当前位置:首页>文档>2019年高考数学试卷(文)(天津)(空白卷)_历年高考真题合集_数学历年高考真题_新·PDF版2008-2025·高考数学真题_数学(按年份分类)2008-2025_2019·高考数学真题

2019年高考数学试卷(文)(天津)(空白卷)_历年高考真题合集_数学历年高考真题_新·PDF版2008-2025·高考数学真题_数学(按年份分类)2008-2025_2019·高考数学真题

  • 2026-03-19 02:50:00 2026-01-28 04:45:57

文档预览

2019年高考数学试卷(文)(天津)(空白卷)_历年高考真题合集_数学历年高考真题_新·PDF版2008-2025·高考数学真题_数学(按年份分类)2008-2025_2019·高考数学真题
2019年高考数学试卷(文)(天津)(空白卷)_历年高考真题合集_数学历年高考真题_新·PDF版2008-2025·高考数学真题_数学(按年份分类)2008-2025_2019·高考数学真题
2019年高考数学试卷(文)(天津)(空白卷)_历年高考真题合集_数学历年高考真题_新·PDF版2008-2025·高考数学真题_数学(按年份分类)2008-2025_2019·高考数学真题
2019年高考数学试卷(文)(天津)(空白卷)_历年高考真题合集_数学历年高考真题_新·PDF版2008-2025·高考数学真题_数学(按年份分类)2008-2025_2019·高考数学真题
2019年高考数学试卷(文)(天津)(空白卷)_历年高考真题合集_数学历年高考真题_新·PDF版2008-2025·高考数学真题_数学(按年份分类)2008-2025_2019·高考数学真题
2019年高考数学试卷(文)(天津)(空白卷)_历年高考真题合集_数学历年高考真题_新·PDF版2008-2025·高考数学真题_数学(按年份分类)2008-2025_2019·高考数学真题
2019年高考数学试卷(文)(天津)(空白卷)_历年高考真题合集_数学历年高考真题_新·PDF版2008-2025·高考数学真题_数学(按年份分类)2008-2025_2019·高考数学真题
2019年高考数学试卷(文)(天津)(空白卷)_历年高考真题合集_数学历年高考真题_新·PDF版2008-2025·高考数学真题_数学(按年份分类)2008-2025_2019·高考数学真题
2019年高考数学试卷(文)(天津)(空白卷)_历年高考真题合集_数学历年高考真题_新·PDF版2008-2025·高考数学真题_数学(按年份分类)2008-2025_2019·高考数学真题

文档信息

文档格式
pdf
文档大小
0.225 MB
文档页数
5 页
上传时间
2026-01-28 04:45:57

文档内容

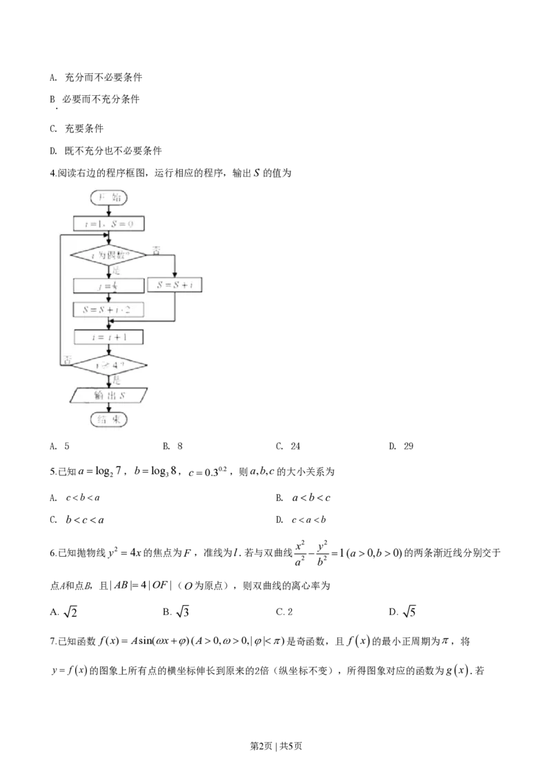
绝密★启用前 2019年普通高等学校招生全国统一考试(天津卷) 数 学(文史类) 本试卷分为第Ⅰ卷(选择题)和第Ⅱ卷(非选择题)两部分,共150分,考试用时120分 钟。第Ⅰ卷1至2页,第Ⅱ卷3至5页。 答卷前,考生务必将自己的姓名、准考号填写在答题卡上,并在规定位置粘贴考试用条 形码。答卷时,考生务必将答案涂写在答题卡上,答在试卷上的无效。考试结束后,将本试 卷和答题卡一并交回。 祝各位考生考试顺利 第Ⅰ卷 注意事项: 1.每小题选出答案后,用铅笔将答题卡上对应题目的答案标号涂黑。如需改动,用橡皮擦 干净后,再选涂其他答案标号。 2.本卷共8小题,每小题5分共40分。 参考公式: ·如果事件A,B互斥,那么PA B= PA+PB. U ·圆柱的体积公式V =Sh,其中S 表示圆柱的底面面积,h表示圆柱的高 1 ·棱锥的体积公式V = Sh,其中S 表示棱锥的底面面积,h表示棱锥的高 3 一、选择题:在每小题给出的四个选项中,只有一项是符合题目要求的。 1.设集合A=-1,1,2,3,5 ,B=2,3,4 ,C ={xÎR|1„ x<3} ,则(A I C) U B= A. {2} B. {2,3} C. {-1,2,3} D. {1,2,3,4} 2.设变量x,y满足约束条件 ,则目标函数z =-4x+ y的最大值为 A. 2 B. 3 C. 5 D. 6 3.设xÎR,则“0< x<5”是“ x-1 <1”的 第1页 | 共5页A. 充分而不必要条件 B 必要而不充分条件 . C. 充要条件 D. 既不充分也不必要条件 4.阅读右边的程序框图,运行相应的程序,输出S 的值为 A. 5 B. 8 C. 24 D. 29 5.已知a =log 7,b=log 8,c=0.30.2,则a,b,c的大小关系为 2 3 A. c0,b>0)的两条渐近线分别交于 a2 b2 点A和点B,且| AB|=4|OF |(O为原点),则双曲线的离心率为 A. 2 B. 3 C. 2 D. 5 7.已知函数 f(x)= Asin(wx+j)(A>0,w>0,|j|1. 4 îx 则a的取值范围为 é5 9ù æ5 9ù æ5 9ù é5 9ù A. ê , ú B. ç , ú C. ç , úU {1} D. ê , úU {1} ë4 4û è4 4û è4 4û ë4 4û 绝密★启用前 第Ⅱ卷 注意事项: 1.用黑色墨水的钢笔或签字笔将答案写在答题卡上。 2.本卷共12小题,共110分。 二、填空题:本大题共6小题,每小题5分,共30分。 5-i 9.i是虚数单位,则 的值为__________. 1+i 10. 设xÎR,使不等式3x2 +x-2<0成立的x的取值范围为__________. x 11. 曲线y =cosx- 在点 0,1 处的切线方程为__________. 2 12.已知四棱锥的底面是边长为 2 的正方形,侧棱长均为 5.若圆柱的一个底面的圆周经过四棱锥四条侧 棱的中点,另一个底面的圆心为四棱锥底面的中心,则该圆柱的体积为__________. (x+1)(2y+1) 13. 设x>0,y >0,x+2y =4,则 的最小值为__________. xy 14. 在四边形ABCD中,AD∥BC ,AB=2 3 ,AD=5 ,ÐA=30° uuuv uuuv ,点E在线段CB的延长线上,且AE = BE,则BD×AE =__________. 三.解答题:本大题共6小题,共80分.解答应写出文字说明,证明过程或演算步骤. 15.2019年,我国施行个人所得税专项附加扣除办法,涉及子女教育、继续教育、大病医疗、住房贷款利息 或者住房租金、赡养老人等六项专项附加扣除.某单位老、中、青员工分别有72,108,120人,现采用分层 第3页 | 共5页抽样的方法,从该单位上述员工中抽取25人调查专项附加扣除的享受情况. (Ⅰ)应从老、中、青员工中分别抽取多少人? (Ⅱ)抽取的25人中,享受至少两项专项附加扣除的员工有6人,分别记为A,B,C,D,E,F .享受情况如右 表,其中“ ”表示享受,“×”表示不享受.现从这6人中随机抽取2人接受采访. d 员工 A B C D E F 项目 子女教育 ○ ○ × ○ × ○ 继续教育 × × ○ × ○ ○ 大病医疗 × × × ○ × × 住房贷款利息 ○ ○ × × ○ ○ 住房租金 × × ○ × × × 赡养老人 ○ ○ × × × ○ (i)试用所给字母列举出所有可能的抽取结果; (ii)设M 为事件“抽取的2人享受的专项附加扣除至少有一项相同”,求事件M 发生的概率. 16. 在VABC中,内角A,B,C 所对的边分别为a,b,c.已知b+c = 2a,3csinB=4asinC. (Ⅰ)求cosB的值; æ pö (Ⅱ)求sin ç 2B+ ÷的值. è 6ø 17. 如图,在四棱锥P-ABCD中,底面ABCD为平行四边形,△PCD为等边三角形,平面PAC ^平面 PCD,PA^CD,CD=2,AD=3, 第4页 | 共5页(Ⅰ)设G,H 分别为PB,AC的中点,求证:GH∥平面PAD; (Ⅱ)求证:PA^平面PCD; (Ⅲ)求直线AD与平面PAC 所成角的正弦值. 18. 设a 是等差数列, b  是等比数列,公比大于0,已知a =b =3,b =a ,b =4a +3. n n 1 1 2 3 3 2 (Ⅰ)求a 和 b  的通项公式; n n ì1, n为奇数, ï (Ⅱ)设数列 c n  满足c n =íb n为偶数, 求a 1 c 1 +a 2 c 2 + L +a 2n c 2n  nÎN* . ï n î 2 19. x2 y2 设椭圆 + =1(a>b>0)的左焦点为F ,左顶点为A,顶点为B.已知 3|OA|=2|OB|(O为原点) a2 b2 . (Ⅰ)求椭圆的离心率; 3 (Ⅱ)设经过点F 且斜率为 的直线l与椭圆在x轴上方的交点为P,圆C同时与x轴和直线l相切,圆 4 心C在直线x=4上,且OC∥AP,求椭圆的方程. 20. 设函数 f(x)=lnx-a(x-1)ex,其中aÎR. (Ⅰ)若a£0,讨论 f x 的单调性; 1 (Ⅱ)若0 x ,证明3x -x >2. 1 1 0 0 1 第5页 | 共5页