当前位置:首页>文档>考点13指数与对数的运算(解析版)_02高考数学_新高考复习资料_2022年新高考资料_备战2022年高考数学一轮复习考点帮(新高考地区专用)8.2更新

考点13指数与对数的运算(解析版)_02高考数学_新高考复习资料_2022年新高考资料_备战2022年高考数学一轮复习考点帮(新高考地区专用)8.2更新

  • 2026-04-20 05:29:53 2026-04-20 05:29:53

文档预览

考点13指数与对数的运算(解析版)_02高考数学_新高考复习资料_2022年新高考资料_备战2022年高考数学一轮复习考点帮(新高考地区专用)8.2更新
考点13指数与对数的运算(解析版)_02高考数学_新高考复习资料_2022年新高考资料_备战2022年高考数学一轮复习考点帮(新高考地区专用)8.2更新
考点13指数与对数的运算(解析版)_02高考数学_新高考复习资料_2022年新高考资料_备战2022年高考数学一轮复习考点帮(新高考地区专用)8.2更新
考点13指数与对数的运算(解析版)_02高考数学_新高考复习资料_2022年新高考资料_备战2022年高考数学一轮复习考点帮(新高考地区专用)8.2更新
考点13指数与对数的运算(解析版)_02高考数学_新高考复习资料_2022年新高考资料_备战2022年高考数学一轮复习考点帮(新高考地区专用)8.2更新
考点13指数与对数的运算(解析版)_02高考数学_新高考复习资料_2022年新高考资料_备战2022年高考数学一轮复习考点帮(新高考地区专用)8.2更新
考点13指数与对数的运算(解析版)_02高考数学_新高考复习资料_2022年新高考资料_备战2022年高考数学一轮复习考点帮(新高考地区专用)8.2更新
考点13指数与对数的运算(解析版)_02高考数学_新高考复习资料_2022年新高考资料_备战2022年高考数学一轮复习考点帮(新高考地区专用)8.2更新
考点13指数与对数的运算(解析版)_02高考数学_新高考复习资料_2022年新高考资料_备战2022年高考数学一轮复习考点帮(新高考地区专用)8.2更新
考点13指数与对数的运算(解析版)_02高考数学_新高考复习资料_2022年新高考资料_备战2022年高考数学一轮复习考点帮(新高考地区专用)8.2更新
考点13指数与对数的运算(解析版)_02高考数学_新高考复习资料_2022年新高考资料_备战2022年高考数学一轮复习考点帮(新高考地区专用)8.2更新
考点13指数与对数的运算(解析版)_02高考数学_新高考复习资料_2022年新高考资料_备战2022年高考数学一轮复习考点帮(新高考地区专用)8.2更新
考点13指数与对数的运算(解析版)_02高考数学_新高考复习资料_2022年新高考资料_备战2022年高考数学一轮复习考点帮(新高考地区专用)8.2更新

文档信息

文档格式
docx
文档大小
0.298 MB
文档页数
9 页
上传时间
2026-04-20 05:29:53

文档内容

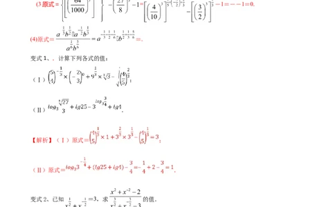
考点 13 指数与对数的运算 【命题解读】 学生应指数幂的含义及运算法则,实数指数幂的意义;理解对数的概念及其运算性质,换底公式使用 方法,对数函数的概念、图象与性质; 【基础知识回顾】 1.根式 (1)概念:式子叫做根式,其中n叫做根指数,a叫做被开方数. (2)性质:()n=a(a使有意义);当n为奇数时,=a,当n为偶数时,=|a|= 2.分数指数幂 (1)规定:正数的正分数指数幂的意义是a=(a>0,m,n∈N*,且n>1);正数的负分数指数幂的意义是a-= (a>0,m,n∈N*,且n>1);0的正分数指数幂等于0;0的负分数指数幂没有意义. (2)有理指数幂的运算性质:aras= a r + s;(ar)s= a r s;(ab)r= a r b r,其中a>0,b>0,r,s∈Q. 3.对数的概念 如果ab=N(a>0且a≠1),那么数b叫做以a为底N的对数,记作log N = b ,其中__a__叫做对数的底数, a __N__叫做真数. 4.对数的性质与运算法则 (1)对数的运算法则 如果a>0且a≠1,M>0,N>0,那么 ①log (MN)=log M + log N;②log =log M - log N; a a a a a a log ③log a Mn= n log a M (n∈R);④ amMn=log a M. (2)对数的性质 log ①a a N=__N__;②log aN=__N__(a>0且a≠1). a (3)对数的重要公式 ①换底公式:log N= (a,c均大于零且不等于1); a ②log b=,推广log b·log c·logd=log d. a a b c a1、设a, b, c均为不等于1的正实数, 则下列等式中恒成立的是 log b·log blog a log b·log alog b A. a c c B. a a a log (bc)log blog c C. D. a a a 【答案】B log b log xy log xlog y,log b  c 【解析】 , , ≠1. 考察对数2个公式: a a a a log a ,对选项A: c log a log blog b log alog b  c a c c a log b ,显然与第二个公式不符,所以为假.对选项B: c log b log blog a log blog b  c a c c a log a ,显然与第二个公式一致,所以为真.对选项C: c log(bc)log blog c a a a ,显然与第一个公式不符,所以为假.对选项D: log(bc) log blog c a a a ,同样与第一个公式不符,所以为假.所以选B. 2、 = A. B. C. 2 D. 4 【答案】D 【解析】 . 3、化简4a·b-÷的结果为( ) A.- B.- C.- D.-6ab【答案】C 【解析】原式=-6ab--=-6ab-1=-. 4、(多选)已知a+a-1=3,在下列各选项中,其中正确的是( ) A.a2+a-2=7 B.a3+a-3=18 C.a+a-=± D.a+=2 【答案】ABD 【解析】在选项A中,因为a+a-1=3,所以a2+a-2=(a+a-1)2-2=9-2=7,故A正确;在选项B 中,因为a+a-1=3,所以a3+a-3=(a+a-1)(a2-1+a-2)=(a+a-1)·[(a+a-1)2-3]=3×6=18,故B正确; 在选项C中,因为a+a-1=3,所以(a+a-)2=a+a-1+2=5,且a>0,所以a+a-=,故C错误;在选 项D中,因为a3+a-3=18,且a>0,所以=a3+a-3+2=20,所以a+=2,故D正确. 5、 的值是____________. 【答案】1 【解析】 . 6、计算:log [4log 10-(3)-7log 2]=________. 5 2 7 【答案】0 【解析】原式=log [2log 10-(3)-2]=log (10-3-2)=log 5=1. 5 2 5 5 7、(2012北京)已知函数 ,若 ,则 . 【答案】2 【解析】由 ,得 ,于是 . 考向一 指数幂的运算 例1 化简下列各式(其中各字母均为正数). (1)+0.002--10(-2)-1+π0 (2)(a>0,b>0) (3) -π0;(4) 【解析】(1)原式=+500-+1 =+10-10-20+1=-. (2)原式==a+-1+b1+-2-=. (3原式= = -1=--1=0. (4)原式= =. 变式1、.计算下列各式的值: (Ⅰ) ; (Ⅱ) . 【解析】(Ⅰ)原式= ; (Ⅱ)原式= . 变式2、已知 =3,求 的值. 【解析】设 =t,则 =,已知即t+=3. 于是, =t3+=·, 而x2+x-2=t4+= -2, 将t+=3,平方得 t2++2=9,于是t2+=7.从而,原式===. 方法总结:(1)指数幂的运算首先将根式、分数指数幂统一为分数指数幂,以便利用法则计算,这时 要注意:①必须同底数幂相乘,指数才能相加;②运算的先后顺序. (2)当底数是负数时,先确定符号,再把底数化为正数.(3)运算结果不能同时含有根号和分数指数,也不能既有分母又含有负指数. 考向二 对数的运算 例1、(1)化简:=________. (2)化简:2 3+log¿¿0.54¿ ¿¿¿=________. (3)设2a=5b=m,且+=2,则m等于( ) A. B. C. D. . 【解析】(1).原式===1. (2).2 3+log¿¿0.54¿ ¿¿¿=23·2log 4=8· log 14 0.5 2 2 1 log =8·2-log 2 4=8· 2 24=8·=2. (3).D 由2a=5b=m得a=log m,b=log m, 2 5 ∴+=log 2+log 5=log 10. m m m ∵+=2,∴log 10=2,∴m2=10,m=. m 变式1、 化简下列各式: (1)lg25+lg2+lg+lg(0.01)-1; (2)(lg2)2+lg2·lg50+lg25; (3)计算(log 2+log 2)·(log 3+log 3); 3 9 4 8 (4)2log 2-log +log 8-3log 5; 3 3 3 5 【解析】 (1)原式=lg =lg = =. (2) 原式=(lg2)2+(1+lg5)lg2+lg52=(lg2+lg5+1)lg2+2lg5 =(1+1)lg2+2lg5 =2(lg2+lg5) =2. (3) (log 2+log 2)·(log 3+log 3) 3 9 4 8 =· =· =· =. (4)2log 2-log +log 8-3log 5 3 3 3 5 =log 22+log (32×2-5)+log 23-3 3 3 3 =log (22×32×2-5×23)-3 3 =log 32-3 3 =2-3 =-1. 变式2、(1)2log 2-log +log 8- ; 3 3 3(2)(log 125+log 25+log 5)·(log 2+log 4+log 8). 2 4 8 5 25 125 【解析】(1)原式=2log 2-5log 2+2+3log 2-3=-1. 3 3 3 (2)(方法1)原式= = =log 5·3log 2 2 5 =13··log 2 5 =13. (方法2) 原式= = = =13. 方法总结:对数的运算主要是要熟练掌握三条运算性质,不能把公式记错,当然也有一定的运算技巧,例 如: (1)拆:首先利用幂的运算把底数或真数进行变形,化成分数指数幂的形式,使幂的底数最简,然后 利用对数运算性质化简合并; (2)合:将对数式化为同底数的和、差、倍数运算,然后逆用对数的运算性质,转化为同底对数真数 的积、商、幂的运算. 考向三 指数是与对数式的综合 例3 (1)已知a,b,c均为正数,且3a=4b=6c,求证:+= ; (2)若60a=3,60b=5,求 的值. 【解析】 (1)设3a=4b=6c=k,则k>1.由对数定义得a=log k,b=log k,c=log k, 3 4 6 则+=+ =2log 3+log 4 k k =log 9+log 4 k k =log 36. k 又==2log 6=log 36, k k ∴+=. (2)由a=log 3,b=log 5,得1-b=1-log 5=log 12, 60 60 60 60 于是1-a-b=1-log 3-log 5=log 4, 60 60 60 则有==log 4, 12 ∴12= 12log 4 12 =12log 2=2. 12 变式1、设2a=5b=m,且+=2,则m等于________. 由2a=5b=m得a=log m,b=log m, 2 5 ∴+=log 2+log 5=log 10. m m m ∵+=2,∴log 10=2,∴m2=10,m=. m 方法总结: 这是一道关于指数式与对数式的混合问题,求解这类问题,以下两点值得关注: 1. 根据对数的定义,对数式与指数式能够相互转化,其解答过程体现了化归与转化的数学思想,其 核心是化生为熟、化难为易、化繁为简,困难之处在于将指数由“高”降“低”,便于进一步计算,这是 指、对数运算经常使用的方法. 2. 不同底数的对数计算、化简与恒等证明的常用方法是利用换底公式,先将底数统一,再利用同底 的对数的运算法则进行计算和化简,求得结果.x,y 1、(2013浙江)已知 为正实数,则 2lgxlgy 2lgx 2lgy 2lg(xy) 2lgx2lgy A. B. 2lgxlgy 2lgx 2lgy 2lg(xy) 2lgx2lgy C. D. 【答案】D x10,y 1,2lgxlgy 2,2lgx 2lgy 3, 【解析】取特殊值即可,如取 2lgxy 2lg11,2lgxlgy 1 . 2、(2020全国Ⅰ文8)设 ,则 ( ) A. B. C. D. 【答案】B 【解析】由 可得 ,∴ ,∴有 ,故选B. 3、(2017新课标Ⅰ)设 为正数,且 ,则 A . B . C . D . 【答案】D 【解析】设 ,因为 为正数,所以 ,则 , , , 所 以 , 则 , 排 除 A 、 B ; 只 需 比 较 与 ,,则 ,选D. 4、(2017北京)根据有关资料,围棋状态空间复杂度的上限M约为 ,而可观测宇宙中普通物质的原 子总数 约为 .则下列各数中与 最接近的是 (参考数据: ≈0.48) A. B. C. D. 【答案】D 【解析】设 ,两边取对数得, ,所 以 ,即 最接近 ,选D. 5、(2020全国Ⅰ理12)若 ,则 ( ) A. B. C. D. 【答案】B 【思路导引】设 ,利用作差法结合 的单调性即可得到答案. 【解析】设 ,则 为增函数,∵ , ∴ , ∴ ,∴ . ∴ ,当 时, ,此时 ,有 ;当 时, , 此时 ,有 ,∴C、D错误,故选B. 6、 化简下列各式: (1)[(0.064)-2.5]--π0; (2)a·b-2·÷. 【解析】(1)原式=--1 =--1 =--1=0. (2)原式=-a-b-3÷ =-a-b-3÷(ab-)=-a-·b- =-·=-.