当前位置:首页>文档>第六章平行四边形B卷压轴题考点训练(解析版)(北师大版,成都专用)_北师大初中数学_8下-北师大版初中数学_旧版-可参考_06专项讲练

第六章平行四边形B卷压轴题考点训练(解析版)(北师大版,成都专用)_北师大初中数学_8下-北师大版初中数学_旧版-可参考_06专项讲练

  • 2026-05-06 01:15:15 2026-04-14 23:17:38

文档预览

第六章平行四边形B卷压轴题考点训练(解析版)(北师大版,成都专用)_北师大初中数学_8下-北师大版初中数学_旧版-可参考_06专项讲练
第六章平行四边形B卷压轴题考点训练(解析版)(北师大版,成都专用)_北师大初中数学_8下-北师大版初中数学_旧版-可参考_06专项讲练
第六章平行四边形B卷压轴题考点训练(解析版)(北师大版,成都专用)_北师大初中数学_8下-北师大版初中数学_旧版-可参考_06专项讲练
第六章平行四边形B卷压轴题考点训练(解析版)(北师大版,成都专用)_北师大初中数学_8下-北师大版初中数学_旧版-可参考_06专项讲练
第六章平行四边形B卷压轴题考点训练(解析版)(北师大版,成都专用)_北师大初中数学_8下-北师大版初中数学_旧版-可参考_06专项讲练
第六章平行四边形B卷压轴题考点训练(解析版)(北师大版,成都专用)_北师大初中数学_8下-北师大版初中数学_旧版-可参考_06专项讲练
第六章平行四边形B卷压轴题考点训练(解析版)(北师大版,成都专用)_北师大初中数学_8下-北师大版初中数学_旧版-可参考_06专项讲练
第六章平行四边形B卷压轴题考点训练(解析版)(北师大版,成都专用)_北师大初中数学_8下-北师大版初中数学_旧版-可参考_06专项讲练
第六章平行四边形B卷压轴题考点训练(解析版)(北师大版,成都专用)_北师大初中数学_8下-北师大版初中数学_旧版-可参考_06专项讲练
第六章平行四边形B卷压轴题考点训练(解析版)(北师大版,成都专用)_北师大初中数学_8下-北师大版初中数学_旧版-可参考_06专项讲练
第六章平行四边形B卷压轴题考点训练(解析版)(北师大版,成都专用)_北师大初中数学_8下-北师大版初中数学_旧版-可参考_06专项讲练
第六章平行四边形B卷压轴题考点训练(解析版)(北师大版,成都专用)_北师大初中数学_8下-北师大版初中数学_旧版-可参考_06专项讲练
第六章平行四边形B卷压轴题考点训练(解析版)(北师大版,成都专用)_北师大初中数学_8下-北师大版初中数学_旧版-可参考_06专项讲练
第六章平行四边形B卷压轴题考点训练(解析版)(北师大版,成都专用)_北师大初中数学_8下-北师大版初中数学_旧版-可参考_06专项讲练
第六章平行四边形B卷压轴题考点训练(解析版)(北师大版,成都专用)_北师大初中数学_8下-北师大版初中数学_旧版-可参考_06专项讲练
第六章平行四边形B卷压轴题考点训练(解析版)(北师大版,成都专用)_北师大初中数学_8下-北师大版初中数学_旧版-可参考_06专项讲练
第六章平行四边形B卷压轴题考点训练(解析版)(北师大版,成都专用)_北师大初中数学_8下-北师大版初中数学_旧版-可参考_06专项讲练
第六章平行四边形B卷压轴题考点训练(解析版)(北师大版,成都专用)_北师大初中数学_8下-北师大版初中数学_旧版-可参考_06专项讲练
第六章平行四边形B卷压轴题考点训练(解析版)(北师大版,成都专用)_北师大初中数学_8下-北师大版初中数学_旧版-可参考_06专项讲练
第六章平行四边形B卷压轴题考点训练(解析版)(北师大版,成都专用)_北师大初中数学_8下-北师大版初中数学_旧版-可参考_06专项讲练
第六章平行四边形B卷压轴题考点训练(解析版)(北师大版,成都专用)_北师大初中数学_8下-北师大版初中数学_旧版-可参考_06专项讲练
第六章平行四边形B卷压轴题考点训练(解析版)(北师大版,成都专用)_北师大初中数学_8下-北师大版初中数学_旧版-可参考_06专项讲练
第六章平行四边形B卷压轴题考点训练(解析版)(北师大版,成都专用)_北师大初中数学_8下-北师大版初中数学_旧版-可参考_06专项讲练
第六章平行四边形B卷压轴题考点训练(解析版)(北师大版,成都专用)_北师大初中数学_8下-北师大版初中数学_旧版-可参考_06专项讲练
第六章平行四边形B卷压轴题考点训练(解析版)(北师大版,成都专用)_北师大初中数学_8下-北师大版初中数学_旧版-可参考_06专项讲练
第六章平行四边形B卷压轴题考点训练(解析版)(北师大版,成都专用)_北师大初中数学_8下-北师大版初中数学_旧版-可参考_06专项讲练
第六章平行四边形B卷压轴题考点训练(解析版)(北师大版,成都专用)_北师大初中数学_8下-北师大版初中数学_旧版-可参考_06专项讲练
第六章平行四边形B卷压轴题考点训练(解析版)(北师大版,成都专用)_北师大初中数学_8下-北师大版初中数学_旧版-可参考_06专项讲练
第六章平行四边形B卷压轴题考点训练(解析版)(北师大版,成都专用)_北师大初中数学_8下-北师大版初中数学_旧版-可参考_06专项讲练
第六章平行四边形B卷压轴题考点训练(解析版)(北师大版,成都专用)_北师大初中数学_8下-北师大版初中数学_旧版-可参考_06专项讲练
第六章平行四边形B卷压轴题考点训练(解析版)(北师大版,成都专用)_北师大初中数学_8下-北师大版初中数学_旧版-可参考_06专项讲练
第六章平行四边形B卷压轴题考点训练(解析版)(北师大版,成都专用)_北师大初中数学_8下-北师大版初中数学_旧版-可参考_06专项讲练
第六章平行四边形B卷压轴题考点训练(解析版)(北师大版,成都专用)_北师大初中数学_8下-北师大版初中数学_旧版-可参考_06专项讲练

文档信息

文档格式
docx
文档大小
1.937 MB
文档页数
29 页
上传时间
2026-04-14 23:17:38

文档内容

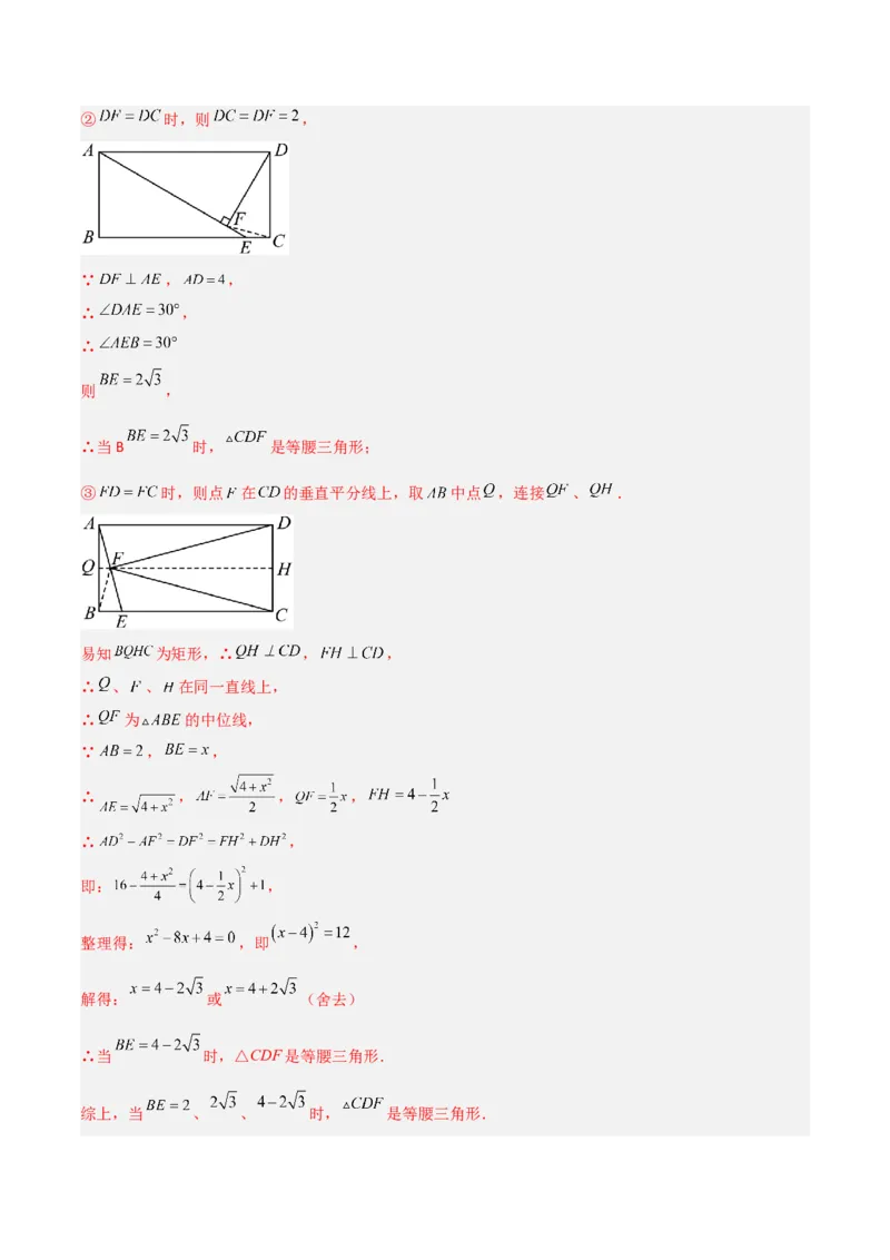
第六章 平行四边形B卷压轴题考点训练 1.如图,在 中, 是中线, 是边上一动点,将 沿 折叠 得到 ,若点 (不与点 重合)在 的角平分线上,则 的长为 _____. 【答案】 或 【详解】解:如图1,当 点在 的角平分线上时,连接 , , , 由折叠可知, , 是中线, , , , , ∴ 是 的中点, ∵ , , , ∵ 是 的中点, ∴ , 在 中, ,, ; 如图2,当 点在 的角平分线上时,连接 由折叠知, , , , , , , ; 综上所述: 的长为 或 , 故答案为: 或 . 2.如图,平行四边形 中, , , ,P为边 上的一动点,则 的最小值等于______.【答案】 【详解】如图,过点P作 ,垂足为Q, ∵四边形 是平行四边形, ∴ , ∴ , ∴ , ∴ , ∴ , ∴当点C、P、Q三点共线时 有最小值,且为 的长, ∴此时 . ∵ , ∴ , ∴ , ∴ , ∴ 的最小值为 . 故答案为: .3.如图,在平行四边形 中, , , ,点F、点N分别为 的中点,点 E在边 上运动,将 沿 折叠,使得点D落在 处,连接 ,点M为 中点,则 的最 小值是________. 【答案】 【详解】如下图,连接 , . ∵点N为 的中点,点M为 中点, ∴ , ∴当 最小时, 最小. ∵点F为 的中点, ∴ . 由折叠的性质可知 , ∴点 在以F为圆心,以 为半径的圆上运动,且点 在平行四边形 内. ∵ , ∴当 共线时, 最小,即为 的值. 过点F作 ,如下图. ∵四边形 为平行四边形, ,∴ , ∴ , ∴ , , ∴ , ∴ , ∴ , ∴ 的最小值为 . 4.已知在 中, , ,点 , 分别在直角边 和 上运动, , 当点 到达点 时,点 停止运动,点 为 的中点,则 的最小值为________. 【答案】 【详解】解:如图,取 的中点, , 的中点 ,连接 , ∴ , ∵ , , ∴ , , , ∴ , ,∴ , , 根据题意可得,当 在 点时, 在 点,点 与点 重合, 当 在 点时, 在 点,点 与点 重合, ∴当 在 上运动时, 在 上运动,当 时,取得最小值, 在 中, , ∴ , 故答案为: . 5.如图,在矩形 中, ,E是 边上的一个动点,连接 ,过点D作 于 F,连接 ,当 为等腰三角形时,则 的长是______. 【答案】2或 或 【详解】解:① 时,过点 作 ,垂足为点 . ∴ 为 的中点, 则 , ,取 为 的中点, ∴ , 为 的中位线,即 , ∴ 、 、 三点在一条线上,即 , ∵ , , ∴四边形 是平行四边形, ∴ , ∴当 时, 是等腰三角形;② 时,则 , ∵ , , ∴ , ∴ 则 , ∴当B 时, 是等腰三角形; ③ 时,则点 在 的垂直平分线上,取 中点 ,连接 、 . 易知 为矩形,∴ , , ∴ 、 、 在同一直线上, ∴ 为 的中位线, ∵ , , ∴ , , , ∴ , 即: , 整理得: ,即 , 解得: 或 (舍去) ∴当 时,△CDF是等腰三角形. 综上,当 、 、 时, 是等腰三角形.故答案为:2或 或 . 6.在 中, ,D为 形内一点,以 为腰作等腰 ,使 ,连接 ,若 分别是 的中点, ,则 的长为_______. 【答案】2 【详解】解:如图,连接 ,取 的中点F,连接 , ∵ , ∴ , 即 , 在 和 中, , ∴ , ∴ , ∵M是 的中点,F是 的中点, ∴ 是 的中位线, ∴ , ∴ , 同理得, , , , ∵ ,∴ , ∴ 是等边三角形, ∴ ,∴ .故答案为:2. 7.如图,在等腰直角三角形 中, , ,线段 在斜边 上运动,且 .连 接 , .则 周长的最小值是______. 【答案】 【详解】解:如图,作点 关于 的对称点 ,连接 、 ,过点 作 ,且点 在 上方, ,连接 交 于点 ,取 ,连接 , . , . , , ∴四边形 为平行四边形, . , , 三点共线, 此时 的周长 最小., ,即 , , 周长的最小值为: . 故答案为: . 8.如图, 中, , ,在 的同侧作正 、正 和正 ,则四边形 面积的最大值是______________. 【答案】 【详解】延长 交 于点 , ∵在正 和正 中, ∴ , ∵ , ∴ , ∴ , ∴ 平分 , 又∵ ,∴ , ∵ 和 都是等边三角形, ∴ , , , ∴ , ∴ , ∴ , 同理可得: ,∴ , ∴四边形 是平行四边形, ∴四边形 的面积 , 又∵ , 在 中,由勾股定理得: , ∴ ,∴ , 即四边形 面积的最大值为 , 故答案为: . 9.如图,在平行四边形ABCD中, , ,点H、G分别是边DC、BC上的动点,其中点H 不与点C重合,连接AH、HG,点E为AH的中点,点F为GH的中点,连接EF,则EF的最小值为 ______. 【答案】 【详解】如图,连接AG, 因为点E为AH的中点,点F为GH的中点, 所以EF= ,故EF的最小值,只有当AG取得最小值时,才能成立,AG的最小值为垂线段AG, 过点A作AM⊥BC,垂足为M, 因为 , , 所以BM=2, AM= , 故EF的最小值为 = 故答案为: . 10.如图,在平行四边形OABC中, 、 ,若 ,直线l经过D点并且把平行四边形 OABC的面积分成相等的两部分,则直线l的解析式是______. 【答案】 【详解】解:∵平行四边形OABC的顶点坐标分别为 , 、 , ∴ , ∵将平行四边形OABC的面积分成相等的两部分的直线一定过平行四边形OABC的对称中心Q,(对角线 的交点)且OQ=BQ∴平行四边形OABC的对称中心 , 设直线l的解析式为 , 把 , 代入, 得 ,解得 ∴该直线的函数表达式为 . 故答案为: . 11.如图,在△ABC中,AB=20,AC=9,点M为BC的中点,AD平分△ABC的外角∠CAE,交BC延长 线于点D,过点M作MN∥AD,交AB于点N,则AN的长为________. 【答案】 【详解】解:NA上截取NF=BN,连接CF,如图 ∵BM=MC,NF=BN, ∴MN CF, ∵ CF AD, 则∠AFC=∠EAD,∠ACF=∠DAC, ∵AD平分∠CAE, ∴∠DAC=∠EAD,∴∠ACF=∠AFC, ∴AF=AC=9, ∴BF=AB-AF=11, ∵MN是△BCF的中位线, ∴BN=NF= , ∴AN=NF+AF= . 12.如图1,在平面直角坐标系中,直线 与 轴交于点 ,与 轴交于点 ,且 , 满足: (1)求 的值; (2) 为 延长线上一动点,以 为直角边作等腰直角 ,连接 ,求直线 与 轴交点 的坐 标; (3)在(2)的条件下,当 时,在坐标平面内是否存在一点 ,使以 为顶点的四边形是平 行四边形,如果存在,直接写出点P的坐标,若不存在,说明理由. 【答案】(1)72 (2) (3)存在, 或 或 【详解】(1)解: ,解得 , , , , ; (2)解:如图1,过点E作 轴于M, , 是等腰直角三角形, , , , , 在 和 中, , , , , , , ,, ; (3)解:存在; , , , , 如图:设点P的坐标为 , 当以 为对角线时, 解得 此时,点 的坐标为 ; 当以 为对角线时, 解得此时,点 的坐标为 ; 当以 为对角线时, 解得 此时,点 的坐标为 ; 综上,点P的坐标为 或 或 . 13.探究题: (1)方法探索】小米遇到了这样的问题: 如图1,两条相等的线段 , 交于点 , , ,连接 , ,求证: . 小米的想法如下:通过构造平行四边形,利用平行四边形的性质转移线段的位置.以下是小米的部分证明 过程: 证明:过点 作 的平行线,过点 作 的平行线,两平行线交于点 ,连接 . 请将解题过程补充完整. (2)【方法应用】如图2,在梯形 中, ,延长 , 交于点 ,在 上截取 , 过点 作 交 于 ,则线段 、 、 的关系是______. (3)【解决问题】 如图3,正方形 边长为4, , , 在 上,且 .则四边形 周长的最小值是 ______. 【答案】(1)答案见解析(2) 且 (3) 【详解】(1)解:如图1 : , , 四边形 是平行四边形, , , , 是等边三角形, , 在 中, , ; (2)如图2:过点F作 交 的延长线于H,延长 交 于M, , , ,, 在 和 中, , , , , 四边形 是平行四边形, , , , 的关系是 且 ; (3) 如上图,连接 , 在 中, ,要求四边形 周长的最小 值,由于 是定值,所以只要 为最小值即可,把 平移到 与 交于点 ,作点 关于直线 的对称点 ,连接 与 交于点P, ,当 时, 为最小值,最小值为 的长度,过点E作 于F,则四边形 是矩形, , ,, , 在 中, , 四边形 周长的最小值为 . 14.如图1,线段 .点D为射线 上一动点,以 为边作菱形 使 ,且点E、F与点N在 的两侧,在线段 上取一点G,使 ,直线 与线段 相交于点H(点H与点M、N不重合),与 相交于点K. (1)求证: ; (2)探索 与 的数量关系,并说明理由; (3)如图2,若 ,在 上作一点P,使 . ①求证: ; ②求 的周长(用含m的代数式表示). 【答案】(1)见解析 (2) ,详见解析 (3)①见解析;② 【详解】(1)∵四边形 是菱形, ∴ 在 和 中,∴ (2) ,理由如下: ∵ ∴ , ∵ ∴ ∵ , ∴ ∴ ∴ ∴ (3)①∵ , , ∴ ∴ ②如图2,过点E作 交 于点Q ∵ , ∴四边形 是平行四边形, ∴ , ∵ ∴ ∴ 是等边三角形 ∴ ∵ ,∴ ∵ ∴ ∴ ∴ 的周长 ∴ 的周长为 . 15.平行四边形 中, , , 在 的延长线上, 在 上,连接 . (1)如图1,连接 ,若 , ,求 的面积; (2)如图2,将 绕着 逆时针旋转 ,连接 交 于点 ,若点 为 中点,求证: ; (3)如图3,在(2)的条件下,连接 、 ,取 中点 ,当 , 时,直接写出 的面积. 【答案】(1) (2)见详解 (3) 【详解】(1)解: 四边形 是平行四边形, , , , , , , ,; , , . (2) 证明:过 作 交 的延长线于点 ,过 作 交 于点 , , 是 的中点, , , 点 为 中点, 是 的中位线, ; 由(1)得, , , , , , , , ;将 绕着 逆时针旋转 , , , , 又 , , 在 和 中 , ≌ , , , , , , 即: , , 是等腰直角三角形, , 是等腰直角三角形, , , .(3) 解:连接 、 、 , 由(2)得: , , , , , , 点 为 中点, 四边形 是平行四边形, , , , , , 由(1)得: , , , 又 是 的中点, , 、 、 三点共线, , , 是直角三角形, , , 设 ,则有 , ,, , , , 在 中: , 即: , 解得: , , , , , , . 16.【问题原型】如图①,在 中,点D是 的中点,连接 , .求证: . 请补全证明过程. 证明:如图①,点D是 的中点(已知), ∴ (中点定义). ∵ (已知), ∴ (等量代换). ∴ ______, ______.(____________)(填推理依据) ∵ , ∴ , ∴ . 【结论应用】如图②, 中,点D是 的中点,连接 ,将 沿 翻折得到 ,连接 ,交 于点O,连接 .请判断 与 的位置关系,并说明理由. 【应用拓展】如图③,在 中, ,点E是边 的中点,连接 ,将 沿 翻折得到 ,连接 并延长,交 于点F.若 , , ,则 的长为______. 【答案】【问题原型】 ; ;等边对等角;【结论应用】 ;理由见解析【应用拓展】 【详解】证明:【问题原型】如图①,点D是 的中点(已知), ∴ (中点定义). ∵ (已知), ∴ (等量代换). ∴ , ,(等边对等角) ∵ , ∴ , ∴ ; 故答案为: ; ;等边对等角. 解:【结论应用】 ;理由如下: 根据折叠可知, , , ∴ , ∵点D是 的中点, ∴ , 根据【问题原型】中的结论可知, , ∴ , ∴ . 解:【应用拓展】过点D作 于点G,连接 交 于点O,如图所示:∵ , , ∴ , ∵ , ∴在 中,根据勾股定理可得: , ∵ 为 的中点, ∴ , ∴ , 根据勾股定理可得, , 根据折叠可知, , , ∴ , , ∴ , ∴ , ∴ , ∵四边形 为平行四边形, ∴ , ∴四边形 为平行四边形, ∴ , 故答案为: .