当前位置:首页>文档>2025年高考一轮复习第二次月考卷03(测试范围:集合不等式函数+三角+导数+平面向量+复数)(解析版)_02高考数学_2025年新高考资料_一轮复习

2025年高考一轮复习第二次月考卷03(测试范围:集合不等式函数+三角+导数+平面向量+复数)(解析版)_02高考数学_2025年新高考资料_一轮复习

  • 2026-04-29 23:10:32 2026-04-06 23:58:58

文档预览

2025年高考一轮复习第二次月考卷03(测试范围:集合不等式函数+三角+导数+平面向量+复数)(解析版)_02高考数学_2025年新高考资料_一轮复习
2025年高考一轮复习第二次月考卷03(测试范围:集合不等式函数+三角+导数+平面向量+复数)(解析版)_02高考数学_2025年新高考资料_一轮复习
2025年高考一轮复习第二次月考卷03(测试范围:集合不等式函数+三角+导数+平面向量+复数)(解析版)_02高考数学_2025年新高考资料_一轮复习
2025年高考一轮复习第二次月考卷03(测试范围:集合不等式函数+三角+导数+平面向量+复数)(解析版)_02高考数学_2025年新高考资料_一轮复习
2025年高考一轮复习第二次月考卷03(测试范围:集合不等式函数+三角+导数+平面向量+复数)(解析版)_02高考数学_2025年新高考资料_一轮复习
2025年高考一轮复习第二次月考卷03(测试范围:集合不等式函数+三角+导数+平面向量+复数)(解析版)_02高考数学_2025年新高考资料_一轮复习
2025年高考一轮复习第二次月考卷03(测试范围:集合不等式函数+三角+导数+平面向量+复数)(解析版)_02高考数学_2025年新高考资料_一轮复习
2025年高考一轮复习第二次月考卷03(测试范围:集合不等式函数+三角+导数+平面向量+复数)(解析版)_02高考数学_2025年新高考资料_一轮复习
2025年高考一轮复习第二次月考卷03(测试范围:集合不等式函数+三角+导数+平面向量+复数)(解析版)_02高考数学_2025年新高考资料_一轮复习
2025年高考一轮复习第二次月考卷03(测试范围:集合不等式函数+三角+导数+平面向量+复数)(解析版)_02高考数学_2025年新高考资料_一轮复习
2025年高考一轮复习第二次月考卷03(测试范围:集合不等式函数+三角+导数+平面向量+复数)(解析版)_02高考数学_2025年新高考资料_一轮复习
2025年高考一轮复习第二次月考卷03(测试范围:集合不等式函数+三角+导数+平面向量+复数)(解析版)_02高考数学_2025年新高考资料_一轮复习
2025年高考一轮复习第二次月考卷03(测试范围:集合不等式函数+三角+导数+平面向量+复数)(解析版)_02高考数学_2025年新高考资料_一轮复习
2025年高考一轮复习第二次月考卷03(测试范围:集合不等式函数+三角+导数+平面向量+复数)(解析版)_02高考数学_2025年新高考资料_一轮复习
2025年高考一轮复习第二次月考卷03(测试范围:集合不等式函数+三角+导数+平面向量+复数)(解析版)_02高考数学_2025年新高考资料_一轮复习
2025年高考一轮复习第二次月考卷03(测试范围:集合不等式函数+三角+导数+平面向量+复数)(解析版)_02高考数学_2025年新高考资料_一轮复习
2025年高考一轮复习第二次月考卷03(测试范围:集合不等式函数+三角+导数+平面向量+复数)(解析版)_02高考数学_2025年新高考资料_一轮复习
2025年高考一轮复习第二次月考卷03(测试范围:集合不等式函数+三角+导数+平面向量+复数)(解析版)_02高考数学_2025年新高考资料_一轮复习
2025年高考一轮复习第二次月考卷03(测试范围:集合不等式函数+三角+导数+平面向量+复数)(解析版)_02高考数学_2025年新高考资料_一轮复习
2025年高考一轮复习第二次月考卷03(测试范围:集合不等式函数+三角+导数+平面向量+复数)(解析版)_02高考数学_2025年新高考资料_一轮复习
2025年高考一轮复习第二次月考卷03(测试范围:集合不等式函数+三角+导数+平面向量+复数)(解析版)_02高考数学_2025年新高考资料_一轮复习
2025年高考一轮复习第二次月考卷03(测试范围:集合不等式函数+三角+导数+平面向量+复数)(解析版)_02高考数学_2025年新高考资料_一轮复习
2025年高考一轮复习第二次月考卷03(测试范围:集合不等式函数+三角+导数+平面向量+复数)(解析版)_02高考数学_2025年新高考资料_一轮复习
2025年高考一轮复习第二次月考卷03(测试范围:集合不等式函数+三角+导数+平面向量+复数)(解析版)_02高考数学_2025年新高考资料_一轮复习
2025年高考一轮复习第二次月考卷03(测试范围:集合不等式函数+三角+导数+平面向量+复数)(解析版)_02高考数学_2025年新高考资料_一轮复习

文档信息

文档格式
docx
文档大小
0.929 MB
文档页数
21 页
上传时间
2026-04-06 23:58:58

文档内容

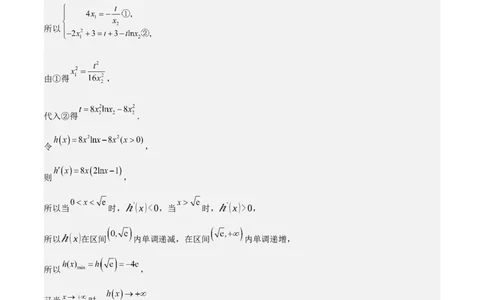
2025 年高考一轮复习第二次月考卷 03 (满分150分,考试用时120分钟) 测试范围:集合+不等式+函数+三角+导数+平面向量+复数 一、选择题 1.若集合 , ,则 ( ) A. B. C. D. 【答案】C 【分析】首先解分式不等式求出集合 ,再化简集合 ,最后根据交集的定义计算可得. 【解析】由 ,等价于 ,解得 或 , 所以 或 , 又 , 所以 . 故选:C 2.设 是虚数单位,则复数 的共轭复数 ( ) A. B. C. D. 【答案】A 【分析】利用复数的乘方运算,结合共轭复数的意义求解即得. 【解析】复数 ,所以 . 故选:A3.已知 为单位向量,且 则 夹角的余弦值为( ) A. B. C. D. 【答案】B 【分析】根据 ,得到 ,将等式展开由平面向量数量积的定义即可得 到答案. 【解析】设 的夹角为 ,因为 , 为单位向量, 所以 ,所以 . 故选:B. 4.若 ,则 的最小值为( ) A.9 B.18 C.24 D.27 【答案】A 【分析】利用基本不等式中“1”的妙用即可求得最小值. 【解析】根据题意可得 ; 当且仅当 ,即 时,等号成立; 此时 的最小值为9. 故选:A. 5.若 ,则 ( ) A. B. C. D. 【答案】D 【分析】利用余弦函数奇偶性和二倍角余弦公式直接求解即可.【解析】 . 故选:D. 6.已知火箭在 时刻的速度为 (单位:千米/秒),质量为 (单位:千克),满足 ( 为常数), 、 分别为火箭初始速度和质量.假设一小型火箭初始质量 千克,其中包含燃料质量为500千克,初始速度为 ,经过 秒后的速度 千米/秒, 此时火箭质量 千克,当火箭燃料耗尽时的速度大约为( )( , ). A.4 B.5 C.6 D.7 【答案】C 【分析】根据题意,得到 和 ,结合对数的运算性质,即可求解. 【解析】由题意知,火箭在 时刻的速度为 ,质量为 ,满足 , 因为经过 秒后的速度 千米/秒,此时火箭质量 千克, 可得 ,火箭耗尽燃料时速度为 , 两式相除得 . 故选:C. 7.若至少存在一条直线与曲线 和 均相切,则 的取值范围是( ) A. B. C. D.【答案】D 【分析】分别假设公切线的切点,然后根据题意列出方程并化简,进而转化为两个函数有交点即可. 【解析】 ,设公切线与曲线y=f (x)相切于点 ,与曲线y=g(x)相切于点 , 则切线方程分别为 , , 所以 由①得 , 代入②得 . 令 , 则 , 所以当 时,ℎ ′(x)<0,当 时,ℎ ′(x)>0, 所以ℎ(x)在区间 内单调递减,在区间 内单调递增, 所以 , 又当 时, , 所以ℎ(x)的值域为 , 所以 的取值范围是 . 故选:D. 8.已知函数 的定义域为 ,对定义域内任意的 ,当 时,都有 ,则下列说法正确的是( ) A.若 ,则 B.若 ,则 C.若 ,则 D.函数 和 在 上有相同的单调性 【答案】C 【分析】根据函数不等式恒成立分别应用各个选项判断即可. 【解析】对于A: , , 因为 ,所以 , 因为 ,所以 恒成立, 又因为 不相等,所以 ,A选项错误; 对于B: , 所以 恒成立, 所以 ,又因为 不相等, , 所以 , 又 , , , , 所以 , 所以 ,B选项错误;对于C: 因为 不相等,不妨设 , 因为 , 所以 , 所以 ,C选项正确, 对于D:不妨设 在 上单调递增,任取 ,满足 , 则 , 因为 , 所以 ,所以 , 所以 单调递减,D选项错误. 故选:C. 【点睛】方法点睛:结合已知条件及函数单调性定义判断单调性,结合三角不等式判断绝对值不等式范围. 二、多选题 9.下列说法正确的是( ) A.函数 ( 且 )的图象恒过定点 B.若命题“ ”为真命题,则实数 的取值范围是 C.将函数 的图象向左平移 个单位后得到函数 的图象 D. 的零点所在的一个区间为 【答案】ACD【分析】对A,根据对数函数的定义即可求解;对B,由二次函数的性质可判断;对C,根据三角函数的平 移原则即可判断;对D,根据函数单调性结合零点存在性定理即可判断. 【解析】对于A,令 ,解得 , , 所以 恒过定点 ,故选项A正确; 对于B,因为 , ,为真命题,则 ,解得 ,故B错误; 对于C,函数 的图象向左平移 个单位后得到函数 的图 象,故C正确; 对于D,因为 在 上均单调递增, 则 在 上单调递增, 又 , ,则根据零点存在性定理知其零点所在的一个区间为 ,故D正确. 故选:ACD 10.已知 的三边长分别为 为 内一点,且满足 .设 ,则 A. B. C. D. 【答案】BCD 【分析】假设 ,然后根据向量的运算及余弦定理、三角形面积公式计算即可.【解析】对于A, ,故A错误; 对于B,不妨设 , 由余弦定理可知 ,故 , , 设 , 则 , 又因为 , 故 ,所以 ,故B正确; 对于C,由余弦定理可知, , 同理 , 故 ,故C正确; 对于D, ,故D正确. 故选:BCD. 11.已知 ,且 ,则( ) A.若 ,则 B.若 ,则 的最大值为C.若 ,则 D.若 ,则 【答案】ACD 【分析】选项A,根据条件得到 ,利用 的性质,即可求解;选项B,根据条件, 利用基本不等式,即可求解;选项C,根据条件,得到 ,从而有 ,得到 ,即可求解;选项D,利用 ,得 ,即可求解. 【解析】对于选项A,由 得, ,又 ,可得 , 所以 ,又 ,所以 ,故选项A正确; 对于选项B,易知, ,所以 ,当且仅当 时取等号,所以选项B错误; 对于选项C,由选项A知 ,所以 ,得到 , 所以 ,所以 ,整理得 ,所以选 项C正确; 对于选项D,由 得到, ,得 ,所以选项D正确. 故选:ACD.三、填空题 12.“函数 是奇函数”的充要条件是实数 . 【答案】0 【分析】结合三角函数奇偶性、幂函数奇偶性以及奇偶性的定义即可运算求解. 【解析】若函数 是奇函数, 则当且仅当 , 也就是 恒成立,从而只能 . 故答案为:0. 13.已知 ,则不等式 的解集为 . 【答案】 【分析】先求出函数的定义域,保证 有意义,再代入函数解不等式即可. 【解析】 , ,解得 ,所以 的定义域为(−1,1), 将 代入 , 得 , 即 , 即 ,则 ,解得 , 所以不等式的解集为 .故答案为: . 14.已知 ,若 , ,则 的最大值为 . 【答案】 【分析】设 ,作出 和 的图象,数形结合得出 ,由余弦函数图象的对称性得出 ,结合 得出 ,构造函数 ,利用导数求出最 大值即可求解. 【解析】设 ,则 , 的图象如图所示, 即 的图象与 的图象有3个交点,横坐标依次为 ,且 , 由余弦函数图象的性质可知, , 所以 , 又因为 ,所以 , 令 , 则 ,令 ,解得 或 , 当 时, 在 单调递增,当 时, 在 单调递减, 当 时, 在 单调递增, 又因为 , , 所以 , 所以 , 故答案为: . 四、解答题 15. 的内角 所对的边分别为 ,已知 . (1)求 ; (2)若 的角平分线与 交于点 ,求 . 【答案】(1) . (2) 【分析】(1)利用正弦定理边化角以及三角恒等变换公式求解; (2)利用等面积法以及余弦定理即可求解. 【解析】(1)依题意,由正弦定理可得 所以 , 又 所以 ,因为B∈(0,π),所以 ,所以 , 又 ,所以 . (2)解法一:如图,由题意得, , 所以 ,即 , 又 ,所以 , 所以 ,即 , 所以 . 解法二:如图, 中,因为 , 由余弦定理得, , 所以 ,所以 , 所以 , 所以 , 所以 . 16.已知函数 , . (1)若曲线 在 处的切线与直线 相互垂直,求 的值;(2)若 ,求函数 的极值. 【答案】(1) ; (2)极小值 ,无极大值. 【分析】(1)求出函数 的导数,利用导数的几何意义及给定直线列式计算即得. (2)把 代入,利用导数求出函数的极值. 【解析】(1)函数 ,求导得 ,则 , 依题意, ,所以 . (2)当 时,函数 的定义域为 , 求导得 , 当 时, ,当 时, , 因此函数 在 上单调递减,在 上单调递增, 所以函数 在 处取得极小值 ,无极大值. 17.太阳能板供电是节约能源的体现,其中包含电池板和蓄电池两个重要组件,太阳能板通过电池板将太 阳能转换为电能,再将电能储存于蓄电池中.已知在一定条件下,入射光功率密度 (E为入射光能 量且 为入射光入射有效面积),电池板转换效率 与入射光功率密度 成反比,且比 例系数为k. (1)若 平方米,求蓄电池电能储存量Q与E的关系式; (2)现有铅酸蓄电池和锂离子蓄电池两种蓄电池可供选择,且铅酸蓄电池的放电量 ,锂离子蓄电 池的放电量 .设 ,给定不同的Q,请分析并讨论为了使得太阳能板供电效果更好, 应该选择哪种蓄电池? 注:①蓄电池电能储存量 ;②当S,k,Q一定时,蓄电池的放电量越大,太阳能板供电效果越好. 【答案】(1) (2)答案见解析 【分析】(1)利用题目所给公式及数据计算即可得; (2)用S,k,Q表示出两种蓄电池的放电量后作差比大小即可得. 【解析】(1) , 若 平方米,则 ; (2)由 ,即 , 铅酸蓄电池的放电量为: , 锂离子蓄电池的放电量为: , 则 , 令 ,可得 , 即 时, ,此时应选择铅酸蓄电池, 当 时, ,此时应选择锂离子蓄电池, 当 时, ,两种电池都可以.18.已知函数 , . (1)求函数 的值域; (2)设函数 ,证明: 有且只有一个零点 ,且 . 【答案】(1) (2)证明见解析 【分析】(1)依题意可得 ,首先判断 的奇偶性,再利用换元法求出函数在 时的取值范围,结合偶函数的性质得解. (2)结合零点的存在性定理分类讨论可证 有且只有一个零点;结合零点性质与单调性放缩可得 . 【解析】(1)因为 , 所以 , 则 , 所以 为偶函数, 当 时 , 令 ,则 ,令 , , ,又 , , 所以 ,即当 时 ,根据偶函数关于 轴对称,所以当 时 , 综上可得 . (2)因为 , 当 时,函数 与函数 均在 上单调递增, 故 在 上单调递增, 又 , , 故 存在唯一零点 , 当 时, , ,故 , 当 时, , ,故 , 故当 时, 无零点, 综上所述, 有且只有一个零点,且该零点 ; 由上可知 ,且有 , 则 , 即 , 由函数 在区间 上单调递增, 故 .【点睛】关键点睛:本题二问关键在于借助零点的存在性定理判定 有且只有一个零点,借助零点 得到 ,将 转化为 ,结合函数单调性,得到 . 19.阅读以下材料: ①设 为函数 的导函数.若 在区间D单调递增;则称 为区 上的凹函数;若 在区 间 上单调递减,则称 为区间 上的凸函数. ②平面直角坐标系中的点 称为函数 的“ 切点”,当且仅当过点 恰好能作曲线 的 条切 线,其中 . (1)已知函数 . (i)当 时,讨论 的凹凸性; (ii)当 时,点 在 轴右侧且为 的“3切点”,求点 的集合; (2)已知函数 ,点 在 轴左侧且为 的“3切点”,写出点 的集合(不需要写出求解过 程). 【答案】(1)(i)答案见解析;(ii) 或 (2)点 的集合为 或 或 【分析】(1)(i)利用导函数并对参数进行分类讨论,即可得出函数 的单调性,可得其凹凸性; (ii)根据“ 切点”的定义,由切点个数转化成方程根的个数即可得出点 的集合;(2)根据函数 利用“ 切点”的定义,得出单调性即可得出结论. 【解析】(1)因为 , 所以 , 令 , 所以 . (i)当 时, ,令 ,解得 ; 令 ,解得 ; 故 为区间 上的凹函数,为区间 上的凸函数; 当 时,令 ,解得 , 令 ,解得 或 , 故 为区间 上的凹函数,为区间 和 上的凸函数; 当 时, ,故 为区间 上的凸函数;. 当 时,令 , 解得 , 令 ,解得 或 , 故 为区间 上的凹函数,为区间 和 上的凸函数; 综上所述,当 时, 为区间 上的凹函数,为区间 和 上的凸函数;当 时, 为区间 上的凸函数; 当 时, 为区间 上的凹函数,为区间 和 上的凸函数; 当 时, 为区间 上的凹函数,为区间 上的凸函数; (ii)当 时, , 故在点 处的切线方程为 . 设 为 的“3切点”, 则关于 的方程 有三个不同的解, 即关于 的方程 有三个不同的解, 令 , 所以直线 与曲线 恰有三个不同的交点. . 当 时, 随 变化情况如下: 1 0 0 减 极小值 增 极大值 减 故 ; 当 时, 单调递减,不符合题意; 当 时, 随 变化情况如下:1 0 0 减 极小值 增 极大值 减 故 ; 综上所述,点 的集合为 或 (2)点 的集合为 或 或 【点睛】关键点点睛:本题在求解“ 切点”问题时,关键是利用其定义将切线问题转化成求解方程根的 个数,再利用导数求得函数单调性即可得出结论.