当前位置:首页>文档>易错08一元一次不等式(组)中含参数问题易错(解析版)-八年级数学下册期末突破易错挑战满分(北师大版)_北师大初中数学_8下-北师大版初中数学_旧版-可参考_06专项讲练

易错08一元一次不等式(组)中含参数问题易错(解析版)-八年级数学下册期末突破易错挑战满分(北师大版)_北师大初中数学_8下-北师大版初中数学_旧版-可参考_06专项讲练

  • 2026-04-14 06:17:07 2026-04-14 03:34:54

文档预览

易错08一元一次不等式(组)中含参数问题易错(解析版)-八年级数学下册期末突破易错挑战满分(北师大版)_北师大初中数学_8下-北师大版初中数学_旧版-可参考_06专项讲练
易错08一元一次不等式(组)中含参数问题易错(解析版)-八年级数学下册期末突破易错挑战满分(北师大版)_北师大初中数学_8下-北师大版初中数学_旧版-可参考_06专项讲练
易错08一元一次不等式(组)中含参数问题易错(解析版)-八年级数学下册期末突破易错挑战满分(北师大版)_北师大初中数学_8下-北师大版初中数学_旧版-可参考_06专项讲练
易错08一元一次不等式(组)中含参数问题易错(解析版)-八年级数学下册期末突破易错挑战满分(北师大版)_北师大初中数学_8下-北师大版初中数学_旧版-可参考_06专项讲练
易错08一元一次不等式(组)中含参数问题易错(解析版)-八年级数学下册期末突破易错挑战满分(北师大版)_北师大初中数学_8下-北师大版初中数学_旧版-可参考_06专项讲练
易错08一元一次不等式(组)中含参数问题易错(解析版)-八年级数学下册期末突破易错挑战满分(北师大版)_北师大初中数学_8下-北师大版初中数学_旧版-可参考_06专项讲练
易错08一元一次不等式(组)中含参数问题易错(解析版)-八年级数学下册期末突破易错挑战满分(北师大版)_北师大初中数学_8下-北师大版初中数学_旧版-可参考_06专项讲练
易错08一元一次不等式(组)中含参数问题易错(解析版)-八年级数学下册期末突破易错挑战满分(北师大版)_北师大初中数学_8下-北师大版初中数学_旧版-可参考_06专项讲练
易错08一元一次不等式(组)中含参数问题易错(解析版)-八年级数学下册期末突破易错挑战满分(北师大版)_北师大初中数学_8下-北师大版初中数学_旧版-可参考_06专项讲练
易错08一元一次不等式(组)中含参数问题易错(解析版)-八年级数学下册期末突破易错挑战满分(北师大版)_北师大初中数学_8下-北师大版初中数学_旧版-可参考_06专项讲练
易错08一元一次不等式(组)中含参数问题易错(解析版)-八年级数学下册期末突破易错挑战满分(北师大版)_北师大初中数学_8下-北师大版初中数学_旧版-可参考_06专项讲练
易错08一元一次不等式(组)中含参数问题易错(解析版)-八年级数学下册期末突破易错挑战满分(北师大版)_北师大初中数学_8下-北师大版初中数学_旧版-可参考_06专项讲练
易错08一元一次不等式(组)中含参数问题易错(解析版)-八年级数学下册期末突破易错挑战满分(北师大版)_北师大初中数学_8下-北师大版初中数学_旧版-可参考_06专项讲练
易错08一元一次不等式(组)中含参数问题易错(解析版)-八年级数学下册期末突破易错挑战满分(北师大版)_北师大初中数学_8下-北师大版初中数学_旧版-可参考_06专项讲练
易错08一元一次不等式(组)中含参数问题易错(解析版)-八年级数学下册期末突破易错挑战满分(北师大版)_北师大初中数学_8下-北师大版初中数学_旧版-可参考_06专项讲练
易错08一元一次不等式(组)中含参数问题易错(解析版)-八年级数学下册期末突破易错挑战满分(北师大版)_北师大初中数学_8下-北师大版初中数学_旧版-可参考_06专项讲练
易错08一元一次不等式(组)中含参数问题易错(解析版)-八年级数学下册期末突破易错挑战满分(北师大版)_北师大初中数学_8下-北师大版初中数学_旧版-可参考_06专项讲练
易错08一元一次不等式(组)中含参数问题易错(解析版)-八年级数学下册期末突破易错挑战满分(北师大版)_北师大初中数学_8下-北师大版初中数学_旧版-可参考_06专项讲练
易错08一元一次不等式(组)中含参数问题易错(解析版)-八年级数学下册期末突破易错挑战满分(北师大版)_北师大初中数学_8下-北师大版初中数学_旧版-可参考_06专项讲练
易错08一元一次不等式(组)中含参数问题易错(解析版)-八年级数学下册期末突破易错挑战满分(北师大版)_北师大初中数学_8下-北师大版初中数学_旧版-可参考_06专项讲练
易错08一元一次不等式(组)中含参数问题易错(解析版)-八年级数学下册期末突破易错挑战满分(北师大版)_北师大初中数学_8下-北师大版初中数学_旧版-可参考_06专项讲练
易错08一元一次不等式(组)中含参数问题易错(解析版)-八年级数学下册期末突破易错挑战满分(北师大版)_北师大初中数学_8下-北师大版初中数学_旧版-可参考_06专项讲练

文档信息

文档格式
docx
文档大小
0.287 MB
文档页数
18 页
上传时间
2026-04-14 03:34:54

文档内容

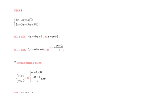
2020-2021 学年八年级数学下册期末突破易错挑战满分(北师大版) 易错08 一元一次不等式(组)中含参数问题易错 【典型例题】 1.(2020·安徽合肥市·七年级月考)关于x,y的方程组 的解都是非正数,求m的取值范围. 【答案】 , 由① ②得: ,即 , 由① ②得: ,即 , 此方程组的解都是非正数, ,即 , 解得 . 【点睛】 本题考查了利用加减消元法解二元一次方程组、解一元一次不等式组,熟练掌握方程组和不等式组的解法是解题关键.【专题训练】 一、选择题 1.(2020·浙江宁波市·八年级期中)若关于x的方程 的解是正数,则a的取值范围是( ) A. B. C.a为任何实数 D.a为大于0的数 【答案】A 【点睛】 本题考查一元一次不等式与一元一次方程的综合运用,正确理解一元一次方程解的意义及熟练求解一元一次不等式是解题关 键. 2.(2021·全国八年级)若实数3是不等式 的一个解,则 可取的最小整数为( ) A.2 B.3 C.4 D.5 【答案】D 【点睛】 此题考查不等式的解的定义,解一元一次不等式,正确理解不等式的解的定义将x=3代入得到关于a的不等式是解题的关键.3.(2021·全国八年级)已知关于x的方程: 的解是非正整数,则符合条件的所有整数a的值有( )种. A.3 B.2 C.1 D.0 【答案】A 【点睛】 本题考查了一元一次方程的解法及解不等式,根据方程的解为非正整数列出关于a的不等式是解题的关键. 4.(2021·广西北海市·八年级期末)若不等式组 无解,则 的取值范围为( ) A. B. C. D. 【答案】D 【点睛】 此题考查了解一元一次不等式组,熟练掌握不等式组的解法是解本题的关键. 5.(2021·湖南娄底市·八年级期末)如果不等式 的解集是 ,那么 的取值范围是( ) A. B. C. D. 【答案】D 【点睛】 本题考查了解一元一次不等式,由不等号方向改变,得出未知数的系数小于0是解题的关键.6.(2021·渝中区·重庆巴蜀中学八年级期末)若关于x、y的二元一次方程组 的解为非负数,且a使 得一次函数 图象不过第四象限,那么所有符合条件的整数a的个数是( ) A.2 B.3 C.4 D.5 【答案】C 【点睛】 本题考查了一次函数的性质,解二元一次方程组,解不等式组,解题的关键是掌握运算法则,正确求出a的取值范围. 7.(2020·大庆市万宝学校八年级期末)如果关于x的不等式组 的解集为x≥1,且关于x的方程 有非负整数解,则所有符合条件的整数m的值有( )个. A.2个 B.3个 C.4个 D.5个 【答案】A 【点睛】 本题考查一元一次不等式组的整数解,熟练掌握不等式组的解法是解本题的关键. 8.(2021·沙坪坝区·重庆南开中学八年级期末)已知一次函数 经过第一、二、三象限,且关于 的不等式组 恰有 4 个整数解,则所有满足条件的整数 的值的和为( ) A.9 B.11 C.15 D.18 【答案】A 【点睛】 本题考查一次函数的性质、一元一次不等式组的整数解,解答本题的关键是明确题意,利用一次函数的性质和不等式的性质 解答. 二、填空题 9.(2020·浙江嘉兴市·八年级期末)若关于x的一元一次不等式 只有3个负整数解,则a的取值范围是_________. 【答案】 【点睛】 本题主要考查根据不等式解的个数求参数,理解负整数解的概念是解题的关键. 10.(2021·全国八年级)已知关于x的不等式 的整数解共有3个,则m的取值范围为_____________. 【答案】 【点睛】 本题考查了解不等式,难度较低,主要考查学生对不等式组知识点的掌握.整理出x的取值范围分析整数解情况为解题关键. 11.(2020·四川成都市·八年级期中)若关于 的不等式 的解集如图所示,则常数 __________.【答案】5 【点睛】 本题考查在数轴上表示一元一次不等式的解集,熟知实心圆点与空心圆点的区别是解题关键. 12.(2021·全国八年级)若 的解集为 ,则 的取值范围是________. 【答案】 . 【点睛】 本题考查了不等式的性质:不等式的两边都乘以或除以同一个正数,不等号的方向不变. 13.(2021·湖南益阳市·八年级期末)若关于 的不等式组 无解, 则的取值范围为___________. 【答案】 【点睛】 此题主要考查了解不等式组,根据求不等式的无解,遵循“大大小小解不了”原则,得出关于a不等式是解题关键. 14.(2020·浙江金华市·八年级期末)已知关于x的不等式组 的整数解共有3个,则a的取值范围是 ___________. 【答案】2<a≤3.【点睛】 本题考查了解一元一次不等式组,不等式组的整数解的应用,解此题的关键是能根据不等式组的整数解和已知得出关于a的 不等式组. 15.(2020·浙江绍兴市·八年级其他模拟)关于x的不等式组 的解是 ,那么a的取值范围是 ______. 【答案】a≥3 【点睛】 本题考查了解一元一次不等式组:解一元一次不等式组时,一般先求出其中各不等式的解集,再求出这些解集的公共部分, 利用数轴可以直观地表示不等式组的解集.解集的规律:同大取大;同小取小;大小小大中间找;大大小小找不到. 16.(2021·四川成都市·八年级期末)若关于x、y的二元一次方程组 的解满足 ,则a的取值 范围为________. 【答案】 . 【点睛】 本题考查了解二元一次方程组,以及解一元一次不等式,解题的关键是掌握运算法则,正确得到 . 三、解答题 17.(2020·江苏苏州市·苏州草桥中学七年级月考)若关于 的方程 的解不小于 ,求的取值范围. 【答案】 解:解方程 得 由题意得 解得 所以m的取值范围为 . 【点睛】 本题主要考查了解一元一次方程和解不等式组,掌握一元一次方程和一元一次不等式组的解法成为解答本题的关键. 18.(2016·浙江湖州市·七年级期中)m取何值时,关于x的方程 的解大于1. 【答案】 解:方程去分母得:x-2(6m-1)=6x-3(5m-1), 去括号得:x-12m+2=6x-15m+3, 解得:x= , 根据题意得: ,即3m-1>5, 解得:m>2.【点睛】 此题考查了解一元一次不等式,其步骤为:去分母,去括号,移项合并,将x系数化为1,求出解集. 19.(2020·鄱阳县第二中学八年级月考)已知,关于x的不等式(2a-b)x+a-5b>0的解集为x< . (1)求 的值. (2)求关于x的不等式ax>b 的解集. 【答案】 (1)不等式 可变形为 , 此不等式的解集为 , , 则解不等式 得: , , 整理得: , 解得 ;(2)由(1)可知, , , 则 ,解得 , 故关于x的不等式 的解集 ,即 . 【点睛】 本题考查了解一元一次不等式,熟练掌握不等式的解法是解题关键. 20.(2020·江苏苏州市·西附初中七年级月考)(1)关于 的方程 与方程 的解互为 倒数,求 的值. (2)已知关于 的方程 的解适合不等式 ,求 的取值范围. 【答案】 解:(1) 解方程得: , 两个方程解是互为倒数, 另一个解为: ,将 代入方程 , 得: , 解得: . 故 的值为 . (2) , 方程 的解适合不等式 , 将 代入 ,得:故 的取值范围为: . 【点睛】 本题考查了倒数,一元一次方程的解和解一元一次方程,方程和不等式的综合题,正确求出方程的解是解题的关键. 21.(2020·四川巴中市·七年级期末)已知方程组 的解满足条件 , ,求 的取值范围. 【答案】 ②×2-①得: , 把 代入②得: , ∵ , ,∴ , 解得: . 【点睛】 本题主要考查了二元一次方程组和一元一次不等式组,关键是用含m的式子表示出x、y. 22.(2020·江西景德镇市·景德镇一中七年级期中)已知关于 的不等式组 的所有整数解的和为 , 求 的取值范围 【答案】 解: , ∵解不等式①得:x> , 解不等式②得:x≤4, ∴不等式组的解集为 <x≤4, ∵关于x的不等式组 的所有整数解的和为7, ∴当 >0时,这两个整数解一定是3和4,∴2≤ <3, ∴7≤a<9, 当 <0时,-3≤ <−2, ∴-3≤a<-1, ∴a的取值范围是7≤a<9或-3≤a<-1. 故答案为:7≤a<9或-3≤a<-1. 【点睛】 本题考查了解一元一次不等式组和不等式组的整数解,能得出关于a的不等式组是解此题的关键. 23.(2020·浙江杭州市·杭州英特外国语学校八年级期中)点 满足 . (1)当 时,求P点的坐标; (2)点 的坐标满足不等式组 ,求出整数 的所有值之和. 【答案】 解:(1)a=1代入方程组 ① ,得:③-②,得: 系数化为1,得: 代入①,得: 则 因此,P点坐标为 (2) ① ,得: ③-②,得: 系数化为一,得: 代入①,得: 则将x、y代入不等式组 由不等式④得: 由不等式⑤得: 综合得: 则a的整数解为-1、0、1、2、3, a的整数解的和为-1+0+1+2+3=5 【点睛】 本题考查解二元一次方程组,解不等式组等知识点,熟练掌握二元一次方程组的解法,会用参数表示方程组的解,以及会取 不等式解集的整数解是解题的关键. 24.(2020·义乌市绣湖中学教育集团八年级期中)已知点 的坐标满足方程组 且点 在第四象限. (1)请用含 的代数式表示 ; (2)请求出 的取值范围. 【答案】解:(1)由 ,可得: ①+②可得: ; (2)由(1)得: , ∴把 代入①可得: ,解得: , ∵点 在第四象限, ∴ ,解得: . 【点睛】 本题主要考查平面直角坐标系的概念及一元一次不等式组的解法,熟练掌握平面直角坐标系的概念及一元一次不等式组的解 法是解题的关键. 25.(2021·全国九年级专题练习)已知关于 、 的二元一次方程组 , (1)若方程组的解满足 ,求 的值; (2)若方程组的解满足 ,求 的取值范围. 【答案】(1)① ②可得: , , , . (2)② ①可得: , , , . 【点睛】 本题主要考查方程组及不等式式,掌握解方程组和不等式的方法是解题的关键.