当前位置:首页>文档>专题10碰撞与类碰撞模型(答案版)_高中物理模型题型与方法

专题10碰撞与类碰撞模型(答案版)_高中物理模型题型与方法

  • 2026-04-03 01:10:56 2026-04-01 02:14:01

文档预览

专题10碰撞与类碰撞模型(答案版)_高中物理模型题型与方法
专题10碰撞与类碰撞模型(答案版)_高中物理模型题型与方法
专题10碰撞与类碰撞模型(答案版)_高中物理模型题型与方法
专题10碰撞与类碰撞模型(答案版)_高中物理模型题型与方法
专题10碰撞与类碰撞模型(答案版)_高中物理模型题型与方法
专题10碰撞与类碰撞模型(答案版)_高中物理模型题型与方法
专题10碰撞与类碰撞模型(答案版)_高中物理模型题型与方法
专题10碰撞与类碰撞模型(答案版)_高中物理模型题型与方法
专题10碰撞与类碰撞模型(答案版)_高中物理模型题型与方法
专题10碰撞与类碰撞模型(答案版)_高中物理模型题型与方法
专题10碰撞与类碰撞模型(答案版)_高中物理模型题型与方法
专题10碰撞与类碰撞模型(答案版)_高中物理模型题型与方法
专题10碰撞与类碰撞模型(答案版)_高中物理模型题型与方法
专题10碰撞与类碰撞模型(答案版)_高中物理模型题型与方法
专题10碰撞与类碰撞模型(答案版)_高中物理模型题型与方法
专题10碰撞与类碰撞模型(答案版)_高中物理模型题型与方法
专题10碰撞与类碰撞模型(答案版)_高中物理模型题型与方法
专题10碰撞与类碰撞模型(答案版)_高中物理模型题型与方法
专题10碰撞与类碰撞模型(答案版)_高中物理模型题型与方法
专题10碰撞与类碰撞模型(答案版)_高中物理模型题型与方法
专题10碰撞与类碰撞模型(答案版)_高中物理模型题型与方法
专题10碰撞与类碰撞模型(答案版)_高中物理模型题型与方法
专题10碰撞与类碰撞模型(答案版)_高中物理模型题型与方法
专题10碰撞与类碰撞模型(答案版)_高中物理模型题型与方法
专题10碰撞与类碰撞模型(答案版)_高中物理模型题型与方法
专题10碰撞与类碰撞模型(答案版)_高中物理模型题型与方法
专题10碰撞与类碰撞模型(答案版)_高中物理模型题型与方法
专题10碰撞与类碰撞模型(答案版)_高中物理模型题型与方法
专题10碰撞与类碰撞模型(答案版)_高中物理模型题型与方法
专题10碰撞与类碰撞模型(答案版)_高中物理模型题型与方法
专题10碰撞与类碰撞模型(答案版)_高中物理模型题型与方法
专题10碰撞与类碰撞模型(答案版)_高中物理模型题型与方法
专题10碰撞与类碰撞模型(答案版)_高中物理模型题型与方法
专题10碰撞与类碰撞模型(答案版)_高中物理模型题型与方法
专题10碰撞与类碰撞模型(答案版)_高中物理模型题型与方法
专题10碰撞与类碰撞模型(答案版)_高中物理模型题型与方法
专题10碰撞与类碰撞模型(答案版)_高中物理模型题型与方法
专题10碰撞与类碰撞模型(答案版)_高中物理模型题型与方法
专题10碰撞与类碰撞模型(答案版)_高中物理模型题型与方法
专题10碰撞与类碰撞模型(答案版)_高中物理模型题型与方法
专题10碰撞与类碰撞模型(答案版)_高中物理模型题型与方法
专题10碰撞与类碰撞模型(答案版)_高中物理模型题型与方法
专题10碰撞与类碰撞模型(答案版)_高中物理模型题型与方法
专题10碰撞与类碰撞模型(答案版)_高中物理模型题型与方法
专题10碰撞与类碰撞模型(答案版)_高中物理模型题型与方法
专题10碰撞与类碰撞模型(答案版)_高中物理模型题型与方法
专题10碰撞与类碰撞模型(答案版)_高中物理模型题型与方法
专题10碰撞与类碰撞模型(答案版)_高中物理模型题型与方法
专题10碰撞与类碰撞模型(答案版)_高中物理模型题型与方法
专题10碰撞与类碰撞模型(答案版)_高中物理模型题型与方法
专题10碰撞与类碰撞模型(答案版)_高中物理模型题型与方法
专题10碰撞与类碰撞模型(答案版)_高中物理模型题型与方法
专题10碰撞与类碰撞模型(答案版)_高中物理模型题型与方法
专题10碰撞与类碰撞模型(答案版)_高中物理模型题型与方法
专题10碰撞与类碰撞模型(答案版)_高中物理模型题型与方法
专题10碰撞与类碰撞模型(答案版)_高中物理模型题型与方法
专题10碰撞与类碰撞模型(答案版)_高中物理模型题型与方法
专题10碰撞与类碰撞模型(答案版)_高中物理模型题型与方法
专题10碰撞与类碰撞模型(答案版)_高中物理模型题型与方法
专题10碰撞与类碰撞模型(答案版)_高中物理模型题型与方法
专题10碰撞与类碰撞模型(答案版)_高中物理模型题型与方法
专题10碰撞与类碰撞模型(答案版)_高中物理模型题型与方法
专题10碰撞与类碰撞模型(答案版)_高中物理模型题型与方法
专题10碰撞与类碰撞模型(答案版)_高中物理模型题型与方法
专题10碰撞与类碰撞模型(答案版)_高中物理模型题型与方法
专题10碰撞与类碰撞模型(答案版)_高中物理模型题型与方法
专题10碰撞与类碰撞模型(答案版)_高中物理模型题型与方法
专题10碰撞与类碰撞模型(答案版)_高中物理模型题型与方法
专题10碰撞与类碰撞模型(答案版)_高中物理模型题型与方法
专题10碰撞与类碰撞模型(答案版)_高中物理模型题型与方法
专题10碰撞与类碰撞模型(答案版)_高中物理模型题型与方法
专题10碰撞与类碰撞模型(答案版)_高中物理模型题型与方法
专题10碰撞与类碰撞模型(答案版)_高中物理模型题型与方法
专题10碰撞与类碰撞模型(答案版)_高中物理模型题型与方法
专题10碰撞与类碰撞模型(答案版)_高中物理模型题型与方法
专题10碰撞与类碰撞模型(答案版)_高中物理模型题型与方法
专题10碰撞与类碰撞模型(答案版)_高中物理模型题型与方法

文档信息

文档格式
docx
文档大小
2.412 MB
文档页数
73 页
上传时间
2026-04-01 02:14:01

文档内容

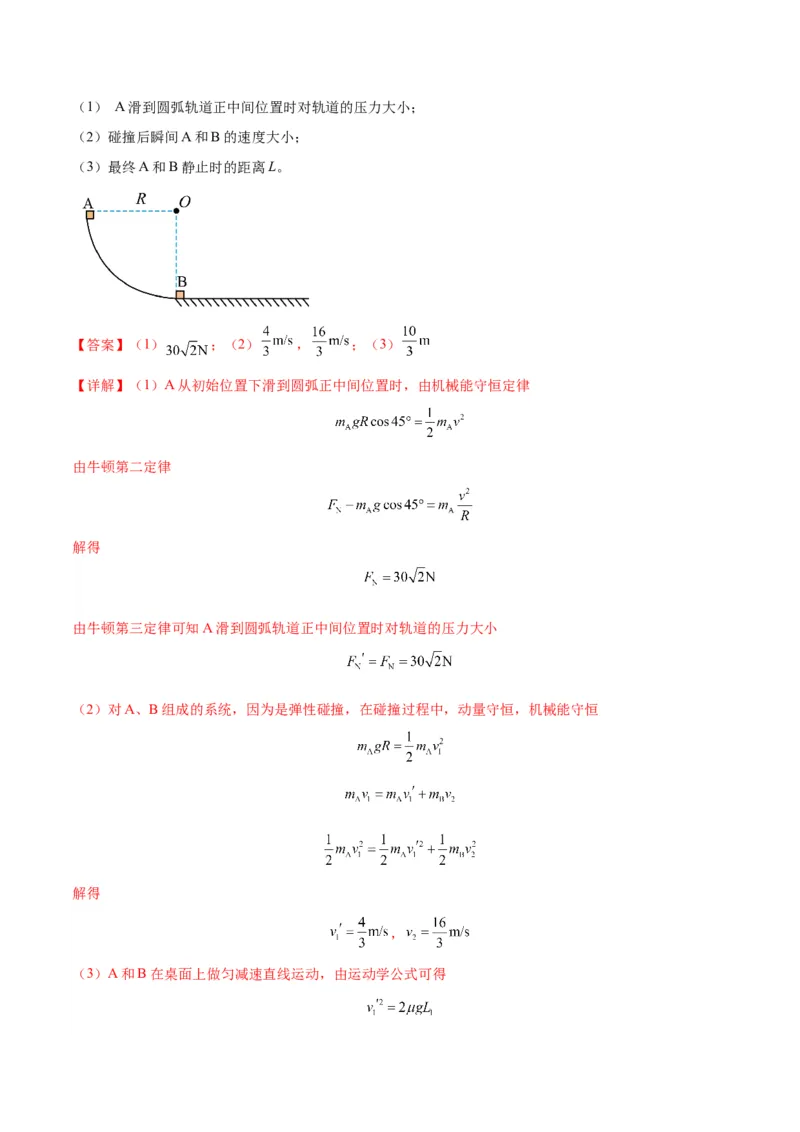
专题 10 碰撞与类碰撞模型 目录 【模型一】弹性碰撞模型..................................................................................................................................1 【模型二】非弹性碰撞、完全非弹性碰撞模型............................................................................................15 【模型三】碰撞模型三原则............................................................................................................................23 【模型四】 小球—曲面模型..........................................................................................................................27 【模型五】 小球—弹簧模型..........................................................................................................................37 【模型六】 子弹打木块模型..........................................................................................................................48 【模型七】 滑块木板模型..............................................................................................................................57 【模型一】弹性碰撞模型 1. 弹性碰撞 发生弹性碰撞的两个物体碰撞前后动量守恒,动能守恒,若两物体质量分别为m 和m,碰前速度为v, 1 2 1 v,碰后速度分别为vˊ,vˊ,则有: 2 1 2 mv+m v=m vˊ+m vˊ (1) 1 1 2 2 1 1 2 2 v 1 v 2 v 1 ˊ v 2 ˊ     m m 1 2     mv2+ mv2= mvˊ2+ mvˊ 2 (2) 1 1 2 2 1 1 2 2 联立(1)、(2)解得: m v +m v m v +m v 2 1 1 2 2 −v 2 1 1 2 2 −v m +m 1 m +m 2 1 2 1 2 vˊ= ,vˊ= . 1 2 特殊情况: 若m=m ,vˊ= v ,vˊ= v . 1 2 1 2 2 1 2. “动静相碰型”弹性碰撞的结论 两球发生弹性碰撞时应满足动量守恒和机械能守恒。以质量为 m 、速度为v 的小球与质量为m 的静止小 1 1 2 球发生正面弹性碰撞为例,则有 mv=mv′+mv′ 1 1 1 1 2 2 mv=mv′2+mv′2 1 1 1 2 2 解得:v′=,v′= 1 2 结论:(1)当m=m 时,v′=0,v′=v(质量相等,速度交换) 1 2 1 2 1 (2)当m>m 时,v′>0,v′>0,且v′>v′(大碰小,一起跑) 1 2 1 2 2 1(3)当m<m 时,v′<0,v′>0(小碰大,要反弹) 1 2 1 2 (4)当m≫m 时,v′=v,v′=2v(极大碰极小,大不变,小加倍) 1 2 1 0 2 1 (5)当m≪m 时,v′=-v,v′=0(极小碰极大,小等速率反弹,大不变) 1 2 1 1 2 【模型演练1】.(2023·全国·高三专题练习)如图所示,用不可伸长的轻绳将质量为 的小球悬挂在O点, 绳长 ,轻绳处于水平拉直状态。现将小球由静止释放,下摆至最低点与静止在A点的小物块发生 碰撞,碰后小球向左摆的最大高度 ,小物块沿水平地面滑到B点停止运动。已知小物块质量为 , 小物块与水平地面间的动摩擦因数 ,A点到B点的距离 ,重力加速度 ,则下列 说法正确的是( ) A.小球与小物块质量之比 B.小球与小物块碰后小物块速率 C.小球与小物块碰撞是弹性碰撞 D.小球与小物块碰撞过程中有机械能损失 【答案】BC 【详解】B.根据牛顿第二定律 可知小物块的加速度 根据匀变速运动公式 解得小球与小物块碰后小物块速率 B正确; A.设小球碰撞前的速度为 ,碰撞后的速度为 ,根据动能定理解得 以向右为正方向,根据动量守恒定律 解得 A错误; CD.碰撞前动能 碰撞后动能 碰撞前后动能相等,所以小球与小物块碰撞是弹性碰撞,无机械能损失,C正确,D错误。 故选BC。 【模型演练2】(2023·湖南常德·高三常德市一中校考阶段练习)如图为“子母球”表演的示意图,弹性小 球A和B叠放在一起,从距地面高度为h处自由落下,h远大于两小球直径,小球B的质量是A质量的3 倍。假设所有的碰撞都是弹性碰撞,且都发生在竖直方向,不考虑空气阻力,则下列判断中错误的是( )A.下落过程中两个小球之间没有相互作用力 B.A与B第一次碰后小球B的速度为零 C.A与B第一次碰后小球A弹起的最大高度是2h D.A与B第一次碰后小球A弹起的最大高度是4h 【答案】C 【详解】A.球B与地面碰撞前,对AB整体,由牛顿第二定律得 (m +m )g=(m +m )a A B A B 解得 a=g 设下落过程中两个小球之间的弹力为T,对B球,由牛顿第二定律得 m g+T=m a B B 解得 T=0 故A不符合题意; B.根据机械能守恒定律可得 (m +m )gh= (m +m ) A B A B 解得球A、B与地面碰撞前瞬间的速度大小为 v= 0 B球碰撞地之后,速度瞬间反向,大小相等,选A与B碰撞过程为研究过程,碰撞前后动量守恒,设碰后 A、B速度大小分别为v 、v ,选向上方向为正方向,由动量守恒定律得 A B m v﹣m v=m v +m v B 0 A 0 A A B B 由机械能守恒定律得 (m +m )v2= m v 2+ m v 2 A B 0 A A B B 由题可知 m =3m B A 联立解得 vA= v =0 B故B不符合题意; CD.A与B第一次碰后小球A弹起的最大高度为 故C符合题意,D不符合题意。 故选C。 【模型演练3】(2023·天津·模拟预测)保龄球运动既可以锻炼身体,又可以缓解心理压力,而且老少咸宜, 广受大众的喜爱。某同学设想了如下过程来模拟一次保龄球的投掷、运行、撞击的训练过程.如图所示, 将一质量为 的保龄球从A点开始由静止向前掷出,球沿曲线运动,脱手后,在B点以 的速度切入水平球道。球做直线运动经 时间后在C点与质量为 的球瓶发生正碰。已知在A点 时保龄球的下沿距离球道表面的高度为 ,保龄球在球道上运动时受到的阻力恒为重力的 倍, g取 ,忽略空气阻力,忽略保龄球的滚动,球与球瓶的碰撞时间极短,碰撞中没有能量损失,球与 球瓶均可看成质点。求: (1)运动员在掷球过程中对保龄球做的功 ; (2)在撞上球瓶前的瞬间,保龄球的速度 的大小; (3)碰撞后,球瓶的速度 的大小。 【答案】(1) ;(2) ;(3) 【详解】(1)运动员在掷球过程中,根据动能定理可得 解得运动员对保龄球做的功为 (2)保龄球从B到C的过程,根据动量定理可得解得在撞上球瓶前的瞬间,保龄球的速度大小为 (3)球与球瓶的碰撞时间极短,碰撞中没有能量损失,可知碰撞过程满足动量守恒和机械能守恒,则有 联立解得碰撞后,球瓶的速度大小为 【模型演练4】.(2023春·北京海淀·高三统考阶段练习)质量为m 的A球从高度为H处由静止开始沿曲 1 面下滑,与静止在水平面上质量为m 的B球发生正碰,两球大小相同,碰撞时间极短,碰撞过程中没有动 2 能损失。不计一切摩擦,重力加速度为g。 (1)根据动能定理和重力做功与重力势能的关系,证明A球沿曲面下滑过程机械能守恒; (2)两球发生第一次碰撞后各自的速度大小v 、v ; A B (3)为了能发生第二次碰撞,两球质量m、m 间应满足什么条件? 1 2 【答案】(1)见解析;(2) ; ;(3)m>3m 2 1 【详解】(1)A球沿曲面下滑过程只有重力做功,根据动能定理 WG=E -E k2 k1 根据重力与重力势能关系 WG=E -E p1 p2 由以上两式得 E -E =E -E k2 k1 p1 p2 即 E +E =E +E k2 p2 k1 p1 (2)A下滑过程机械能守恒得 A、B碰撞过程系统动量守恒,机械能守恒 得 (3)为了能发生第二次碰撞,第一次碰后A应反向,且A的速度大于B的速度,因此应有 m-m>2m 2 1 1 得 m>3m 2 1 【模型演练5】.(2023·全国·高三专题练习)如图所示,半径为 的光滑半圆弧轨道固定在竖直 面内,水平面与圆弧轨道最低点A相切,AB垂直水平面。质量为 的物块a放在水平面上的P点,质 量为 的物块b放在水平面上的Q点, , ,C为PQ的中点,给物块b一个水平向右的 恒定推力,当物块通过C点后的某位置撤去恒力,此后物块b与a发生弹性碰撞,a进入圆弧轨道后从B 点飞出,恰好落在Q点,两物块大小不计,与水平面间的动摩擦因数为0.5,重力加速度取 ,求 (结果可带分式或根号): (1)b与a碰撞后一瞬间,物块a的速度大小; (2)作用在物块b上推力的大小范围。 【答案】(1) ;(2)【详解】(1)a进入圆弧轨道后从B点飞出,恰好落在Q点,设物块a在B点的速度大小为 ;物块a在 空中做平抛运动,则有 , 联立解得 , 设碰撞后一瞬间,物块a的速度大小为 ,物块a从碰撞后到B的过程,根据动能定理可得 解得碰撞后一瞬间,物块a的速度大小为 (2)设物块b碰撞前瞬间速度为 ,碰撞后瞬间速度为 ,碰撞过程根据动量守恒和机械能守恒可得 解得 , 设推力的作用距离为 ,物块b从Q点到P点碰撞前过程,根据动能定理可得 根据题意有 联立解得作用在物块b上推力的大小范围为 【模型演练6】.(2023·四川·模拟预测)如图,竖直平面内的四分之一圆弧轨道下端与水平桌面相切,小 滑块A和B分别静止在圆弧轨道的最高点和最低点。现将A无初速度释放,A与B发生弹性碰撞。已知A 的质量m =2kg,B的质量m =1kg,圆弧轨道的半径R=0.8m,圆弧轨道光滑,A和B与桌面之间的动摩擦 A B 因数均为μ=0.4,取重力加速度g=10m/s2。求:(1) A滑到圆弧轨道正中间位置时对轨道的压力大小; (2)碰撞后瞬间A和B的速度大小; (3)最终A和B静止时的距离L。 【答案】(1) ;(2) , ;(3) 【详解】(1)A从初始位置下滑到圆弧正中间位置时,由机械能守恒定律 由牛顿第二定律 解得 由牛顿第三定律可知A滑到圆弧轨道正中间位置时对轨道的压力大小 (2)对A、B组成的系统,因为是弹性碰撞,在碰撞过程中,动量守恒,机械能守恒 解得 , (3)A和B在桌面上做匀减速直线运动,由运动学公式可得所以最终A和B静止时的距离 【模型演练7】.(2023·黑龙江大庆·高三铁人中学阶段练习)如图所示,一足够长的光滑斜面固定在水平 地面上,斜面倾角为 ,斜面底端固定一垂直于斜面的挡板P,将小物块A、B(可视为质点)从斜面上距 离挡板P为 和 ( )的位置同时由静止释放,已知小物块A、B的质量分别为m、2m,重力加速度 大小为g,所有碰撞均为弹性碰撞,忽略碰撞时间和空气阻力。求: (1)B第一次与挡板碰撞时A的速度大小; (2)B在第一次上升过程中就能与A相碰,求 的取值范围; (3)在(2)情形下,要使A第一次碰后能到达比其释放点更高的位置,求 应满足的条件。 【答案】(1) ;(2)1v ,碰后原来在前的物体速度一定增大,若碰后两物体同向运动, 后 前 则应有v ′≥v ′。 前 后 ②碰前两物体相向运动,碰后两物体的运动方向不可能都不改变。 【其它方法①】临界法 弹性碰撞没有动能损失,完全非弹性碰撞动能损失最多,计算出这两种情况下的临界速度,那么其他碰撞 应该介于二者之间。 [来源:学科网ZXXK] 【模型演练1】(2023·河南安阳·安阳一中校考模拟预测)如图所示,质量为m的A球以速度v 在光滑水 0 平面上运动,与原来静止的质量为4m的B球碰撞,碰撞后A球以v=av (待定系数a<1)的速率弹回,并 0 与挡板P发生完全弹性碰撞,若要使A球能追上B球再次相撞,则a的取值范围为( ) A. B. C. D. >m 一般情况下 ,所以s<x 即无论m、M、v 的大小如何,都只可能是甲图所示的情形,选项C正确,D错误。 0 故选BC。 【模型演练2】(2023·陕西西安·校考三模)如图所示,质量为m的长木板B放在光滑的水平面上,质量 为 的木块A放在长木板的左端,一颗质量为 的子弹以速度v 射入木块并留在木块中,当木块滑离 0 木板时速度为 ,木块在木板上滑行的时间为t,则下列说法错误的是( ) A.木块获得的最大速度为B.木块滑离木板时,木板获得的速度大小为 C.木块在木板上滑动时,木块与木板之间的滑动摩擦力大小为 D.因摩擦产生的热量等于子弹射入木块后子弹和木块减少的动能与木板增加的动能之差 【答案】B 【详解】A.对子弹和木块A组成的系统,根据动量守恒定律 解得 此后木块A与子弹一起做减速运动,则此时木块的速度最大,选项A正确; B.木块滑离木板时,对木板和木块 包括子弹 系统 解得 选项B错误; C.对木板,由动量定理: 解得 选项C正确; D.由能量守恒定律可知,木块在木板上滑动时,因摩擦产生的热量等于子弹射入木块后子弹和木块减少 的动能与木板增加的动能之差,选项D正确。 本题选错误的,故选B。 【模型演练3】(2021届福建省福州高三模拟)矩形滑块由不同材料的上、下两层粘合在一起组成,将其 放在光滑的水平面上,质量为m的子弹以速度v水平射向滑块.若射击下层,子弹刚好不射出;若射击上 层,则子弹刚好能射穿一半厚度,如图所示.则上述两种情况相比较( )A.子弹的末速度大小相等 B.系统产生的热量一样多 C.子弹对滑块做的功不相同 D.子弹和滑块间的水平作用力一样大 【答案】AB 【解析】根据动量守恒,两次最终子弹与木块的速度相等,A正确;根据能量守恒可知,初状态子弹簧动 能相同,末状态两木块与子弹的动能也相同,因此损失的动能都转化成了热量相等,B正确,子弹对滑块 做的功等于滑块末状态的动能,两次相等,因此做功相等,C错误,产生的热量 ,由于产生的 热量相等,而相对位移 不同,因此子弹和滑块间的水平作用力大小不同,D错误。 【模型演练4】(2023·重庆沙坪坝·重庆八中校考模拟预测)用同种材料制成的质量均为M=0.1kg的n个长 度不同的滑块等间距的静止放在光滑水平面上,依次编号为1、2、3…。质量为m=0.1kg的子弹(视为质 点)以水平初速度v=100m/s依次击穿这些滑块后最终停留在第n个滑块中。测量发现,子弹穿过编号为1 0 的滑块后,该滑块的速度变为v=15m/s,且子弹穿过每个滑块所用的时间都相等。已知子弹穿过滑块时受 到的水平阻力f=15N并保持恒定,且在子弹与第n个滑块共速前,各滑块均未发生碰撞。不考虑子弹在竖 直方向上的受力和运动,滑块不翻转,不计空气阻力。求: (1)穿过1滑块过程中系统损失的机械能; (2)n值; (3)滑块间距d的最小值。 【答案】(1)127.5J;(2)6;(3) 【详解】(1)子弹击穿第1个滑块 解得损失的机械能 解得 (2)子弹穿出每个滑块过程中减少的速度 子弹可穿出的滑块的数量 ( 为取整符号)故 (3)子弹穿第1个滑块过程中,对滑块有 解得 易知,d的最小值应在第4个与第5个滑块之间的间距、第5个与第6个滑块之间的间距当中取较大的。 ①若d的最小值取第4个与第5个滑块之间的间距:子弹穿第4个滑块过程中: 对前4个滑块和子弹有 解得 第4个滑块加速运动的距离 解得 子弹穿出第4个滑块后到穿出第5个滑块过程中,子弹运动的时间 第5个滑块加速运动的距离第4个滑块恰好追上第5个滑块 联立解得 ②若d的最小值取第5个与第6个滑块之间的间距:易知,子弹穿出第5个滑块时的速率 子弹与第6个滑块共速的过程中 解得共同的速率 第6个滑块加速时间 第5个滑块恰在子弹与第6个滑块共速时追上第6个滑块 联立解得 要保证子弹与第n个滑块共速前,各滑块均未发生碰撞,则 【模型演练5】.(2023秋·山东青岛·高三统考期末)如图,质量M=2kg的木板A静止在光滑的水平面上, 其右端与固定的弹性挡板P相距x,一根长L=0.8m的轻质细线,一端与质量m =0.9kg的滑块B(可视为 B 质点)相连,细线一端固定在O点,水平拉直细线并由静止释放,当滑块B到达最低点时,被一颗水平飞 来的小钢珠C以v=44m/s的速度击中(留在了B内),被击中后的滑块B恰好将细线拉断,之后滑上木 0 板A。已知小钢珠的质量m =0.1kg,A、B之间动摩擦因数μ=0.2,木板A足够长,滑块B不会滑离木板, C 木板与挡板P碰撞时无机械能损失,不计空气阻力,重力加速度为g=10m/s2。求: (1)细线能承受的最大拉力; (2)若x=2m,木板A与挡板P的碰撞次数;(3)若x=2m,最终B与A左端之间距离; (4)若木板A与挡板发生了8次碰撞,x满足的条件。 【答案】(1)90N;(2)1;(3)16m;(4) 【详解】(1)设滑块B与小钢珠碰撞前的瞬时速度为 ,碰撞后的瞬时速度为 ,轻绳承受最大拉力为 T,根据机械能守恒定律可得 解得 规定向右为正方向,根据守恒定律有 解得 根据牛顿第二定律有 解得 T=90N (2)只发生一次碰撞时,有 滑块在A上时,由动量守恒 由动能定理解得 若x=2m,木板A与挡板P的刚好碰撞1次; (3)由(2)可知 之后,AB最终静止,AB之间相对运动为x′,有 解得 若x=2m,最终B与A左端之间距离为16m; (4)若木板A与挡板发生了8次碰撞,A发生的位移为15x,每次用时均为t,有 A每次到档板处 结合 可得碰撞8次时 碰撞7次时 则x满足的条件【模型七】 滑块木板模型 木板初速度为零 木板有初速度,板块反向 v -v 0 0 v 示意图 0 (m