当前位置:首页>文档>信息必刷卷02(浙江专用)参考答案_02高考数学_2025年新高考资料_2025考前信息卷_2025年高考数学考前信息必刷卷(浙江专用)3430961

信息必刷卷02(浙江专用)参考答案_02高考数学_2025年新高考资料_2025考前信息卷_2025年高考数学考前信息必刷卷(浙江专用)3430961

  • 2026-04-15 00:26:10 2026-04-15 00:26:10

文档预览

信息必刷卷02(浙江专用)参考答案_02高考数学_2025年新高考资料_2025考前信息卷_2025年高考数学考前信息必刷卷(浙江专用)3430961
信息必刷卷02(浙江专用)参考答案_02高考数学_2025年新高考资料_2025考前信息卷_2025年高考数学考前信息必刷卷(浙江专用)3430961
信息必刷卷02(浙江专用)参考答案_02高考数学_2025年新高考资料_2025考前信息卷_2025年高考数学考前信息必刷卷(浙江专用)3430961
信息必刷卷02(浙江专用)参考答案_02高考数学_2025年新高考资料_2025考前信息卷_2025年高考数学考前信息必刷卷(浙江专用)3430961
信息必刷卷02(浙江专用)参考答案_02高考数学_2025年新高考资料_2025考前信息卷_2025年高考数学考前信息必刷卷(浙江专用)3430961
信息必刷卷02(浙江专用)参考答案_02高考数学_2025年新高考资料_2025考前信息卷_2025年高考数学考前信息必刷卷(浙江专用)3430961
信息必刷卷02(浙江专用)参考答案_02高考数学_2025年新高考资料_2025考前信息卷_2025年高考数学考前信息必刷卷(浙江专用)3430961
信息必刷卷02(浙江专用)参考答案_02高考数学_2025年新高考资料_2025考前信息卷_2025年高考数学考前信息必刷卷(浙江专用)3430961
信息必刷卷02(浙江专用)参考答案_02高考数学_2025年新高考资料_2025考前信息卷_2025年高考数学考前信息必刷卷(浙江专用)3430961
信息必刷卷02(浙江专用)参考答案_02高考数学_2025年新高考资料_2025考前信息卷_2025年高考数学考前信息必刷卷(浙江专用)3430961

文档信息

文档格式
docx
文档大小
0.358 MB
文档页数
6 页
上传时间
2026-04-15 00:26:10

文档内容

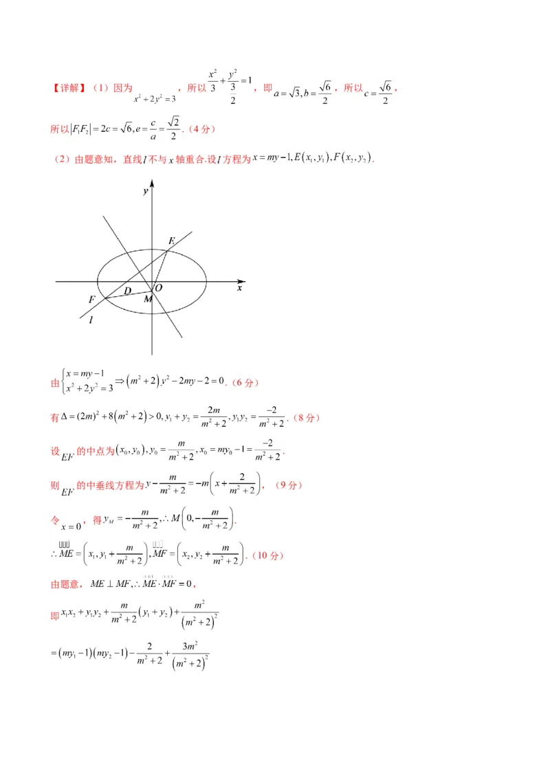
2025 年高考考前信息必刷卷 02(浙江专用) 数 学·参考答案 一、单项选择题:本题共8小题,每小题5分,共40分.在每小题给出的四个选项中,只有一项是符合题 目要求的. 1 2 3 4 5 6 7 8 B A B B A D C D 二、多项选择题:本题共3小题,每小题6分,共18分.在每小题给出的选项中,有多项符合题目要求, 全部选对的得6分,部分选对的得部分分,有选错的得0分. 9 10 11 ABC ACD ABC 三、填空题:本题共3小题,每小题5分,共15分. 12. 13. 0.36 14. / 四、解答题:本题共5小题,共77分.解答应写出文字说明、证明过程或演算步骤. 15.(13分) 【详解】(1)因为 ,由正弦定理得 ,因为 , 由余弦定理得: ,(4分) 又 ,所以 .(6分) (2)由 ,所以 , 由(1) ,所以 ,(8分) 1 因为 为 边上的中线,所以⃗CD= (⃗CA+⃗CB),(10分) 2 则 , . 故 边上的中线 的长为 .(13分)16.(15分) 【详解】(1)连接BD, 直四棱柱 中, ,则点F在平面 内, 因为 平面ABCD,且 平面ABCD,所以 , 又底面ABCD为正方形,所以 , 又 , 平面 ,所以 平面 , 平面 ,所以 ;(6分) (2)因为 平面ABCD,DA, 平面ABCD, 所以 , , 又底面ABCD为正方形,所以 , 建立空间直角坐标系 ,如图所示: 则 , , , 所以 , ,(9分) 设平面 的一个法向量为⃗n=(x,y,z),则 , 即 ,令 ,则 , ,所以 ;(12分) 因为 平面ABCD,所以 是平面ABCD的一个法向量; 设平面 与平面ABCD的夹角为 , 则 , 所以平面 与平面ABCD的夹角余弦值为 (15分) 17.(15分)【详解】(1)因为 ,所以 ,即 ,所以 , 所以 .(4分) (2)由题意知,直线 不与 轴重合.设 方程为 . 由 .(6分) 有 .(8分) 设 的中点为 . 则 的中垂线方程为 ,(9分) 令 ,得 . .(10分) 由题意, , 即, 的方程为 .(15分) 18.(17分) 【详解】(1) , 由题意曲线 在点 处的切线方程为 , 则 ,解得 ;(4分) (2) , , ,令 ( ),则 , 当 ,即 时, , 即 是(1,+∞)上的增函数, 因此 , 是增函数,所以 ,不合题意,舍去; 当 即 时, , 即 是(1,+∞)上的减函数, 所以 , 所以 是(1,+∞)上的减函数,从而 恒成立, 当 即 时, , 时, , 在 单调递增, 时, , 在 单调递减, 又 ,所以 时, 恒成立,即 恒成立, 此时 在 上单调递增,因此 ,与题意不合,舍去, 综上 .(10分)(3)由(2)知 时, ,即 ,从而 , 所以 ,又 , 所以 , 此不等式中分别令 得 , , , , 将这 个不等式相加得 .(17分) 19.(17分) 【详解】(1) , 因为 服从正态分布 , 所以 . 所以 ,所以 的数学期望为 .(4分) (2)①棋子开始在第 格为必然事件, . 第一次掷硬币出现正面,棋子移到第 格,其概率为 ,即 . 棋子移到第 格的情况是下列两种,而且也只有两种: 棋子先到第 格,又掷出反面,其概率为 ; 棋子先到第 格,又掷出正面,其概率为 , 所以 , 即 ,且 , 所以当 时,数列 是首项 ,公比为 的等比数列.(10分) ②由①知 , , ,, ,以上各式相加,得 , 所以 . 所以闯关成功的概率为 , 闯关失败的概率为 . , 所以该大学生闯关成功的概率大于闯关失败的概率.(17分)