当前位置:首页>文档>板块6第14单元训练40 战后资本主义国家的新变化和社会主义国家的发展与变化_07高考历史_2024年新高考资料_1.2024一轮复习_2024年高考历史一轮复习讲义(部编版)_学生版在此文件夹

板块6第14单元训练40 战后资本主义国家的新变化和社会主义国家的发展与变化_07高考历史_2024年新高考资料_1.2024一轮复习_2024年高考历史一轮复习讲义(部编版)_学生版在此文件夹

  • 2026-04-16 00:20:19 2026-04-16 00:17:32

文档预览

板块6第14单元训练40 战后资本主义国家的新变化和社会主义国家的发展与变化_07高考历史_2024年新高考资料_1.2024一轮复习_2024年高考历史一轮复习讲义(部编版)_学生版在此文件夹
板块6第14单元训练40 战后资本主义国家的新变化和社会主义国家的发展与变化_07高考历史_2024年新高考资料_1.2024一轮复习_2024年高考历史一轮复习讲义(部编版)_学生版在此文件夹
板块6第14单元训练40 战后资本主义国家的新变化和社会主义国家的发展与变化_07高考历史_2024年新高考资料_1.2024一轮复习_2024年高考历史一轮复习讲义(部编版)_学生版在此文件夹
板块6第14单元训练40 战后资本主义国家的新变化和社会主义国家的发展与变化_07高考历史_2024年新高考资料_1.2024一轮复习_2024年高考历史一轮复习讲义(部编版)_学生版在此文件夹
板块6第14单元训练40 战后资本主义国家的新变化和社会主义国家的发展与变化_07高考历史_2024年新高考资料_1.2024一轮复习_2024年高考历史一轮复习讲义(部编版)_学生版在此文件夹
板块6第14单元训练40 战后资本主义国家的新变化和社会主义国家的发展与变化_07高考历史_2024年新高考资料_1.2024一轮复习_2024年高考历史一轮复习讲义(部编版)_学生版在此文件夹
板块6第14单元训练40 战后资本主义国家的新变化和社会主义国家的发展与变化_07高考历史_2024年新高考资料_1.2024一轮复习_2024年高考历史一轮复习讲义(部编版)_学生版在此文件夹
板块6第14单元训练40 战后资本主义国家的新变化和社会主义国家的发展与变化_07高考历史_2024年新高考资料_1.2024一轮复习_2024年高考历史一轮复习讲义(部编版)_学生版在此文件夹
板块6第14单元训练40 战后资本主义国家的新变化和社会主义国家的发展与变化_07高考历史_2024年新高考资料_1.2024一轮复习_2024年高考历史一轮复习讲义(部编版)_学生版在此文件夹

文档信息

文档格式
docx
文档大小
0.477 MB
文档页数
5 页
上传时间
2026-04-16 00:17:32

文档内容

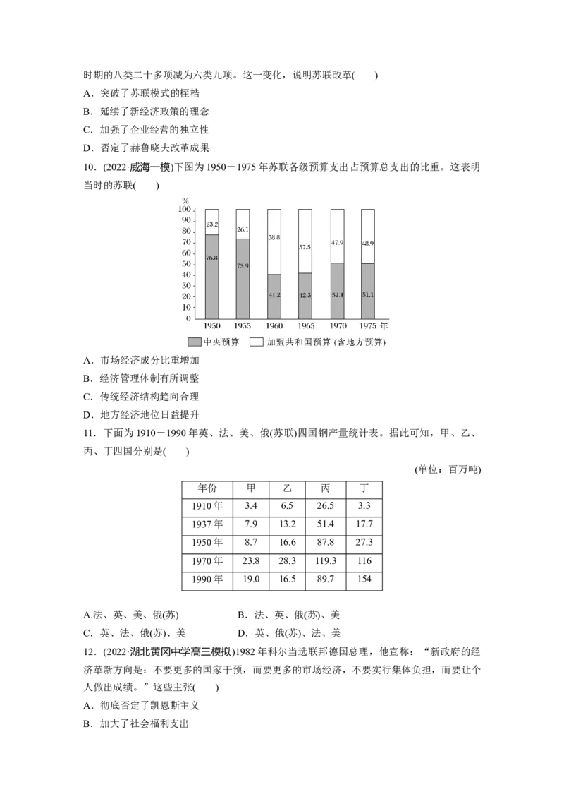
一、选择题(每题3分,共36分) 1.1956年戴高乐重新掌权后,实行独立自主外交政策。法国退出北约,与台湾断交,缓和 与苏联、中国的关系。积极发展“法德联盟”,坚决抵制英国加入欧共体。这表明( ) A.欧洲一体化向纵深发展 B.世界多极化趋势进一步加强 C.美国霸权地位不断衰落 D.西方资本主义阵营出现分化 2.(2022·汕头三模)1958年法国财政赤字高达12 000亿法郎,对外贸易出口萎缩,国内物价 急剧上涨,失业人数不断增加。为改变这一状况,法国政府采取的主要措施是( ) A.实行货币贬值并提高关税 B.接受马歇尔计划的援助 C.制定经济计划和扩大投资 D.逐步削减社会福利开支 3.(2023·福州质检)下图是1961年英国《卫报》上刊登的一幅漫画,画中象征英国的老人在 试水温。该漫画反映出当时英国( ) A.“滞胀”现象阻碍经济复苏 B.国力的衰退制约贸易理念 C.福利政策拖累国家发展 D.传统外交观束缚经济发展 4.(2022·沈阳模拟)二战后确立了以美元为中心的国际货币体系,即布雷顿森林体系。进入 20世纪70年代,一些西方国家要求美元贬值并兑换黄金,美国不予理睬。于是,德、意、 比、荷等国先后实行浮动汇率制。在此情况下,美国于 1971年宣布停止美元兑换黄金,布 雷顿森林体系瓦解。由此可知,布雷顿森林体系瓦解的主要原因是( ) A.资本主义政治经济发展不平衡 B.欧盟成立 C.西欧与美国的矛盾日益尖锐 D.美苏冷战5.(2022·石家庄期末)从1979年 10月到1988年底,英国共有27家国有企业全部或部分实 行私有化,政府由此取得近200亿英镑的股票变卖收入;私有化并未消除垄断,反而推动国 家垄断向私人垄断的转换。英国采取的这些措施( ) A.体现了国家干预的加强 B.侧重于缓和收入与分配的不平等 C.有助于缓解经济“滞胀” D.改变了资本主义生产资料所有制 6.20世纪70年代以来,比利时、卢森堡等国出现了一些新现象:医生决定少工作,回去 粉刷自家房子;意大利许多母亲宁愿待在家里而不是去工作并且雇用保姆。其主要原因是( ) A.政府大量增加福利支出 B.个人所得税税率的提高 C.欧洲移民数量逐渐增多 D.知识经济加剧就业压力 7.二战后初期的柏林,在美军交易商店,一名普通士兵可以用一美元买到两盒好彩烟。而 一名苏联士兵则要为此在黑市上付出100美元。一只卡通手表本来只要3.95美元,苏联人 买就要500美元。一部相机是14.95美元,苏联人可能要花多达1 000美元才能买到。该现 象从侧面反映出( ) A.苏联轻工业相当落后 B.美国商品更受苏联人欢迎 C.苏联人消费能力惊人 D.苏联对美国贸易逆差巨大 8.(2023·泰安模拟)下面为1953-1958年苏联粮食产量统计表。据此可知,当时苏联( ) 年份 苏联粮食产量 1953年 8 250万吨 1954年 8 560万吨 1955年 10 370万吨 1956年 12 500万吨 1957年 10 260万吨 1958年 13 470万吨 A.将改革重点放在农业领域 B.农业改革取得一定成效 C.改变了土地所有制形式 D.人民生活水平明显提高 9.(2022·荆州高三模拟)1965年,勃列日涅夫改革时,国家给企业下达的指标,由赫鲁晓夫时期的八类二十多项减为六类九项。这一变化,说明苏联改革( ) A.突破了苏联模式的桎梏 B.延续了新经济政策的理念 C.加强了企业经营的独立性 D.否定了赫鲁晓夫改革成果 10.(2022·威海一模)下图为1950-1975年苏联各级预算支出占预算总支出的比重。这表明 当时的苏联( ) A.市场经济成分比重增加 B.经济管理体制有所调整 C.传统经济结构趋向合理 D.地方经济地位日益提升 11.下面为1910-1990年英、法、美、俄(苏联)四国钢产量统计表。据此可知,甲、乙、 丙、丁四国分别是( ) (单位:百万吨) 年份 甲 乙 丙 丁 1910年 3.4 6.5 26.5 3.3 1937年 7.9 13.2 51.4 17.7 1950年 8.7 16.6 87.8 27.3 1970年 23.8 28.3 119.3 116 1990年 19.0 16.5 89.7 154 A.法、英、美、俄(苏) B.法、英、俄(苏)、美 C.英、法、俄(苏)、美 D.英、俄(苏)、法、美 12.(2022·湖北黄冈中学高三模拟)1982年科尔当选联邦德国总理,他宣称:“新政府的经 济革新方向是:不要更多的国家干预,而要更多的市场经济,不要实行集体负担,而要让个 人做出成绩。”这些主张( ) A.彻底否定了凯恩斯主义 B.加大了社会福利支出C.发挥了知识经济的作用 D.缓解了德国经济危机 二、非选择题(共29分) 13.(2022·青岛高三模拟)(14分)二战后,人类社会的交往与联系也发展到前所未有的高度。 阅读材料,回答问题。 材料 第二次世界大战后,除美国外的发达资本主义国家,都受到了战争的严重创伤,各国 均致力于医治战争的创伤,重建本国的经济。在恢复本国国民经济的过程中,各国都面临着 国际经济关系中3个亟待解决的问题:其一是在金融方面,重建国际货币制度,维持各国间 的稳定和国际收支平衡;其二是在国际投资方面,创立处理长期国际投资问题的国际组织; 其三是在贸易方面,重建国际贸易秩序,扭转贸易保护主义和歧视性贸易政策,促进国际贸 易自由化。——摘编自豆丁网 根据材料并结合所学知识,概括发达资本主义国家为解决二战后“面临着国际经济关系中3 个亟待解决的问题”所采取的重要举措,并简要说明其积极意义。 14.(2022·淮安模拟)(15分)计划机制是一种经济运行机制,最先在苏联广泛运用,后对资本 主义社会产生一定影响。阅读材料,完成下列要求。 材料一 经济活动完全在计划指导下运作,资金、劳动力等生产要素的配置完全按计划调配, 市场、价值规律等经济杠杆几乎不发生作用,国家直接干预经济生活,是经济活动的实际操 作者而非监护人。国家通过制订规划和实行规划掌握经济的全部命脉,其规划不仅涉及发展 全局,而且具体到各级生产部门乃至生产单位,计划渗透到国民经济的每一个细胞中。 ——摘编自钱乘旦《寰球透视:现代化的迷途》 材料二 “经济计划化”,对社会资本再生产进行综合性的调查,在一定程度上适应了资本 主义生产社会化的发展和经济结构调整的需要,对资本主义社会的生产无政府状态具有一定 的缓解作用,对协调和稳定经济具有重要意义。国家通过采购订货和刺激消费……保证了市 场的稳定和扩大;同时通过国内干预和国际联合,调整国际贸易和国际金融政策,降低关税 和减少非关税壁垒,促进贸易自由化,客观上不仅有利于扩大国内外市场,而且有助于提供 本国产品的国际竞争力,加快生产和资本的国际化进程。 ——摘编自梅宪宾《从“必然王国”到“自由王国”:马克思主义基本理论研究》 (1)据材料一概括苏联计划机制运行的特点,结合所学知识分析这一机制形成的原因。(6分)(2)有西方学者认为,随着资本主义国家“经济计划化”的到来,资本主义与社会主义制度 日益趋同。据材料二概括资本主义国家“经济计划化”的表现,并结合所学知识评析上述观 点。(9分)