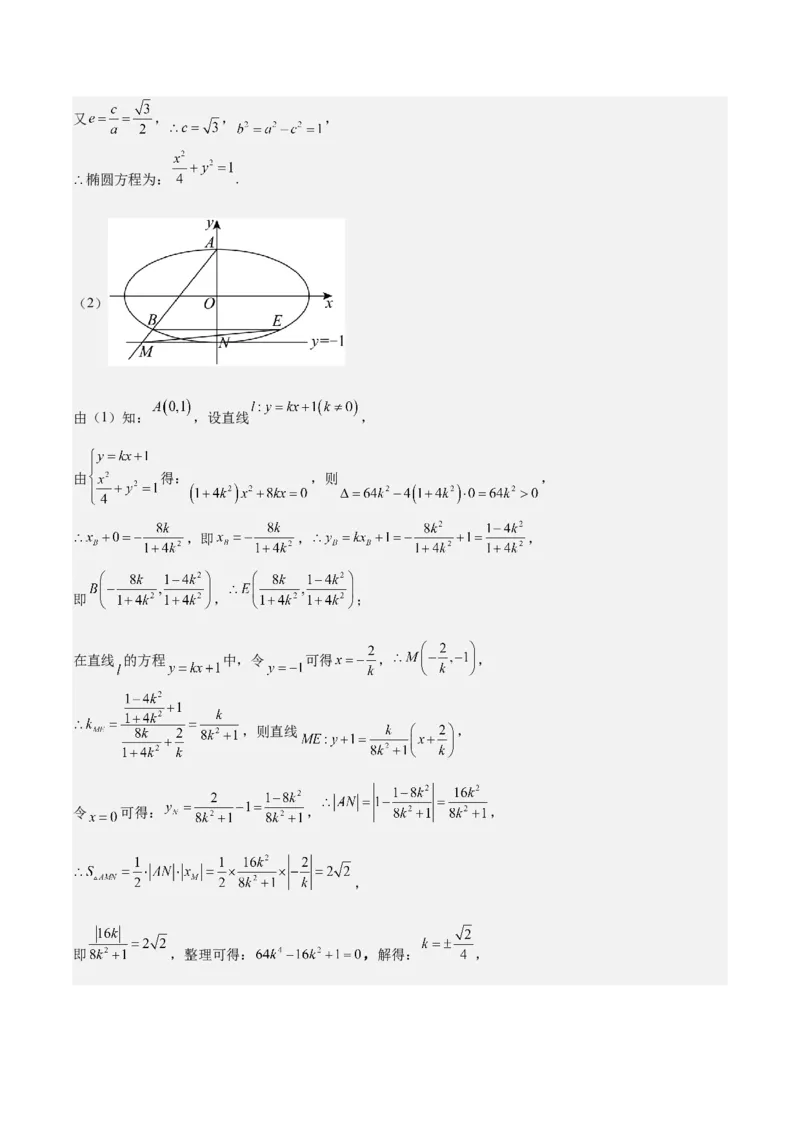
【赢在高考·黄金8卷】备战2024年高考数学模拟卷(天津专用) 黄金卷06·参考答案 (考试时间:120分钟 试卷满分:150分) 第 I 卷(选择题) 一、单项选择题:本题共8小题,每小题5分,共45分,在每小题给出的四个选项中,只有一项是符合要 求的。 1 2 3 4 5 6 7 8 9 C B D C A A B C A 第 II 卷(非选择题) 二、填空题:本题共6小题,每小题5分,共30分。 10. 11. 12. 或 13. 14. 1 / 15. 三、解答题:本题共5小题,共75分,解答应写出必要的文字说明、证明过程及验算步骤。 16.(14分) 【详解】(1) . 由正弦定理可得 , 则 , 所以 , 所以 , 为三角形内角, ,解得 , , . (2)由已知 , ,所以 , , ,. (3) , , 由余弦定理得 , 即 ,解得 , 的周长为 . 17.(15分) 【详解】(1)证明:在 中,由题设 , 可得 . 于是 . 在矩形 中, . 又 , 平面 , 所以 平面 . (2)证明:由题设, ,所以 (或其补角)是异面直线 与 所成的角. 在 中,由余弦定理得 由(1)知 平面 , 平面 , 所以 ,因而 ,于是 是直角三角形, 故 . 所以异面直线 与 所成的角的正切值为 . 解法二:由(1)可知, 平面 , 平面 , 所以平面 平面 , 作 于M, 交 于 点, 因为平面 平面 , 平面 , 所以 平面 , 又 平面 ,所以 , 以M为原点,分别以 为 轴建立空间直角坐标系, 则 , , , , , 所以 , , 设异面直线 与 所成的角为 , ,则 . 所以异面直线 与 所成的角的正切值为 (3) 过点M做 于E,连接 . 因为 平面 , 平面 ,所以 . 又 ,因而 平面 , 又 平面 ,所以 从而 是二面角 的平面角.由题设可得, , , , , , 于是在 中, . 所以二面角 的正切值为 . 解法二:由(2)知 , . 设平面PBD的一个法向量为 , 则 ,即 , 令 ,则 , 所以 , 又平面 的一个法向量可以是 . 由图知二面角 的大小为锐角, 所以 ,则 所以二面角 的正切值为 . 18.(15分) 【详解】(1)由 可得: , , ,又 , , , 椭圆方程为: . (2) 由(1)知: ,设直线 , 由 得: ,则 , ,即 , , 即 , ; 在直线 的方程 中,令 可得 , , ,则直线 , 令 可得: , , , 即 ,整理可得: ,解得: ,直线 或 . 19.(15分) 【详解】(1)由题意得 , 解得 或 (不合题意,舍去), 所以 ,又 ,所以 , 所以 . (2)设奇数项的和为 , , 设偶数项的和为 , 所以 . (3) , 所以 . 20.(16分) 【详解】(1)由题设 ,当 时 , , ∴所求切线方程为 ,即 .(2)函数 在 上单调递减,则 恒成立, 即 恒成立,令 当 ,即 时, 恒成立,所以 满足题意. 当 ,即 时,函数 的图象是开口向下的抛物线, 必存在 有 成立,所以 不合题意; 当 ,即 时,使 恒成立, 则 ,解得 ,又 ,即 . 综上,若函数 在 上单调递减, 的取值范围是 . (3)令 ,即 , 易知 时 , ∴ 的两根,即函数 的两个极值点 , ∴ , ,且 ,则 , ∵ ,则 ,故 , ∴ ,得证.