当前位置:首页>文档>专题07因式分解(解析版)-八年级数学下册压轴题专题精选汇编(北师大版)_北师大初中数学_8下-北师大版初中数学_旧版-可参考_06专项讲练

专题07因式分解(解析版)-八年级数学下册压轴题专题精选汇编(北师大版)_北师大初中数学_8下-北师大版初中数学_旧版-可参考_06专项讲练

  • 2026-04-12 21:33:51 2026-04-12 21:22:46

文档预览

专题07因式分解(解析版)-八年级数学下册压轴题专题精选汇编(北师大版)_北师大初中数学_8下-北师大版初中数学_旧版-可参考_06专项讲练
专题07因式分解(解析版)-八年级数学下册压轴题专题精选汇编(北师大版)_北师大初中数学_8下-北师大版初中数学_旧版-可参考_06专项讲练
专题07因式分解(解析版)-八年级数学下册压轴题专题精选汇编(北师大版)_北师大初中数学_8下-北师大版初中数学_旧版-可参考_06专项讲练
专题07因式分解(解析版)-八年级数学下册压轴题专题精选汇编(北师大版)_北师大初中数学_8下-北师大版初中数学_旧版-可参考_06专项讲练
专题07因式分解(解析版)-八年级数学下册压轴题专题精选汇编(北师大版)_北师大初中数学_8下-北师大版初中数学_旧版-可参考_06专项讲练
专题07因式分解(解析版)-八年级数学下册压轴题专题精选汇编(北师大版)_北师大初中数学_8下-北师大版初中数学_旧版-可参考_06专项讲练
专题07因式分解(解析版)-八年级数学下册压轴题专题精选汇编(北师大版)_北师大初中数学_8下-北师大版初中数学_旧版-可参考_06专项讲练
专题07因式分解(解析版)-八年级数学下册压轴题专题精选汇编(北师大版)_北师大初中数学_8下-北师大版初中数学_旧版-可参考_06专项讲练
专题07因式分解(解析版)-八年级数学下册压轴题专题精选汇编(北师大版)_北师大初中数学_8下-北师大版初中数学_旧版-可参考_06专项讲练
专题07因式分解(解析版)-八年级数学下册压轴题专题精选汇编(北师大版)_北师大初中数学_8下-北师大版初中数学_旧版-可参考_06专项讲练
专题07因式分解(解析版)-八年级数学下册压轴题专题精选汇编(北师大版)_北师大初中数学_8下-北师大版初中数学_旧版-可参考_06专项讲练
专题07因式分解(解析版)-八年级数学下册压轴题专题精选汇编(北师大版)_北师大初中数学_8下-北师大版初中数学_旧版-可参考_06专项讲练
专题07因式分解(解析版)-八年级数学下册压轴题专题精选汇编(北师大版)_北师大初中数学_8下-北师大版初中数学_旧版-可参考_06专项讲练
专题07因式分解(解析版)-八年级数学下册压轴题专题精选汇编(北师大版)_北师大初中数学_8下-北师大版初中数学_旧版-可参考_06专项讲练
专题07因式分解(解析版)-八年级数学下册压轴题专题精选汇编(北师大版)_北师大初中数学_8下-北师大版初中数学_旧版-可参考_06专项讲练
专题07因式分解(解析版)-八年级数学下册压轴题专题精选汇编(北师大版)_北师大初中数学_8下-北师大版初中数学_旧版-可参考_06专项讲练
专题07因式分解(解析版)-八年级数学下册压轴题专题精选汇编(北师大版)_北师大初中数学_8下-北师大版初中数学_旧版-可参考_06专项讲练
专题07因式分解(解析版)-八年级数学下册压轴题专题精选汇编(北师大版)_北师大初中数学_8下-北师大版初中数学_旧版-可参考_06专项讲练
专题07因式分解(解析版)-八年级数学下册压轴题专题精选汇编(北师大版)_北师大初中数学_8下-北师大版初中数学_旧版-可参考_06专项讲练
专题07因式分解(解析版)-八年级数学下册压轴题专题精选汇编(北师大版)_北师大初中数学_8下-北师大版初中数学_旧版-可参考_06专项讲练
专题07因式分解(解析版)-八年级数学下册压轴题专题精选汇编(北师大版)_北师大初中数学_8下-北师大版初中数学_旧版-可参考_06专项讲练
专题07因式分解(解析版)-八年级数学下册压轴题专题精选汇编(北师大版)_北师大初中数学_8下-北师大版初中数学_旧版-可参考_06专项讲练
专题07因式分解(解析版)-八年级数学下册压轴题专题精选汇编(北师大版)_北师大初中数学_8下-北师大版初中数学_旧版-可参考_06专项讲练
专题07因式分解(解析版)-八年级数学下册压轴题专题精选汇编(北师大版)_北师大初中数学_8下-北师大版初中数学_旧版-可参考_06专项讲练

文档信息

文档格式
docx
文档大小
0.277 MB
文档页数
20 页
上传时间
2026-04-12 21:22:46

文档内容

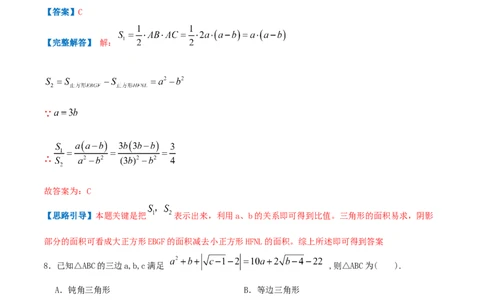
2021-2022 学年北师大版数学八年级下册压轴题专题精选汇编 专题 07 因式分解 一、选择题 1.下列因式分解正确的是( ) A.2x2﹣2=2(x+1)(x﹣1) B.x2+2x﹣1=(x﹣1)2 C.x2﹣1=(x﹣1)2 D.x2﹣x+2=x(x﹣1)+2 【答案】A 【完整解答】解:A、2x2﹣2=2(x2﹣1)=2(x+1)(x﹣1),故A选项符合题意; B、x2+2x+1=(x+1)2,故B选项不符合题意; C、x2﹣1=(x+1)(x﹣1),故C选项不符合题意; D、不能分解,故D选项不符合题意. 故答案为:A. 【思路引导】将一个多项式化为几个整式的乘积形式的恒等变形就是因式分解,据此对各选项一一判断得 出答案. 2.(2021八上·芜湖期末)下列因式分解结果正确的是( ) A. B. C. D. 【答案】C 【完整解答】解:A、原式=﹣x(x﹣4),故本选项不符合题意; B、原式=(2x+y)(2x﹣y),故本选项不符合题意; C、原式=﹣(x+1)2,故本选项符合题意; D、原式=(x+1)(x﹣6),故本选项不符合题意, 故答案为:C. 【思路引导】利用提公因式法和公式法分解因式即可。 3.(2022七下·)下列各式中,计算结果是x3+4x2-7x-28的是( ) A.(x2+7)(x+4) B.(x2-2)(x+14) C.(x+4)(x2-7) D.(x+7)(x2-4) 【答案】C【完整解答】解: x3+4x2-7x-28 =x2(x+4)-7(x+4) =(x+4)(x2-7). 故答案为:C. 【思路引导】利用分组分解法,找出公因式(x+4),利用提取公因式法进行因式分解即可. 4.下列等式中,从左到右的变形是因式分解的是( ) A. B. C. D. 【答案】D 【完整解答】解:A、等式右边不是整式积的形式,不是因式分解,则此项不符题意; B、是整式的乘法运算,不是因式分解,则此项不符题意; C、等式右边 等于 ,与等式左边不相等,不是因式分解,则此项不符题意; D、等式右边 等于 ,即等式的两边相等,且等式右边是整式积的形式,是因式分 解,则此项符合题意; 故答案为:D. 【思路引导】根据因式分解的定义逐项判断即可。 5.(2020八上·阳信期末)下列因式分解正确的是( ) A. B. C. D. 【答案】A 【完整解答】解:A、 ,符合题意; B、 ,不符合题意; C、 是整式乘法运算,不是因式分解,不符合题意;D、 ,不符合题意; 故答案为:A. 【思路引导】根据因式分解的定义逐项判断即可。 6.(2021八上·东平月考)若 有一个因式为 ,则k的值为( ) A.17 B.51 C.-51 D.-57 【答案】C 【完整解答】解:设另一个因式为(4x-n), 则(4x-n)(x-3)=4x2+(-12-n)x+3n, 即4x2+5x+k=4x2+(-12-n)x+3n, ∴ , 解得: , 故k的值为-51. 故答案为:C. 【思路引导】先求出(4x-n)(x-3)=4x2+(-12-n)x+3n,再求出 ,最后计算求解即可。 7.(2020七下·温州期中)如图,在长方形 ABCD 中,E 为 AB 中点,以 BE 为边作正方形 BEFG,边 EF 交 CD 于点H,在边 BE 上取点 M 使BM=BC,作 MN∥BG 交 CD 于点 L,交 FG 于点 N. 欧几里得在《几何原本》中利用该图解释了 ,连结AC,记△ABC的面积为 ,图中阴影部分的面积为 .若 ,则 的值为 ( )A. B. C. D. 【答案】C 【完整解答】 解: ∵ ∴ 故答案为:C 【思路引导】本题关键是把 表示出来,利用a、b的关系即可得到比值。三角形的面积易求,阴影 部分的面积可看成大正方形EBGF的面积减去小正方形HFNL的面积。综上所述即可得到答案 8.已知△ABC的三边a,b,c满足 ,则△ABC为( ). A.钝角三角形 B.等边三角形 C.直角三角形 D.等腰直角三角形 【答案】B 【完整解答】解:将 整理得:∴ , { a−5=0 ∴ √b−4−1=0, √c−1−2=0 {a=5 解得: b=5, c=5 ∴该三角形是等边三角形. 故答案为:B. 【思路引导】首先将等式利用拆项及分组分解分解法变形为 ,然 后根据偶数次幂的非负性及绝对值的非负性,由三个非负数的和为0,则这几个数都为0即可求出a,b,c 的值,进而根据三角形的三边关系判断得出结论. 9.(2019八上·浦东期中)下列二次三项式在实数范围内不能因式分解的是( ) A. B. C. D. 【答案】D 【完整解答】A.6x2+x-15=0时,b2-4ac=1+4×6×15=361>0, 则此二次三项式在实数范围内能因式分解,故此选项不符合题意; B.3y2+7y+3,b2-4ac=49-4×3×3=13>0, 则此二次三项式在实数范围内能因式分解,故此选项不符合题意; C.x2-2x-4,b2-4ac=4-4×(-4)=20>0, 则此二次三项式在实数范围内能因式分解,故此选项不符合题意; D.2x2-4xy+5y2此二次三项式在实数范围内不能因式分解,故此选项符合题意. 故答案为:D. 【思路引导】因式分解的步骤:1.提取公因式;2.套公式(完全平方公式、平方差公式);3.十字相乘。 10.下列等式由左边至右边的变形中,属于因式分解的是( ) A.x2+5x-1=x(x+5)-1 B.x2-4+3x=(x+2)(x-2)+3x C.x2-9=(x+3)(x-3) D.(x+2)(x-2)=x2-4【答案】C 【完整解答】A.右边不是积的形式,故A错误; B.右边不是积的形式,故B错误; C.x2-9=(x+3)(x-3),故C正确. D.是整式的乘法,不是因式分解 选C 【思路引导】根据因式分解的定义:把一个多项式化为几个整式的积的形式,这种变形叫做把这个多项式 因式分解 二、填空题 11.(2021八上·南充期末)已知 , ,则 . 【答案】2 【完整解答】解: , , , 故答案为: 2. 【思路引导】利用分解因式可将原等式转化为(a+b)(a-b)=8,再整体代入,可求出a+b的值. 12.(2021八上·芜湖期末)已知a+b=4,ab=1,则a3b+2a2b2+ab3的值为 . 【答案】16 【完整解答】解:a3b+2a2b2+ab3 =ab(a2+2ab+b2) =ab(a+b)2 =1×42 =16. 故答案是16. 【思路引导】先分解因式,再将 a+b=4,ab=1, 代入求解即可。 13.(22021八上·东莞期末)已知x+y=﹣2,xy=4,则x2y+xy2= 【答案】-8 【完整解答】解: ∵x+y=﹣2,xy=4,∴ . 故答案为:-8 . 【思路引导】利用因式分解、代数式求值即可。 14.(2021八上·营口期末)分解因式:﹣8a3b+8a2b2﹣2ab3= . 【答案】﹣2ab(2a﹣b)2 【完整解答】解:原式=﹣2ab(4a2﹣4ab+b2) =﹣2ab(2a﹣b)2, 故答案为:﹣2ab(2a﹣b)2. 【思路引导】先提取公因式-2ab,再利用完全平方公式因式分解即可。 15.在○处填入一个整式,使关于 的多项式 可以因式分解,则○可以为 .(写出一 个即可) 【答案】2x 【完整解答】解:∵ , ∴○可以为2x、-2x、2x-1等,答案不唯一, 故答案为:2x. 【思路引导】先求出 , ,再求解即可。 16.(2021七下·海曙月考)若m2=n+2020,n2=m+2020(m≠n),那么代数式m3﹣2mn+n3的值 . 【答案】-2020 【完整解答】解:∵m2=n+2020,n2=m+2020, ∴ , , , ∴ , ∴ ,∴ , ∴m-n=0或m+n+1=0, ∴m=n或m+n=-1, ∵m≠n, ∴m+n=-1, ∵ , , ∴原式= = =2020m+2020n =2020(m+n) = =-2020. 故答案为:-2020. 【思路引导】根据m2=n+2020,n2=m+2020即可得出m+n=-1, , ,再将原 式化为 ,代入数值,提取公因数,再代值计算即可求出答案. 17.(2020八上·张掖期末)如果 可以因式分解为 (其中 , 均为整数),则 的值是 . 【答案】2或4 【完整解答】∵ 可以因式分解为 , ∴ , ∴x2+(a+3)x+3a-2=x2+(m+n)x+mn,∴ , ∴a=m+n-3, ∴ , 整理得: , ∵其中 , 均为整数, ∴ 或 , 当m-3=1时,m=4,n=1,a=2, 当m-3=-1时,m=2,n=5,a=4, 当m-3=2时,m=5,n=2,a=4, 当m-3=-2时,m=1,n=4,a=2, ∴ 的值是 或 , 故答案为 或 【思路引导】将原式展开得:a+3=m+n、3a-2=mn,消去a得到mn=3m+3n-11,进一步整理得(m-3)(3- n)=2,进而求得m-3=±1,±2,据此可以分别求得m、n的值,然后可以求得a的值即可. 18.(2019七上·静安期中)观察下列各式: (x−1)(x+1)=x²−1 (x−1)(x²+x+1)=x³−1 (x−1)(x³+x²+x+1)=x −1… 根据以上规律, 求1+2+2²+…+ . 【答案】22018-1 【完整解答】解:1+2+2²+…+22016+22017 =(2-1)(1+2+2²+…+ 22016+22017 ) =22018-1 故答案为:22018-1 【思路引导】把原式进行变形,即原式乘以(2-1)后根据题中的规律可得结果. 19.(2018九上·运城月考)如图,边长为a、b的矩形,它的周长为14,面积为10,则a2b+ab2的值为 .【答案】70 【完整解答】∵矩形的长和宽分别为a,b,周长为14,面积为10, ∴a+b=7,ab=10, ∴a2b+ab2=ab(a+b)=70. 【思路引导】由矩形的性质可求出a+b和ab的值,再对式子 a2b+ab2 因式分即可解 三、解答题 20.(2021八上·红桥期末)(Ⅰ)先化简,再求值: , 其中 , ; (Ⅱ)分解因式:① ;② . 【答案】解:(Ⅰ)原式 当 、 时 原式 . (Ⅱ)① .② . 【思路引导】(Ⅰ)先利用整式的混合运算化简,再将a、b的值代入计算即可; (Ⅱ)①先提取公因式x,再利用平方差公式因式分解即可;②先提取公因式-y,再利用完全平方公式因 式分解即可。 21.(2021八上·密山期末)△ABC的三边长分别为a,b,c,且2a+ab=2c+bc,请判断△ABC是等边三 角形、等腰三角形,还是直角三角形?并说明理由. 【答案】解:由原式可得,a(2+b)=c(2+b), ∵2+b≠0,a、b、c不等于0, ∴a=c, ∴ΔABC是等腰三角形. 【思路引导】先求出 a(2+b)=c(2+b), 再求出 a=c, 最后判断求解即可。 22.(2021八上·东平月考)分解因式 (1) (2) (3) (4)(a2+4)2﹣16a2 【答案】(1)解:原式 (2)解:原式 (3)解:原式 (4)解:原式 . 【思路引导】(1)利用平方差公式因式分解即可;(2)将 当作整体,利用完全平方公式因式分解得到 ,再利用完全平方公式因式分 解即可; (3)提取公因式-2m即可得到答案; (4)先利用平方差公式因式分解,再利用完全平方公式因式分解即可。 23.(2021八上·东平月考)求证:对于任意自然数n,(n+7)2-(n-5)2都能被24整除. 【答案】解: =24(n+1), ∴能被24整除. 【思路引导】利用平方差公式将代数式(n+7)2-(n-5)2因式分解可以得到(n+7)2-(n-5)2=24 (n+1),即可得到答案。 24.() (1)因式分解:(y+2x)2-(x+2y)2 (2)先化简,再求值:(1 )÷ ,其中m= . 【答案】(1)解:原式=(y+2x+x+2y)(y+2x-x-2y) =(3y+3x)(x-y) =3(x+y)(x-y) (2)解:原式= x = 当m= 时,原式= =-1 【思路引导】(1)先根据平方差公式因式分解,再提公因式,即可得出答案; (2)根据分式混合运算顺序和运算法则进行化简,再把m的值代入进行计算,即可得出答案. 25.(2021八上·长春期末)如图,将一张大长方形纸板按图中虚线裁剪成9块,其中有2块是边长为a 厘米的大正方形,2块是边长都为b厘米的小正方形,5块是长为a厘米,宽为b厘米的相同的小长方形,且 . (1)观察图形,可以发现代数式 可以因式分解为 . (2)若图中阴影部分的面积为20平方厘米,大长方形纸板的周长为24厘米,求图中空白部分的面积. 【答案】(1)(a+2b)(2a+b) (2)解:∵图中阴影部分的面积为20平方厘米,大长方形纸板的周长为24厘米. ∴2a2+2b2=20,2(a+2b+2a+b)=24. ∴a2+b2=10,a+b=4. ∵(a+b)2=a2+b2+2ab. ∴16=10+2ab. ∴ab=3. 2a2+5ab+2b2=2×10+5×3=35(平方厘米). 空白部分面积为:35-20=15(平方厘米). 【完整解答】解:(1)观察图形,可得:2a2+5ab+2b2 =(a+2b)(2a+b). 故答案为:(a+2b)(2a+b). 【思路引导】(1)根据长方形面积的两种表达方式求解即可; (2)由阴影部分面积以及大长方形周长可得两个方程,联立方程求解即可。 26.(2021七下·杭州开学考)当我们利用2种不同的方法计算同一图形的面积时,可以得到一个等式. 例如,由图1,可得等式:(a+2b)(a+b)=a2+3ab+2b2.(1)由图2,可得等式: . (2)利用(1)中所得到的结论,解决下面的问题:已知a+b+c=12,ab+bc+ac=47,求a2+b2+c2的值; (3)利用图3中的纸片(足够多),画出一种拼图,使该拼图可用来验证等式:2a2+5ab+2b2= (2a+b)(a+2b) 【答案】(1)(a+b+c)2=a2+b2+c2+2ab+2ac+2bc (2)解:∵a+b+c=12,ab+bc+ac=47, ∴a2+b2+c2=(a+b+c)2﹣2(ab+ac+bc)=144﹣94=50; 故答案为:50 (3)解:根据题意作图如下: 【完整解答】解:(1)根据图形可知,大正方形的边长为a+b+c, 则其面积为(a+b+c)2, 各部分面积和表示为:a2+b2+c2+2ab+2ac+2bc, ∴(a+b+c)2=a2+b2+c2+2ab+2ac+2bc, 故答案为:(a+b+c)2=a2+b2+c2+2ab+2ac+2bc. 【思路引导】(1)大正方形的面积=各部分面积和,据此即得等式; (2) 由于a2+b2+c2=(a+b+c)2﹣2(ab+ac+bc) ,据此即可求解; (3) 用2个边长为a的正方形,2个边长为b的正方形、5个小长方形拼成一个矩形即可. 27.(2021八下·长沙开学考)阅读理解:因式分解有多种方法,除了提公因式法,公式法,十字相乘法 等,还有分组分解法,拆项法,配方法等.一般情况下,我们需要综合运用多种方法才能解决问题. 例如:分解因式x3﹣4x2+x+6.步骤: 解:原式=x3﹣3x2﹣x2+x+6 第1步:拆项法,将﹣4x2拆成﹣3x2和﹣x2;=(x3﹣3x2)﹣(x2﹣x﹣6)第2步:分组分解法,通过添括号进行分组; =x2(x﹣3)﹣(x+2)(x﹣3)第3步:提公因式法和十字相乘法(局部); =(x﹣3)(x2﹣x﹣2)第4步:提公因式法(整体); =(x﹣3)(x﹣2)(x+1)第5步:十字相乘法:最后结果分解彻底. (1)请你试一试分解因式x3﹣7x+6. (2)请你试一试在实数范围内分解因式x4﹣5x2+6. 【答案】(1)解:x3﹣7x+6 =x3﹣x﹣6x+6 =x(x2﹣1)﹣6(x﹣1) =x(x﹣1)(x+1)﹣6(x﹣1) =(x﹣1)(x2+x﹣6) =(x﹣1)(x+3)(x﹣2); (2)解:x4﹣5x2+6 =(x2﹣2)(x2﹣3) =(x+ )(x﹣ )(x+ )(x﹣ ). 【思路引导】(1)将−7x拆分为−x−6x,分组后第一组提取公因式后再利用平方差公式分解,第二组利用 提取公因式法分解,然后整体提取公因式法分解后,再利用十字相乘法分解,可得出答案; (2)直接利用十字相乘法分解因式,再利用平方差公式得出答案. 28.(2021八上·内江期中)定义:对任意一个两位数a,如果a满足个位数字与十位数字互不相同,且 都不为零,那么称这个两位数为“湘一数”.将一个“湘一数”的个位数字与十位数字对调后得到一个新 的两位数,把这个两位数与原两位数的和与11的商记为 .例如:a=23,对调个位数字与十位数字 得到新两位数32,新两位数与原两位数的和为23+32=55,和与11的商为55÷11=5,所以 . 根据以上定义,回答下列问题: (1)填空:①下列两位数:50、42,33中,“湘一数”为 ;②计算: . (2)如果一个“湘一数”b的十位数字是k,个位数字是 ,且 ,请求出“湘一 数”b;(3)如果一个“湘一数”c,满足 ,求满足条件的c的值. 【答案】(1)42;9 (2)解:设任意一个“湘一数”的十位上的数字是m,个位上的数字是n, 则f(10m+n)=(10m+n+10n+m)÷11=m+n. 又∵一个“湘一数”b的十位数字是k,个位数字是2(k+1),且f(b)=11, ∴k+2(k+1)=11,解得k=3. ∴b=10k+2(k+1)=12k+2=12×3+2=38. (3)解:设c的十位上的数字是x,个位上的数字是y, ∵c−5f(c)>30, ∴10x+y−5(x+y)>30, ∴5x>30+4y, ∵y≥1, ∴5x>34,即x>6.8, ∵x为整数, ∴x可取7,8,9, 当x=7时,y=1,c=71; 当x=8时,y=1或2,c=81或82; 当x=9时,y=1或2或3,c=91或92或93; 综上,满足条件的c的值为:71,81,82,91,92,93. 【完整解答】解:(1)①由“湘一数”的定义可得,“湘一数”为42. 故答案为:42; ②f(45)=(45+54)÷11=9. 故答案为:9; 【思路引导】(1)由“湘一数”的定义进行求解即可; (2) 设任意一个“湘一数”的十位上的数字是m,个位上的数字是n,由f(10m+n)=m+n,得k+2 (k+1)=11, 求出k值,即可求b; (3)设c的十位上的数字是x,个位上的数字是y, 根据 c−5f(c)>30列出不等式,从而求出x的范 围,再求出x的整数解即可求出c值. 29.已知a、b、c是△ABC的三边长,且a2+2b2+c2﹣2b(a+c)=0,试判断△ABC的形状,并证明你的结论.【答案】解:△ABC是等边三角形, 理由:∵a2+2b2+c2﹣2b(a+c)=0 ∴a2+b2+c2﹣2ba﹣2bc+b2=0, ∴(a﹣b)2+(b﹣c)2=0, 则a=b,b=c, 故a=b=c, 则△ABC是等边三角形. 【思路引导】 △ABC是等边三角形, 理由:利用分组分解法将原式变形为(a﹣b)2+(b﹣c)2=0,根据 偶次幂的非负性,可得a=b=c,根据等边三角形的判定即得结论. 30.请认真观察图形,解答下列问题: (1)根据图中条件,用两种方法表示两个阴影图形的面积的和(只需表示,不必化简); (2)由(1),你能得到怎样的等量关系?请用等式表示; (3)如果图中的a,b(a>b)满足a2+b2=53,ab=14,求:①a+b的值;②a4-b4的值. 【答案】(1)解:两个阴影图形的面积和可表示为: a2+b2或 (a+b)2-2ab (2)解:a2+b2=(a+b)2-2ab (3)解:∵a,b(a>b)满足a2+b2=53,ab=14, ∴①(a+b)2=a2+b2+2ab =53+2×14=81 ∴a+b=±9, 又∵a>0,b>0,∴a+b=9.②∵a4-b4=(a2+b2)(a+b)(a-b), 且∴a-b=±5 又∵a>b>0, ∴a-b=5, ∴a4﹣b4=(a2+b2)(a+b)(a-b)=53×9×5=2385. 【思路引导】(1)第一种表示方法为:阴影部分的面积等于大正方形的面积减去两个长方形的面积即可, 即(a+b)2-2ab;第二种表示方法为:阴影部分的面积为两个正方形的面积之和,即a2+b2; (2)因为两种方法表示的为同一个阴影的面积即两种表示方法为相等的关系,即(a+b)2-2ab=a2+b2; (3)由(2)题中的等量关系即可求得a+b的值,再根据(2)题中的等量关系可以表示(a-b) 2+2ab=a2+b2,可求出a-b的值,将a4-b4进行因式分解,即可求出它的值。 31.常用的分解因式的方法有提取公因式法、公式法及十字相乘法,但有更多的多项式只用上述方法就无 法分解,如x2-4y2-2x+4y,我们细心观察这个式子就会发现,前两项符合平方差公式,后两项可提取公 因式,前后两部分分别分解因式后会产生公因式,然后提取公因式就可以完成整个式子的分解因式了.过 程为:x2-4y2-2x+4y=(x+2y)(x-2y)-2(x-2y)=(x-2y)(x+2y-2). 这种分解因式的方法叫分组分解法.利用这种方法解决下列问题: (1)分解因式x2-2xy+y2-16; (2)△ABC三边a,b,c 满足a2-ab-ac+bc=0,判断△ABC的形状. 【答案】(1)解:x2-2xy+y2-16 =(x-y)2-42 =(x-y+4)(x-y-4) (2)解:∵a2-ab-ac+bc=0 ∴a(a-b)-c(a-b)=0, ∴(a-b)(a-c)=0, ∴a=b或a=c, ∴△ABC的形状是等腰三角形或等边三角形 【思路引导】(1)由题干中的分组分解法可知,将前三项运用完全平方公式进行因式分解,x2-2xy+y2=(x- y)2,再运用平方差公式即可将(x-y)2-16进行因式分解。 (2)同样也用分组分解法,先将a2、-ab和-ac、bc分成两组,通过提公因式法将a2、-ab和-ac、bc的公 因式分别提取出来,然后再次运用提公因式法将(a-b)提取即可进行因式分解,然后判定三角形ABC的形状。