当前位置:首页>文档>专题11功和功率及动能定理的理解与应用(解析版)_04高考物理_新高考复习资料_2024新高考复习资料_一轮复习资料_完2024届高考物理一轮复习热点题型归类训练

专题11功和功率及动能定理的理解与应用(解析版)_04高考物理_新高考复习资料_2024新高考复习资料_一轮复习资料_完2024届高考物理一轮复习热点题型归类训练

  • 2026-04-18 09:33:04 2026-04-18 09:33:04

文档预览

专题11功和功率及动能定理的理解与应用(解析版)_04高考物理_新高考复习资料_2024新高考复习资料_一轮复习资料_完2024届高考物理一轮复习热点题型归类训练
专题11功和功率及动能定理的理解与应用(解析版)_04高考物理_新高考复习资料_2024新高考复习资料_一轮复习资料_完2024届高考物理一轮复习热点题型归类训练
专题11功和功率及动能定理的理解与应用(解析版)_04高考物理_新高考复习资料_2024新高考复习资料_一轮复习资料_完2024届高考物理一轮复习热点题型归类训练
专题11功和功率及动能定理的理解与应用(解析版)_04高考物理_新高考复习资料_2024新高考复习资料_一轮复习资料_完2024届高考物理一轮复习热点题型归类训练
专题11功和功率及动能定理的理解与应用(解析版)_04高考物理_新高考复习资料_2024新高考复习资料_一轮复习资料_完2024届高考物理一轮复习热点题型归类训练
专题11功和功率及动能定理的理解与应用(解析版)_04高考物理_新高考复习资料_2024新高考复习资料_一轮复习资料_完2024届高考物理一轮复习热点题型归类训练
专题11功和功率及动能定理的理解与应用(解析版)_04高考物理_新高考复习资料_2024新高考复习资料_一轮复习资料_完2024届高考物理一轮复习热点题型归类训练
专题11功和功率及动能定理的理解与应用(解析版)_04高考物理_新高考复习资料_2024新高考复习资料_一轮复习资料_完2024届高考物理一轮复习热点题型归类训练
专题11功和功率及动能定理的理解与应用(解析版)_04高考物理_新高考复习资料_2024新高考复习资料_一轮复习资料_完2024届高考物理一轮复习热点题型归类训练
专题11功和功率及动能定理的理解与应用(解析版)_04高考物理_新高考复习资料_2024新高考复习资料_一轮复习资料_完2024届高考物理一轮复习热点题型归类训练
专题11功和功率及动能定理的理解与应用(解析版)_04高考物理_新高考复习资料_2024新高考复习资料_一轮复习资料_完2024届高考物理一轮复习热点题型归类训练
专题11功和功率及动能定理的理解与应用(解析版)_04高考物理_新高考复习资料_2024新高考复习资料_一轮复习资料_完2024届高考物理一轮复习热点题型归类训练
专题11功和功率及动能定理的理解与应用(解析版)_04高考物理_新高考复习资料_2024新高考复习资料_一轮复习资料_完2024届高考物理一轮复习热点题型归类训练
专题11功和功率及动能定理的理解与应用(解析版)_04高考物理_新高考复习资料_2024新高考复习资料_一轮复习资料_完2024届高考物理一轮复习热点题型归类训练
专题11功和功率及动能定理的理解与应用(解析版)_04高考物理_新高考复习资料_2024新高考复习资料_一轮复习资料_完2024届高考物理一轮复习热点题型归类训练
专题11功和功率及动能定理的理解与应用(解析版)_04高考物理_新高考复习资料_2024新高考复习资料_一轮复习资料_完2024届高考物理一轮复习热点题型归类训练
专题11功和功率及动能定理的理解与应用(解析版)_04高考物理_新高考复习资料_2024新高考复习资料_一轮复习资料_完2024届高考物理一轮复习热点题型归类训练
专题11功和功率及动能定理的理解与应用(解析版)_04高考物理_新高考复习资料_2024新高考复习资料_一轮复习资料_完2024届高考物理一轮复习热点题型归类训练
专题11功和功率及动能定理的理解与应用(解析版)_04高考物理_新高考复习资料_2024新高考复习资料_一轮复习资料_完2024届高考物理一轮复习热点题型归类训练
专题11功和功率及动能定理的理解与应用(解析版)_04高考物理_新高考复习资料_2024新高考复习资料_一轮复习资料_完2024届高考物理一轮复习热点题型归类训练
专题11功和功率及动能定理的理解与应用(解析版)_04高考物理_新高考复习资料_2024新高考复习资料_一轮复习资料_完2024届高考物理一轮复习热点题型归类训练
专题11功和功率及动能定理的理解与应用(解析版)_04高考物理_新高考复习资料_2024新高考复习资料_一轮复习资料_完2024届高考物理一轮复习热点题型归类训练
专题11功和功率及动能定理的理解与应用(解析版)_04高考物理_新高考复习资料_2024新高考复习资料_一轮复习资料_完2024届高考物理一轮复习热点题型归类训练
专题11功和功率及动能定理的理解与应用(解析版)_04高考物理_新高考复习资料_2024新高考复习资料_一轮复习资料_完2024届高考物理一轮复习热点题型归类训练
专题11功和功率及动能定理的理解与应用(解析版)_04高考物理_新高考复习资料_2024新高考复习资料_一轮复习资料_完2024届高考物理一轮复习热点题型归类训练
专题11功和功率及动能定理的理解与应用(解析版)_04高考物理_新高考复习资料_2024新高考复习资料_一轮复习资料_完2024届高考物理一轮复习热点题型归类训练
专题11功和功率及动能定理的理解与应用(解析版)_04高考物理_新高考复习资料_2024新高考复习资料_一轮复习资料_完2024届高考物理一轮复习热点题型归类训练
专题11功和功率及动能定理的理解与应用(解析版)_04高考物理_新高考复习资料_2024新高考复习资料_一轮复习资料_完2024届高考物理一轮复习热点题型归类训练
专题11功和功率及动能定理的理解与应用(解析版)_04高考物理_新高考复习资料_2024新高考复习资料_一轮复习资料_完2024届高考物理一轮复习热点题型归类训练
专题11功和功率及动能定理的理解与应用(解析版)_04高考物理_新高考复习资料_2024新高考复习资料_一轮复习资料_完2024届高考物理一轮复习热点题型归类训练
专题11功和功率及动能定理的理解与应用(解析版)_04高考物理_新高考复习资料_2024新高考复习资料_一轮复习资料_完2024届高考物理一轮复习热点题型归类训练
专题11功和功率及动能定理的理解与应用(解析版)_04高考物理_新高考复习资料_2024新高考复习资料_一轮复习资料_完2024届高考物理一轮复习热点题型归类训练
专题11功和功率及动能定理的理解与应用(解析版)_04高考物理_新高考复习资料_2024新高考复习资料_一轮复习资料_完2024届高考物理一轮复习热点题型归类训练
专题11功和功率及动能定理的理解与应用(解析版)_04高考物理_新高考复习资料_2024新高考复习资料_一轮复习资料_完2024届高考物理一轮复习热点题型归类训练
专题11功和功率及动能定理的理解与应用(解析版)_04高考物理_新高考复习资料_2024新高考复习资料_一轮复习资料_完2024届高考物理一轮复习热点题型归类训练
专题11功和功率及动能定理的理解与应用(解析版)_04高考物理_新高考复习资料_2024新高考复习资料_一轮复习资料_完2024届高考物理一轮复习热点题型归类训练
专题11功和功率及动能定理的理解与应用(解析版)_04高考物理_新高考复习资料_2024新高考复习资料_一轮复习资料_完2024届高考物理一轮复习热点题型归类训练
专题11功和功率及动能定理的理解与应用(解析版)_04高考物理_新高考复习资料_2024新高考复习资料_一轮复习资料_完2024届高考物理一轮复习热点题型归类训练
专题11功和功率及动能定理的理解与应用(解析版)_04高考物理_新高考复习资料_2024新高考复习资料_一轮复习资料_完2024届高考物理一轮复习热点题型归类训练
专题11功和功率及动能定理的理解与应用(解析版)_04高考物理_新高考复习资料_2024新高考复习资料_一轮复习资料_完2024届高考物理一轮复习热点题型归类训练
专题11功和功率及动能定理的理解与应用(解析版)_04高考物理_新高考复习资料_2024新高考复习资料_一轮复习资料_完2024届高考物理一轮复习热点题型归类训练
专题11功和功率及动能定理的理解与应用(解析版)_04高考物理_新高考复习资料_2024新高考复习资料_一轮复习资料_完2024届高考物理一轮复习热点题型归类训练
专题11功和功率及动能定理的理解与应用(解析版)_04高考物理_新高考复习资料_2024新高考复习资料_一轮复习资料_完2024届高考物理一轮复习热点题型归类训练
专题11功和功率及动能定理的理解与应用(解析版)_04高考物理_新高考复习资料_2024新高考复习资料_一轮复习资料_完2024届高考物理一轮复习热点题型归类训练
专题11功和功率及动能定理的理解与应用(解析版)_04高考物理_新高考复习资料_2024新高考复习资料_一轮复习资料_完2024届高考物理一轮复习热点题型归类训练
专题11功和功率及动能定理的理解与应用(解析版)_04高考物理_新高考复习资料_2024新高考复习资料_一轮复习资料_完2024届高考物理一轮复习热点题型归类训练
专题11功和功率及动能定理的理解与应用(解析版)_04高考物理_新高考复习资料_2024新高考复习资料_一轮复习资料_完2024届高考物理一轮复习热点题型归类训练
专题11功和功率及动能定理的理解与应用(解析版)_04高考物理_新高考复习资料_2024新高考复习资料_一轮复习资料_完2024届高考物理一轮复习热点题型归类训练
专题11功和功率及动能定理的理解与应用(解析版)_04高考物理_新高考复习资料_2024新高考复习资料_一轮复习资料_完2024届高考物理一轮复习热点题型归类训练
专题11功和功率及动能定理的理解与应用(解析版)_04高考物理_新高考复习资料_2024新高考复习资料_一轮复习资料_完2024届高考物理一轮复习热点题型归类训练
专题11功和功率及动能定理的理解与应用(解析版)_04高考物理_新高考复习资料_2024新高考复习资料_一轮复习资料_完2024届高考物理一轮复习热点题型归类训练
专题11功和功率及动能定理的理解与应用(解析版)_04高考物理_新高考复习资料_2024新高考复习资料_一轮复习资料_完2024届高考物理一轮复习热点题型归类训练
专题11功和功率及动能定理的理解与应用(解析版)_04高考物理_新高考复习资料_2024新高考复习资料_一轮复习资料_完2024届高考物理一轮复习热点题型归类训练
专题11功和功率及动能定理的理解与应用(解析版)_04高考物理_新高考复习资料_2024新高考复习资料_一轮复习资料_完2024届高考物理一轮复习热点题型归类训练
专题11功和功率及动能定理的理解与应用(解析版)_04高考物理_新高考复习资料_2024新高考复习资料_一轮复习资料_完2024届高考物理一轮复习热点题型归类训练
专题11功和功率及动能定理的理解与应用(解析版)_04高考物理_新高考复习资料_2024新高考复习资料_一轮复习资料_完2024届高考物理一轮复习热点题型归类训练
专题11功和功率及动能定理的理解与应用(解析版)_04高考物理_新高考复习资料_2024新高考复习资料_一轮复习资料_完2024届高考物理一轮复习热点题型归类训练
专题11功和功率及动能定理的理解与应用(解析版)_04高考物理_新高考复习资料_2024新高考复习资料_一轮复习资料_完2024届高考物理一轮复习热点题型归类训练
专题11功和功率及动能定理的理解与应用(解析版)_04高考物理_新高考复习资料_2024新高考复习资料_一轮复习资料_完2024届高考物理一轮复习热点题型归类训练
专题11功和功率及动能定理的理解与应用(解析版)_04高考物理_新高考复习资料_2024新高考复习资料_一轮复习资料_完2024届高考物理一轮复习热点题型归类训练

文档信息

文档格式
docx
文档大小
2.934 MB
文档页数
56 页
上传时间
2026-04-18 09:33:04

文档内容

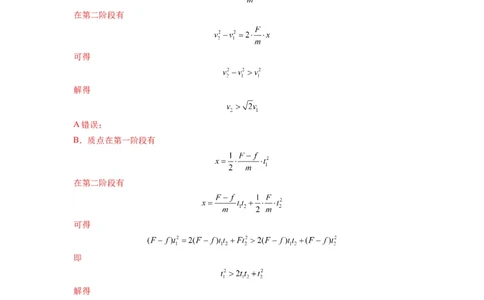
专题11 功和功率及动能定理的理解与应用 目录 题型一 恒力做功的分析和计算................................................................................................................................1 题型二 变力做功的分析和计算................................................................................................................................5 类型1 微元法计算变力做功.............................................................................................................................6 类型2 图像法计算变力做功.............................................................................................................................7 类型3 等效转换法求变力做功.......................................................................................................................10 类型4 平均力法求变力做功...........................................................................................................................11 类型5 应用动能定理求变力做功...................................................................................................................13 题型三 功率的分析和计算......................................................................................................................................16 类型1 功率的分析和计算...............................................................................................................................16 类型2 功率和功综合问题的分析和计算.......................................................................................................20 题型四 机车启动问题..............................................................................................................................................22 类型1 恒定功率启动.....................................................................................................................................23 类型2 恒加速度启动问题.............................................................................................................................28 题型五 动能定理的理解..........................................................................................................................................33 题型六 动能定理的基本应用..................................................................................................................................35 题型七 动能定理与图像的“数形结合”..............................................................................................................39 类型1 E-x(W-x)图像问题..........................................................................................................................39 k 类型2 F-x图像与动能定理的结合..............................................................................................................42 类型3 其他图像与动能定理的结合...............................................................................................................46 题型八 动能定理在多过程、往复运动问题中的应用..........................................................................................50 类型1 运用动能定理解决多过程问题.........................................................................................................50 类型2 动能定理在往复运动问题中的应用.................................................................................................55 题型一 恒力做功的分析和计算 【解题指导】1.判断力是否做功及做正、负功的方法 判断根据 适用情况 根据力和位移方向的夹角判断 常用于恒力做功的判断 根据力和瞬时速度方向的夹角判断 常用于质点做曲线运动 根据功能关系或能量守恒定律判断 常用于变力做功的判断 2.计算功的方法 (1)恒力做的功 直接用W=Flcos α计算或用动能定理计算。 (2)合力做的功 方法一:先求合力F ,再用W =F lcos α求功,尤其适用于已知质量m和加速度a的 合 合 合 情况。 方法二:先求各个力做的功W、W、W…,再应用W =W+W+W+…求合力做的功。 1 2 3 合 1 2 3 方法三:利用动能定理,合力做的功等于物体动能的变化。 【例1】(2023·全国·模拟预测)质量为1kg的物块仅在水平恒力F作用下由静止沿水平方 向做加速运动,已知物块从静止开始运动了距离L后的4s内前进了16m,且物块从静止开 始运动了距离9L后的4s内前进了32m,则下列说法正确的是( ) A.距离L为4m 资料收集整理【淘宝店铺:向阳百分百】 第 1 页 / 共 56 页 学科网(北京)股份有限公司B.物块从静止开始运动距离9L时,力F对其做的功为18J C.物块从静止开始运动距离4L时,动量大小为 D.物块从静止开始运动距离4L后的6s末的动能为60J 【答案】BC 【详解】A.由于物块仅在水平恒力作用下由静止开始运动,则其做匀加速直线运动,设 其运动的加速度为a,其从静止开始运动距离为L时用时为t,运动距离为9L时用时为T, 则由匀变速直线运动规律可得 解得 L=2m, ,t=2s,T=6s 故A错误; B.由牛顿第二定律,可得水平恒力 F=ma 即 F=1N 则物块从静止开始运动距离9L时,力F对其做的功为 故B正确; C.物块从静止开始运动距离4L时的速度为 所以物块从静止开始运动距离4L时的动量大小为 故C正确; D.物块从静止开始运动距离4L后的6s末的速度为 对应的动能为 故D错误。 故选BC。 资料收集整理【淘宝店铺:向阳百分百】 第 2 页 / 共 56 页 学科网(北京)股份有限公司【例2】(2023·湖北·模拟预测)一质点在恒力F的作用下做直线运动,前一半路程从静止 开始在粗糙水平面上运动,后一半路程进入光滑水平面继续运动,两阶段末速度分别为 v、v,所用时间分别为t、t,恒力F的冲量分别为I、I,恒力F做的功分别为W、 1 2 1 2 1 2 1 W,则( ) 2 A. B. C. D.W = W 2 1 【答案】CD 【详解】A.设质点的总路程为2x,在粗糙水平面上所受摩擦力为f,质点在第一阶段有 在第二阶段有 可得 解得 A错误; B.质点在第一阶段有 在第二阶段有 可得 即 解得 B错误; C.根据 得 C正确; D.根据 得 D正确。 资料收集整理【淘宝店铺:向阳百分百】 第 3 页 / 共 56 页 学科网(北京)股份有限公司故选CD。 【例3】(2023·北京西城·统考三模)将三个木板1、2、3固定在墙角,木板与墙壁和地面 构成了三个不同的三角形,如图所示,其中1与2底边相同,2和3高度相同。现将一个可 以视为质点的物块分别从三个木板的顶端由静止释放,并沿斜面下滑到底端,物块与木板 之间的动摩擦因数 均相同。在这三个过程中,下列说法正确的是( ) A.沿着1和2下滑到底端时,物块的速度不同;沿着2和3下滑到底端时,物块的速度相 同 B.沿着1下滑到底端时,物块的速度最大 C.物块沿着3下滑到底端的过程中,产生的热量是最少的 D.物块沿着1和2下滑到底端的过程,产生的热量是一样多的 【答案】BD 【详解】AB.设任意一斜面倾角为 ,斜面的长度为L,则物体下滑过程中克服摩擦力做 功为 Lcosθ即为斜面底边的长度,设物体滑到底端时的速度为v,根据动能定理得: 根据图中斜面高度和底边长度可知,滑到底边时速度大小关系为 即沿着1下滑到底端时,物块的速度最大,故A错误,B正确。 CD.摩擦生热等于物块克服摩擦力做功,即 由图可知1和2底边相等且小于3的底边,故摩擦生热关系为 即物块沿着1和2下滑到底端的过程中,产生的热量一样多,物块沿着3下滑到底端的过 程中,产生的热量最多,故C错误,D正确; 故选BD。 题型二 变力做功的分析和计算 【解题指导】求变力做功的五种方法 方法 以例说法 资料收集整理【淘宝店铺:向阳百分百】 第 4 页 / 共 56 页 学科网(北京)股份有限公司微元法 质量为m的木块在水平面内做圆周运动,运动一周克服摩 擦力做功W=F·Δx+F·Δx+F·Δx+…=F(Δx+Δx+Δx+…)=F·2πR f f 1 f 2 f 3 f 1 2 3 f 等效 转换法 恒力F把物块从A拉到B,绳子对物块做功W= F·(-) 图像法 一水平拉力拉着一物体在水平面上运动的位移为x,图线 0 与横轴所围面积表示拉力所做的功,W=x 0 平均 当力与位移为线性关系,力可用平均值=表示,代入功的公式 值法 得W=·Δx 应用动 能定理 用力F把小球从A处缓慢拉到B处,F做功为W ,则有: F W -mgL(1-cos θ)=0,得W =mgL(1-cos θ) F F 类型1 微元法计算变力做功 【例1】(2023·江苏徐州·高三专题练习)水平桌面上,长6m的轻绳一端固定于O点,如 图所示(俯视图),另一端系一质量m=2.0kg的小球。现对小球施加一个沿桌面大小不变 的力F=10N,F拉着物体从M点运动到N点,F的方向始终与小球的运动方向成37°角。 已知小球与桌面间的动摩擦因数μ=0.2,不计空气阻力,取g=10m/s2,sin37°=0.6, cos37°=0.8,则下列说法正确的是( ) A.拉力F对小球做的功为16π(J) B.拉力F对小球做的功为8π(J) C.小球克服摩擦力做的功为16π(J) D.小球克服摩擦力做的功为4π(J) 【答案】A 【详解】AB.将圆弧分成很多小段l,l,…,l,拉力F在每小段上做的功为W, 1 2 n 1 资料收集整理【淘宝店铺:向阳百分百】 第 5 页 / 共 56 页 学科网(北京)股份有限公司W,…,W,因拉力F大小不变,方向始终与小球的运动方向成37°角,所以 2 n W=Flcos37° 1 1 W=Flcos37° 2 2 W=Flcos37° n n 故 故A正确,B错误; CD.同理可得小球克服摩擦力做的功 故CD错误。 故选A。 【例2】聂海胜利用太空跑台——动感单车锻炼,如图所示.假设聂海胜锻炼15分钟克服 动感单车阻力而消耗的能量约为900 kJ.假设动感单车的阻力主要来源于距车轴30 cm的阻 尼装置(可视为质点),宇航员每分钟蹬车90圈,则阻尼装置对车轮的阻力约为( ) A.180 N B.350 N C.580 N D.780 N 【答案】 B 【解析】 设平均阻力为F,则有F×(15×90×2πr)=900 kJ,解得F≈354 N,故选B. f f f 类型2 图像法计算变力做功 【例1】(2023·湖南长沙·长沙一中校考一模)木匠师傅用铁锤把钉子砸进木梁,每次砸击 对铁钉做功相同。已知钉子所受阻力与其进入木梁中的深度成正比,木匠砸击4次,就把 一枚长为 的钉子全部砸进木梁,那么他第1锤将铁钉砸进木梁的深度是( ) A. B. C. D. 【答案】B 【详解】作出钉子所受阻力与进入深度的关系图,可知前一半深度与后一半深度过程中, 阻力做功之比为 ,由题意可知,每次砸锤,锤对钉做功相同,将钉全部砸进木梁需要 资料收集整理【淘宝店铺:向阳百分百】 第 6 页 / 共 56 页 学科网(北京)股份有限公司砸4次,则第1锤将铁钉砸进木梁的深度是 。 故选B。 【例2】(2023·福建莆田·高三莆田一中校联考阶段练习)一质量为4kg的物体,在粗糙的 水平面上受水平恒定的拉力F作用做匀速直线运动。物体运动一段时间后拉力逐渐减小, 当拉力减小到零时,物体刚好停止运动。如图所示为拉力F随位移x变化的关系图像,重 力加速度大小取10m/s2,则可以求得( ) A.物体做匀速直线运动的速度为4m/s B.整个过程拉力对物体所做的功为4J C.整个过程摩擦力对物体所做的功为-8J D.整个过程合外力对物体所做的功为-4J 【答案】D 【详解】B.F-x图线与横轴所围区域的面积表示拉力对物体所做的功,所以 故B错误; C.0~2m阶段,根据平衡条件可得 所以整个过程中摩擦力对物体做的功为 故C错误; D.整个过程中合外力所做的功为 故D正确。 A.根据动能定理可得 资料收集整理【淘宝店铺:向阳百分百】 第 7 页 / 共 56 页 学科网(北京)股份有限公司解得 故A错误。 故选D。 【例3】(2023·内蒙古乌兰察布·高三阶段练习)放在粗糙水平地面上一物体受到水平拉力 的作用,在0~6 s内其速度与时间的关系图象和该拉力的功率与时间的关系图象分别如图 甲、乙所示。下列说法中正确的是( ) A.0~6 s内拉力做的功为140 J B.拉力在0~6 s内做的功与0~2 s内拉力做的功相等 C.物体质量为0.8kg D.物体在0~2 s内所受的拉力为6 N 【答案】ACD 【详解】A.功率与时间的关系图象中,图线与坐标轴所围图形的面积,在数量上等于功, 所以0~6s内拉力做的功为 故A正确; B.拉力在0~6s内做的功大于0~2s内拉力做的功,故B错误; C.由图乙可知2~6s内拉力的功率 由图甲可知2~6s内物体的速度为 所以拉力的大小为 这段时间内物体做匀速运动,则摩擦力的大小为 在0~2s内,由动能定理可得 资料收集整理【淘宝店铺:向阳百分百】 第 8 页 / 共 56 页 学科网(北京)股份有限公司即 解得 故C正确; D.物体在0~2s内的加速度为 由牛顿第二定律有 解得 故D正确。 故选ACD。 类型3 等效转换法求变力做功 【例1】如图所示,固定的光滑竖直杆上套着一个滑块,用轻绳系着滑块绕过光滑的定滑 轮,以恒定的拉力F拉绳,使滑块从A点起由静止开始上升。若从A点上升至B点和从B 点上升至C点的过程中拉力F做的功分别为W 和W,图中AB=BC,则 ( ) 1 2 A.W>W 1 2 B.W<W 1 2 C.W=W 1 2 D.无法确定W 和W 的大小关系 1 2 【答案】 A 【解析】 轻绳对滑块做的功为变力做功,可以通过转换研究对象,将变力做功转化为恒 力做功;因轻绳对滑块做的功等于拉力F对轻绳做的功,而拉力F为恒力,W=F·Δl,Δl 为轻绳拉滑块过程中力F的作用点移动的位移,大小等于定滑轮左侧绳长的缩短量,由题 图及几何知识可知,Δl >Δl ,故W>W,A正确。 AB BC 1 2 类型4 平均力法求变力做功 【例1】(2023·安徽合肥·高三合肥一六八中学校考阶段练习)如图甲所示,在粗糙的水平 面上,放着可视为质点的A、B两物块,质量分别为 和 。轻弹簧一端与 资料收集整理【淘宝店铺:向阳百分百】 第 9 页 / 共 56 页 学科网(北京)股份有限公司物块A相连,另一端与竖直墙壁相连。未施加拉力F时,A到墙壁的距离小于弹簧原长且 整个系统恰好处于静止状态。从 时刻开始,对B施加一水平向右的力F使物块B做匀 加速运动,力F随时间变化如图乙,已知物块与地面的动摩擦因数均为0.5,g取 。 A.弹簧的劲度系数为 B.物块B在 时的加速度大小为 C. 到 的过程中力F做的功为4J D. 到 分开的过程中,A克服摩擦力的功为 【答案】BCD 【详解】B.根据题意,设未施加拉力F时,弹簧的形变量为 ,则有 时刻,施加拉力 ,对 、 整体,由牛顿第二定律有 由图乙可知, 时拉力为 解得 故B正确; D.由图可知, 时,A、B开始分离,由运动学公式 可得,此过程 的位移大小为 则 到 分开的过程中,A克服摩擦力的功为 故D正确; A.设AB恰好分离时,弹簧的形变量为 ,对物体A,由牛顿第二定律有 资料收集整理【淘宝店铺:向阳百分百】 第 10 页 / 共 56 页 学科网(北京)股份有限公司又有 解得 故A错误; C.根据题意可知,AB分开之前,拉力F与位移的关系式为 又有AB恰好分离时,AB运动的位移为 可得,A、B恰好分离时 则 到 的过程中力F做的功为 故C正确。 故选BCD。 【例2】(2023·江苏徐州·高三专题练习)静止于水平地面上质量为 的物体,在水平拉 力 (式中F为力的大小、x为位移的大小,力F、位移x的单位分别是N、m)作 用下,沿水平方向移动了 。已知重力加速度 ,则在物体移动 的过程中拉 力所做的功为( ) A. B. C. D. 【答案】B 【详解】根据题意可知,水平拉力与位移的关系式为 则物体移动 过程中拉力的平均值为 则拉力做的功 故选B。 类型5 应用动能定理求变力做功 在一个有变力做功的过程中,当变力做功无法直接通过功的公式求解时,可用动能定理,W +W =mv2-mv2,物体初、末速度已知,恒力做功W 可根据功的公式求出,这样就可 变 恒 2 1 恒 以得到W =mv2-mv2-W ,就可以求变力做的功了. 变 2 1 恒 【例1】(2023·北京西城·统考二模)图1所示是一种叫“旋转飞椅”的游乐项目,将其结 资料收集整理【淘宝店铺:向阳百分百】 第 11 页 / 共 56 页 学科网(北京)股份有限公司构简化为图2所示的模型。长 的钢绳一端系着座椅,另一端固定在半径 的水 平转盘边缘。转盘可绕穿过其中心的竖直轴转动。转盘静止时,钢绳沿竖直方向自由下垂; 转盘匀速转动时,钢绳与转轴在同一竖直平面内,与竖直方向的夹角 。将游客和座 椅看作一个质点,质量 。不计钢绳重力和空气阻力,重力加速度 。( , ) (1)当转盘匀速转动时,求游客和座椅做圆周运动 a.向心力的大小 ; b.线速度的大小v。 (2)求游客由静止到随转盘匀速转动的过程中,钢绳对游客和座椅做的功W。 【答案】(1)a. ,b. ;(2) 【详解】(1)对游客和座椅一起受力分析如下图所示 a.根据受力分子可知游客和座椅做圆周运动所需要的向心力为 b.根据几何关系可知游客和座椅zuo2圆周运动的半径为 由 代入数据得 (2)游客和座椅由静止到随转盘匀速转动得过程,根据功能关系有 代入数据解得 资料收集整理【淘宝店铺:向阳百分百】 第 12 页 / 共 56 页 学科网(北京)股份有限公司【例2】(2023春·甘肃白银·高三校考开学考试)如图所示,一质量为 的质点在半径为 的半球形容器中(容器固定)由静止开始自边缘上的A点滑下,到达最低点 时,它对 容器的正压力为 。重力加速度为 ,则质点自A滑到 的过程中,摩擦力所做的功为( ) A. B. C. D. 【答案】C 【详解】设在B点的速度为 ,由牛顿第二定律,有 则质点在B点的动能为 质点从A滑到B的过程中,由动能定理得 解得 故选C。 【例3】(2023·云南·校联考模拟预测)如图,轻质弹簧上端固定在O点,下端与质量为m 的圆环相连,圆环套在水平粗糙的固定细杆上。现在将圆环从A点静止释放,当圆环运动 到B点时弹簧竖直且处于原长,到达C点时速度减为零;在C点使得圆环获得一个沿杆向 左的速度v,其恰好能回到A点。弹簧始终在弹性限度之内,下列说法正确的是( ) A.从A到C的过程中,圆环经过B点速度最大 B.从C回到A的过程中,弹力最终做正功 资料收集整理【淘宝店铺:向阳百分百】 第 13 页 / 共 56 页 学科网(北京)股份有限公司C.从A到C克服摩擦力做功为 D.从A到C弹簧弹性势能减少了 【答案】CD 【详解】A.圆环从A到C过程中,合力是0时圆环的速度最大,A错误; B.A到C过程中,根据能量守恒,弹性势能减少,转化为摩擦力做功产生的热量,所以由 C回到A的过程中,弹性势能增大,弹力最终做负功,B错误。 CD.从A到C再由C回到A,根据对称特点可知,摩擦力做功相等,弹性势能变化相同, 根据动能定理,有 求得 CD正确。 故选CD。 题型三 功率的分析和计算 1.公式P=和P=Fv的区别 P=是功率的定义式,P=Fv是功率的计算式。 2.平均功率的计算方法 (1)利用=。 (2)利用P=Fv cos α,其中v为物体运动的平均速度。 3.瞬时功率的计算方法 (1)利用公式P=Fvcos α,其中v为t时刻的瞬时速度。 (2)P=Fv ,其中v 为物体的速度v在力F方向上的分速度。 F F (3)P=Fv,其中F 为物体受到的外力F在速度v方向上的分力。 v v 类型1 功率的分析和计算 【例1】(2023春·江西南昌·高三南昌十中校考阶段练习)一只苹果从楼上某一高度自由 下落,苹果在空中依次经过三个完全相同的窗户1、2、3。图中直线为苹果在空中的运动 轨迹。若不计空气阻力的影响,下列说法正确的是( ) 资料收集整理【淘宝店铺:向阳百分百】 第 14 页 / 共 56 页 学科网(北京)股份有限公司A.苹果经过第三个窗户所用的时间最长 B.苹果经过第三个窗户重力做的功最多 C.苹果经过第一个窗户重力做功的平均功率最小 D.苹果经过第一个窗户下端时,重力做功的瞬时功率最大 【答案】C 【详解】A.苹果做自由落体运动,速度逐渐增加,越来越快,通过相同距离用时越来越 少,故通过第一个窗户用时最长,故A错误; B.重力的功 ,故苹果通过3个窗户重力做的功一样多,故B错误; C.功率 ,通过第一个窗户用时最长,故通过第1个窗户重力的平均功率最 小,故C正确。 D.根据 可知苹果经过第三个窗户下端时,速度最大,根据 重力做功的瞬时 功率最大,故D错误。 故选C。 【例2】(2023春·四川绵阳·高三统考期中)如图所示,倾角为37º、长度为4m的粗糙固 定斜面,一质量为1kg的小物块从斜面顶端由静止开始下滑至斜面底端,小物块与斜面间 的动摩擦因数为0.5,重力加速度g=10m/s2,则( ) A.整个过程中重力做功24J B.整个过程中合外力做功24J C.整个过程中重力做功的平均功率是24W D.小物块滑到斜面底端时重力做功的瞬时功率是24W 【答案】AD 【详解】A.根据公式可得,重力做功为 资料收集整理【淘宝店铺:向阳百分百】 第 15 页 / 共 56 页 学科网(北京)股份有限公司故A正确; B.根据公式可得,合外力做功为 故B错误; C. 对小物块受力分析,根据牛顿第二定律 解得 根据 解得 整个过程中重力做功的平均功率是 故C错误; D.小物块滑到斜面底端时重力做功的瞬时功率是 故D正确。 故选AD。 【例3】.(2023春·黑龙江哈尔滨·高三哈尔滨三中校考期中)一质量为0.5kg的质点静止 于光滑水平面上,从 时刻开始,受到水平外力F作用,如图所示。下列判断正确的是 ( ) A.0~2s内外力的平均功率是18W B.第2s内外力所做的功是36J C.第4s末外力的瞬时功率最大 D.第1s末与第3s末外力的瞬时功率之比为9:7 【答案】AD 【详解】前两秒匀加速直线运动的加速度 资料收集整理【淘宝店铺:向阳百分百】 第 16 页 / 共 56 页 学科网(北京)股份有限公司后两秒匀加速直线运动的加速度 第1秒末的速度 第2秒末的速度 第3秒末的速度 第4秒末的速度 前两秒的位移 第2秒内的位移 A.0~2s内外力做的功 0~2s内外力的平均功率 A正确; B.第2s内外力所做的功 B错误; C.第2秒末的外力的瞬时功率 第4s末外力的瞬时功率 第4s末外力的瞬时功率不是最大。C错误; D.第1s末与第3s末外力的瞬时功率分别为 资料收集整理【淘宝店铺:向阳百分百】 第 17 页 / 共 56 页 学科网(北京)股份有限公司第1s末与第3s末外力的瞬时功率之比 D正确。 故选AD。 类型2 功率和功综合问题的分析和计算 【例1】(2022·4月贵阳模拟)(多选)运动场上,某同学将篮球竖直向上抛出,到最高点又竖 直落回到抛出点,若篮球所受的空气阻力大小恒定,下列判断正确的是( ) A.篮球上升过程中的加速度大于下降过程中的加速度 B.篮球上升过程中克服重力做的功大于下降过程中重力做的功 C.篮球下落到抛出点的速度大小大于篮球抛出时向上的初速度大小 D.篮球上升过程中克服重力做功的平均功率大于下降过程中重力的平均功率 【答案】 AD 【解析】 上升过程a ==g+,下降过程a ==g-可知,a>a ,故A正确;由W = 1 2 1 2 克G W =mgh可知,篮球上升过程中克服重力做的功等于下降过程中重力做的功,故 B错误; G 取上升和下降的全过程,由能量守恒可知,重力势能不变,初动能等于内能和末动能之和 故落回到抛出点的速度大小小于抛出时的初速度大小,故 C错误;上升过程用逆向思维有 h=at2,下降过程有h=at2,因a>a,则tP ,故D 11 22 1 2 1 2 克G G 克G G 正确. 【例2】(2023·福建·模拟预测)如图甲质量 的物体在拉力F作用下由静止开始沿 着水平路面加速运动,5s后撤去拉力,物体运动的v-t图像如图乙所示,不计空气阻力, ,求: (1)摩擦力f,拉力F,分别是多少N? (2)撤去拉力后的运动过程中,摩擦力对物体做的功? (3)加速过程中物体所受拉力的平均功率? 【答案】(1)50N;70N;(2) ;(3) 【详解】(1)撤去拉力后由图像可知轮胎的加速度大小为 根据牛顿第二定律有有 资料收集整理【淘宝店铺:向阳百分百】 第 18 页 / 共 56 页 学科网(北京)股份有限公司由图像可知前5s内的加速度为 根据牛顿第二定律有 代入数据得 (2)5s至7s内,即2s内位移为 摩擦力做的功为 (3)拉力F作用的位移 拉力F做的功 全过程中拉力的平均功率为 【例3】电梯上升过程可以简化为匀加速、匀速、匀减速三个阶段,即加速到允许的最大 速度v后做匀速运动,最后经过匀减速运动将速度减为零。假设该电梯在加速和减速过程 的加速度大小相等,一幢大楼每层楼高度相同,有一个质量为 m的人先坐电梯从1楼到7 楼,办完事后再从7楼到16楼,重力加速度为g,则( ) A.电梯从1楼到7楼的平均速度等于电梯从7楼到16楼的平均速度 B.电梯从1楼到7楼的平均速度小于电梯从7楼到16楼的平均速度 C.加速阶段电梯对人做正功,减速阶段电梯对人做负功 D.上升过程中电梯对人做功的最大功率为mgv 【答案】 B 【解析】 运动过程图像如图所示, 加速与减速阶段时间相等,平均速度 v===,电梯从7楼到16楼匀速运动的时间更长,所以平均速度更大,故A错误,B正 确;电梯对人的作用力方向始终向上,与位移同向,故始终做正功,故C错误;上升过程 资料收集整理【淘宝店铺:向阳百分百】 第 19 页 / 共 56 页 学科网(北京)股份有限公司中匀加速阶段结束时,电梯对人做功的功率最大为P=Fv=(mg+ma)v>mgv,故D错误。 题型四 机车启动问题 1.两种启动方式 两种方式 以恒定功率启动 以恒定加速度启动 P-t图像 和v-t 图像 过程 a=不变⇒F不变⇒P=Fv↑直到P v↑⇒F=↓⇒a=↓ OA 分析 =P =Fv 额 1 段 运动 加速度减小的加速直线运动 匀加速直线运动,持续时间t= 0 性质 过程 F=F 阻⇒a=0⇒v m = v↑⇒F=↓⇒a=↓ AB 分析 段 运动 以v 做匀速直线运动 加速度减小的加速直线运动 m 性质 F=F 阻⇒a=0⇒以v m =做匀速直 BC段 线运动 2.三个重要关系式 (1)无论哪种启动过程,机车的最大速度都等于其匀速运动时的速度,即v =. m (2)机车以恒定加速度启动的过程中,匀加速过程结束时,功率最大,但速度不是最大,v =