当前位置:首页>文档>第二周 周五_02高考数学_2025年新高考资料_二轮复习_2025年高考数学大二轮_2025数学二轮专题复习教师用书Word版文档_每日一练_第二周

第二周 周五_02高考数学_2025年新高考资料_二轮复习_2025年高考数学大二轮_2025数学二轮专题复习教师用书Word版文档_每日一练_第二周

  • 2026-04-19 08:16:01 2026-04-19 08:16:01

文档预览

第二周 周五_02高考数学_2025年新高考资料_二轮复习_2025年高考数学大二轮_2025数学二轮专题复习教师用书Word版文档_每日一练_第二周
第二周 周五_02高考数学_2025年新高考资料_二轮复习_2025年高考数学大二轮_2025数学二轮专题复习教师用书Word版文档_每日一练_第二周
第二周 周五_02高考数学_2025年新高考资料_二轮复习_2025年高考数学大二轮_2025数学二轮专题复习教师用书Word版文档_每日一练_第二周
第二周 周五_02高考数学_2025年新高考资料_二轮复习_2025年高考数学大二轮_2025数学二轮专题复习教师用书Word版文档_每日一练_第二周
第二周 周五_02高考数学_2025年新高考资料_二轮复习_2025年高考数学大二轮_2025数学二轮专题复习教师用书Word版文档_每日一练_第二周
第二周 周五_02高考数学_2025年新高考资料_二轮复习_2025年高考数学大二轮_2025数学二轮专题复习教师用书Word版文档_每日一练_第二周
第二周 周五_02高考数学_2025年新高考资料_二轮复习_2025年高考数学大二轮_2025数学二轮专题复习教师用书Word版文档_每日一练_第二周
第二周 周五_02高考数学_2025年新高考资料_二轮复习_2025年高考数学大二轮_2025数学二轮专题复习教师用书Word版文档_每日一练_第二周

文档信息

文档格式
docx
文档大小
2.424 MB
文档页数
4 页
上传时间
2026-04-19 08:16:01

文档内容

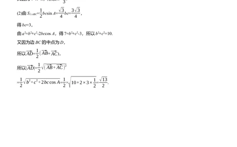
周五 π 1.(2024·葫芦岛模拟)已知向量a,b的夹角为 ,且|a|=2|b|=2,若(ka-b)⊥(a+b),则k等于( ) 3 2 1 A. B. 5 2 2 3 C. D. 3 4 答案 A 解析 因为(ka-b)⊥(a+b), 所以(ka-b)·(a+b)=0,即ka2+(k-1)a·b-b2=0, π 因为|a|=2|b|=2,向量a,b的夹角为 , 3 1 所以|a|=2,|b|=1,a·b=2×1× =1, 2 2 所以4k+k-1-1=0,即k= . 5 2.(2024·晋城模拟)“五一”假期将至,某旅行社适时推出了“晋祠”“五台山”“云冈石窟”“乔家大 院”“王家大院”共五条旅游线路可供旅客选择,其中“乔家大院”线路只剩下一个名额,其余线路名额 充足.现有小张、小胡、小李、小郭这四人前去报名,每人只选择其中一条线路,四人选完后,恰好选择了 三条不同的线路.则不同的报名情况总共有( ) A.360种 B.316种 C.288种 D.216种 答案 C 解析 若四人中,没有人选择“乔家大院”线路,4=2+1+1, 则方法数有C2 ×A3 =144(种). 4 4 若四人中,恰有1人选择“乔家大院”线路, 则方法数有C1 (C2 ×A2 )=144(种). 4 3 4 所以他们报名的情况总共有144+144=288(种). ( π) 3.(多选)(2024·鹰潭模拟)如图所示,已知角α,β 0<α<β< 的始边为x轴的非负半轴,终边与单位圆的 2 交点分别为A,B,M为线段AB的中点,射线OM与单位圆交于点C,则( )A.∠AOB=β-α β-α B.|OM|=cos 2 ( α+β α+β) C.点C的坐标为 cos ,sin 2 2 ( α+β β-α α+β β-α) D.点M的坐标为 cos cos ,sin sin 2 2 2 2 答案 ABC π 解析 对于A,因为∠AOx=α,∠BOx=β,0<α<β< ,所以∠AOB=β-α,正确; 2 β-α 对于B,依题意M为线段AB的中点,则OM⊥AB,则∠AOM= , 2 β-α 又|OA|=1,所以|OM|=|OA|cos∠AOM=cos ,正确; 2 对于C,M为线段AB的中点,射线OM与单位圆交于点C,则C为A´B的中点, β-α α+β 所以∠COx=α+ = , 2 2 ( α+β α+β) 又|OC|=1,所以点C的坐标为 cos ,sin ,正确; 2 2 β-α α+β 因为|OM|=cos ,∠MOx= , 2 2 α+β β-α 所以x =cos cos , M 2 2 α+β β-α y =sin cos , M 2 2 所以点M的坐标为 ( α+β β-α α+β β-α) cos cos ,sin cos ,错误. 2 2 2 2 4.(2024·泰安模拟)已知抛物线C:y2=8x,点P在C的准线上,过C的焦点F的直线与C相交于A,B两点, 则|AB|的最小值为 ,若△ABP为等边三角形,则|AB|= . 答案 8 24 解析 由已知得F(2,0),准线方程为x=-2,设直线AB的方程为x=my+2,A(x ,y ),B(x ,y ),弦AB的 1 1 2 2 中点M(x ,y ),如图所示, 0 0{x=my+2, 联立 y2=8x, 消去x并整理得y2-8my-16=0, 则y +y =8m,y y =-16, 1 2 1 2 所以x +x =m(y +y )+4=8m2+4, 1 2 1 2 x +x y + y 所以x = 1 2=4m2+2,y = 1 2=4m,即M(4m2+2,4m), 0 2 0 2 所以|AB|=x +x +4=8m2+8. 1 2 故当m=0时,|AB| =8. min 若△ABP为等边三角形,则m≠0,如图所示, 则设直线PM的方程为y-4m=-m(x-4m2-2),即y=-mx+4m3+6m, 所以点P(-2,4m3+8m), √3 又|PM|= |AB|, 2 3 所以(4m2+4)2+(4m+4m3)2= (8m2+8)2, 4 解得m2=2,所以|AB|=8m2+8=24. c2 5.(2024·浙江金丽衢十二校联考)在△ABC中,内角A,B,C所对的边分别是a,b,c,已知 = b2+c2-a2 sinC . sinB (1)求角A; 3√3 (2)设边BC的中点为D,若a=√7,且△ABC的面积为 ,求AD的长. 4 解 (1)在△ABC中,由正弦定理得,sinC c c2 sinC = ,因为 = , sinB b b2+c2-a2 sinB c2 c 所以 = , b2+c2-a2 b 化简得b2+c2-a2=bc, 在△ABC中,由余弦定理得, b2+c2-a2 1 cos A= = , 2bc 2 π 又因为0