当前位置:首页>文档>第10章从粒子到宇宙B卷专项卷(易错训练78题4大考点)(解析版)(1)_8下-初中物理苏科版(4)_02习题试卷_单元测试_第1套

第10章从粒子到宇宙B卷专项卷(易错训练78题4大考点)(解析版)(1)_8下-初中物理苏科版(4)_02习题试卷_单元测试_第1套

  • 2026-04-22 16:17:32 2026-04-22 16:17:32

文档预览

第10章从粒子到宇宙B卷专项卷(易错训练78题4大考点)(解析版)(1)_8下-初中物理苏科版(4)_02习题试卷_单元测试_第1套
第10章从粒子到宇宙B卷专项卷(易错训练78题4大考点)(解析版)(1)_8下-初中物理苏科版(4)_02习题试卷_单元测试_第1套
第10章从粒子到宇宙B卷专项卷(易错训练78题4大考点)(解析版)(1)_8下-初中物理苏科版(4)_02习题试卷_单元测试_第1套
第10章从粒子到宇宙B卷专项卷(易错训练78题4大考点)(解析版)(1)_8下-初中物理苏科版(4)_02习题试卷_单元测试_第1套
第10章从粒子到宇宙B卷专项卷(易错训练78题4大考点)(解析版)(1)_8下-初中物理苏科版(4)_02习题试卷_单元测试_第1套
第10章从粒子到宇宙B卷专项卷(易错训练78题4大考点)(解析版)(1)_8下-初中物理苏科版(4)_02习题试卷_单元测试_第1套
第10章从粒子到宇宙B卷专项卷(易错训练78题4大考点)(解析版)(1)_8下-初中物理苏科版(4)_02习题试卷_单元测试_第1套
第10章从粒子到宇宙B卷专项卷(易错训练78题4大考点)(解析版)(1)_8下-初中物理苏科版(4)_02习题试卷_单元测试_第1套
第10章从粒子到宇宙B卷专项卷(易错训练78题4大考点)(解析版)(1)_8下-初中物理苏科版(4)_02习题试卷_单元测试_第1套
第10章从粒子到宇宙B卷专项卷(易错训练78题4大考点)(解析版)(1)_8下-初中物理苏科版(4)_02习题试卷_单元测试_第1套
第10章从粒子到宇宙B卷专项卷(易错训练78题4大考点)(解析版)(1)_8下-初中物理苏科版(4)_02习题试卷_单元测试_第1套
第10章从粒子到宇宙B卷专项卷(易错训练78题4大考点)(解析版)(1)_8下-初中物理苏科版(4)_02习题试卷_单元测试_第1套
第10章从粒子到宇宙B卷专项卷(易错训练78题4大考点)(解析版)(1)_8下-初中物理苏科版(4)_02习题试卷_单元测试_第1套
第10章从粒子到宇宙B卷专项卷(易错训练78题4大考点)(解析版)(1)_8下-初中物理苏科版(4)_02习题试卷_单元测试_第1套
第10章从粒子到宇宙B卷专项卷(易错训练78题4大考点)(解析版)(1)_8下-初中物理苏科版(4)_02习题试卷_单元测试_第1套
第10章从粒子到宇宙B卷专项卷(易错训练78题4大考点)(解析版)(1)_8下-初中物理苏科版(4)_02习题试卷_单元测试_第1套
第10章从粒子到宇宙B卷专项卷(易错训练78题4大考点)(解析版)(1)_8下-初中物理苏科版(4)_02习题试卷_单元测试_第1套
第10章从粒子到宇宙B卷专项卷(易错训练78题4大考点)(解析版)(1)_8下-初中物理苏科版(4)_02习题试卷_单元测试_第1套
第10章从粒子到宇宙B卷专项卷(易错训练78题4大考点)(解析版)(1)_8下-初中物理苏科版(4)_02习题试卷_单元测试_第1套
第10章从粒子到宇宙B卷专项卷(易错训练78题4大考点)(解析版)(1)_8下-初中物理苏科版(4)_02习题试卷_单元测试_第1套
第10章从粒子到宇宙B卷专项卷(易错训练78题4大考点)(解析版)(1)_8下-初中物理苏科版(4)_02习题试卷_单元测试_第1套
第10章从粒子到宇宙B卷专项卷(易错训练78题4大考点)(解析版)(1)_8下-初中物理苏科版(4)_02习题试卷_单元测试_第1套
第10章从粒子到宇宙B卷专项卷(易错训练78题4大考点)(解析版)(1)_8下-初中物理苏科版(4)_02习题试卷_单元测试_第1套
第10章从粒子到宇宙B卷专项卷(易错训练78题4大考点)(解析版)(1)_8下-初中物理苏科版(4)_02习题试卷_单元测试_第1套
第10章从粒子到宇宙B卷专项卷(易错训练78题4大考点)(解析版)(1)_8下-初中物理苏科版(4)_02习题试卷_单元测试_第1套
第10章从粒子到宇宙B卷专项卷(易错训练78题4大考点)(解析版)(1)_8下-初中物理苏科版(4)_02习题试卷_单元测试_第1套
第10章从粒子到宇宙B卷专项卷(易错训练78题4大考点)(解析版)(1)_8下-初中物理苏科版(4)_02习题试卷_单元测试_第1套
第10章从粒子到宇宙B卷专项卷(易错训练78题4大考点)(解析版)(1)_8下-初中物理苏科版(4)_02习题试卷_单元测试_第1套
第10章从粒子到宇宙B卷专项卷(易错训练78题4大考点)(解析版)(1)_8下-初中物理苏科版(4)_02习题试卷_单元测试_第1套
第10章从粒子到宇宙B卷专项卷(易错训练78题4大考点)(解析版)(1)_8下-初中物理苏科版(4)_02习题试卷_单元测试_第1套
第10章从粒子到宇宙B卷专项卷(易错训练78题4大考点)(解析版)(1)_8下-初中物理苏科版(4)_02习题试卷_单元测试_第1套
第10章从粒子到宇宙B卷专项卷(易错训练78题4大考点)(解析版)(1)_8下-初中物理苏科版(4)_02习题试卷_单元测试_第1套
第10章从粒子到宇宙B卷专项卷(易错训练78题4大考点)(解析版)(1)_8下-初中物理苏科版(4)_02习题试卷_单元测试_第1套
第10章从粒子到宇宙B卷专项卷(易错训练78题4大考点)(解析版)(1)_8下-初中物理苏科版(4)_02习题试卷_单元测试_第1套
第10章从粒子到宇宙B卷专项卷(易错训练78题4大考点)(解析版)(1)_8下-初中物理苏科版(4)_02习题试卷_单元测试_第1套
第10章从粒子到宇宙B卷专项卷(易错训练78题4大考点)(解析版)(1)_8下-初中物理苏科版(4)_02习题试卷_单元测试_第1套
第10章从粒子到宇宙B卷专项卷(易错训练78题4大考点)(解析版)(1)_8下-初中物理苏科版(4)_02习题试卷_单元测试_第1套
第10章从粒子到宇宙B卷专项卷(易错训练78题4大考点)(解析版)(1)_8下-初中物理苏科版(4)_02习题试卷_单元测试_第1套
第10章从粒子到宇宙B卷专项卷(易错训练78题4大考点)(解析版)(1)_8下-初中物理苏科版(4)_02习题试卷_单元测试_第1套
第10章从粒子到宇宙B卷专项卷(易错训练78题4大考点)(解析版)(1)_8下-初中物理苏科版(4)_02习题试卷_单元测试_第1套
第10章从粒子到宇宙B卷专项卷(易错训练78题4大考点)(解析版)(1)_8下-初中物理苏科版(4)_02习题试卷_单元测试_第1套

文档信息

文档格式
docx
文档大小
2.283 MB
文档页数
37 页
上传时间
2026-04-22 16:17:32

文档内容

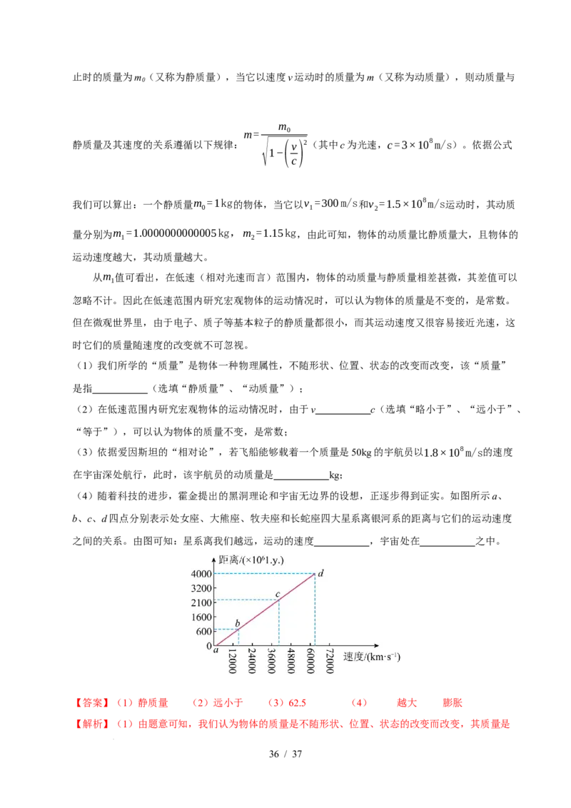
第十章 从粒子到宇宙(B 卷•专项卷) 注意事项: 1.测试范围:苏科版2024八年级下册第10章。 一、分子动理论(共19小题) 二、摩擦起电两种电荷(共26小题) 三、探索更小的微粒(共14小题) 四、宇宙探秘(共19小题) 一、分子动理论(共19小题) 1.(23-24八年级下·江苏无锡·期中)小明在研究物质结构时,经历了下面的探究过程。 ①用素描炭笔在纸上画一条线,用放大镜观察,发现“线”由很多点组成,笔迹是间断的 ②向一端封闭的玻璃管中注水至一半,再注入酒精直到装满,封住管口,将玻璃管反复翻转,使水和 酒精充分混合,发现液面下降。你认为下列哪种模型可以解释上述活动中的现象( ) A.固体是由微粒组成的,各微粒间没有空隙 B.固体和液体都是由微粒组成的,固体微粒间有间隙,液体没有 C.物质是由微粒组成的,各个微粒紧靠在一起,形成了我们所看到的连续体 D.物质是由微粒组成的,微粒之间都有空隙 【答案】D 【解析】用放大镜对笔迹仔细观察,发现这条线是“断裂”,说明微粒之间存在间隙;向一端封闭的 玻璃管中注水至一半,再注入酒精直到装满,封住管口,将玻璃管反复翻转,使水和酒精充分混合, 发现液面下降,正是由于酒精分子和水分子之间有间隙,才会导致混合后总体积变小。 故选D。 2.(2024·江苏常州·中考真题)端午节煮粽子时,厨房飘满了粽子的清香,这说明( ) A.分子间存在吸引力 B.分子间存在排斥力 C.分子在无规则运动 D.液体分子连续分布,气体分子间有间隙 【答案】C 1 / 37 学科网(北京)股份有限公司【解析】煮粽子时厨房漂满了粽子的清香,属于扩散现象,这一现象说明分子在永不停息地做无规则 运动,故ABD不符合题意,C符合题意。 故选C。 3.(2024·江苏淮安·中考真题)端午节期间,小明在家煮粽子,厨房里粽香四溢.这个现象主要说明( ) A.分子间有引力 B.分子间有斥力 C.分子间有空隙 D.分子是运动的 【答案】D 【解析】煮熟的粽子散发出香味,这是扩散现象,说明分子在不停地做无规则运动,故D符合题意, ABC不符合题意。 故选D。 4.(2024·江苏盐城·中考真题)将两个表面光滑的铅块相互挤压,它们会粘在一起,不容易拉开,这一现 象说明( ) A.分子间有空隙 B.分子在运动 C.分子间有斥力 D.分子间有引力 【答案】D 【解析】两个表面光滑的铅块相互紧压后,它们会黏在一起,是分子运动的结果,说明了分子间有引 力。 故ABC不符合题意,D符合题意。 故选D。 5.(2024·江苏连云港·中考真题)下列现象中能说明分子在不停地做无规则运动的是( ) A.花香满园 B.尘土飞扬 C.雪花飘飘 D.落叶纷纷 【答案】A 【解析】A.花香满园,是芳香烃分子无规则运动的结果,故A正确; B.尘土飞扬是固体小颗粒的运动,不是分子的运动,故B错误; C.雪花飘飘是雪花在运动,属于机械运动,故C错误; D.落叶纷纷是树叶在运动,是机械运动,故D错误。 故选A。 6.(2024·四川宜宾·中考真题)下列描述中属于扩散现象的是( ) A.桂花花香四溢 B.雪花漫天飘舞 C.灰尘空中飞扬 D.江面雾气弥漫 2 / 37 学科网(北京)股份有限公司【答案】A 【解析】A.桂花花香四溢,是因为分子在不停地做无规则运动,属于扩散现象,故A符合题意; BCD.雪花漫天飞舞,灰尘空中飞扬,江面雾气弥漫,都是肉眼可见的运动,属于机械运动,故BCD 不符合题意。 故选A。 7.(2024·河北·模拟预测)下列现象说明分子永不停息做无规则运动的是( ) A.盛夏时节,百花绽放,花香四溢 B.用丝绸摩擦过的玻璃棒能吸引纸屑 C.液体能保持一定的体积,不容易被压缩 D.将两个表面光滑的铅块紧紧压在一起,它们就会结合起来 【答案】A 【解析】A.盛夏时节,百花绽放,花香四溢,是由于花香分子在不停地做无规则运动,扩散到空气之 中,故A符合题意; B.用丝绸摩擦过的玻璃棒带有电,带电体具有吸引轻小物体的性质,所以用丝绸摩擦过的玻璃棒能吸 引纸屑,故B不符合题意; C.液体能保持一定的体积,不容易被压缩,这是因为分子之间还存在斥力,故C不符合题意; D.将两个表面光滑的铅块紧紧压在一起,它们就会结合起来,说明分子间存在引力,故D不符合题意。 故选A。 8.(2024·江苏无锡·一模)如图所示是航天员桂海潮在空间站用水球打“乒乓”的画面,水形成一个球而 不会散开,这说明( ) A.分子之间存在引力 B.分子之间存在斥力 C.分子在不停地做无规则的运动 D.分子间存在间隙 【答案】A 【解析】水球是由大量水分子组成的,水形成一个球而不会散开,是因为水分子之间有相互作用的引 力,使水分子不分开,故A符合题意,BCD不符合题意。 3 / 37 学科网(北京)股份有限公司故选A。 9.(22-23八年级下·江苏连云港·期末)今年的6月22日是我国传统节日端午节。连云港地区在端午节当 天,家家户户煮粽子,挂艾草。下列说法正确的是( ) A.煮粽子冒出的白气就是水分子 B.粽子在煮熟的过程香味不断飘出,这是分子在永不停息做无规则运动的结果 C.打开粽子时,有一些糯米粘在粽叶上,是因为糯米与粽叶的分子之间只有引力没有斥力 D.挂在墙上的艾草只受到重力的作用 【答案】B 【解析】A.煮粽子冒出的白气是水蒸气液化形成的小水珠,故A错误; B.粽子在煮熟的过程香味不断飘出,这是扩散现象,说明分子在不停地做无规则运动,故B正确; C.剥开粽子叶时总有一些糯米粘到粽子叶上,是因为糯米与粽叶的分子间有作用力,且引力大于斥力, 故C错误; D.挂在墙上的艾草处于平衡状态,受到重力和拉力,故D错误。 故选B。 10.(23-24八年级下·江苏苏州·期末)如图甲所示,某大学的研究小组制作出了一种新型防菌“纳米纸”, 这种纸“油水不沾”,细菌也无法停留在上面,纳米纸上互相接触的两滴油能立即结合成一滴,这是 因为分子间存在 ;如图乙所示,微晶格材料是能用蒲公英顶起的最轻金属结构,它是目 前最轻的金属结构组合,该材料可以从超过50%的压缩量中恢复,由此可知该微晶格材料除了密度小 以外,还具有的物理属性是 。 【答案】 引力 弹性好 【解析】[1]因为分子间有引力,所以靠得很近的两滴油能自动结合成一体。 [2]微晶格材料是目前最轻的金属结构组合,说明微晶格材料的密度非常小;微晶格材料可以从超过 50%的压缩量中恢复,说明具有良好的弹性。 11.(23-24八年级下·江苏连云港·期末)小明从胶带卷轴上拉出长约20cm的胶带,剪下来粘在桌子的边 缘,如图所示,用不带电的笔杆靠近胶带光滑面,发现胶带会被吸引,实验证明从卷轴上撕下的胶带 光滑面带负电荷,为了验证此结论,操作方法是 ,观察到的现象是 4 / 37 学科网(北京)股份有限公司。 【答案】 用毛皮摩擦过的橡胶棒靠近胶带光滑面 胶带光滑面远离橡胶棒 【解析】[1][2]操作方法是用毛皮摩擦过的橡胶棒靠近胶带光滑面。观察到的现象是:胶带光滑面远离 橡胶棒。因为毛皮摩擦过的橡胶棒带负电,同种电荷相互排斥,如果胶带光滑面带负电荷,就会与带 负电的橡胶棒相互排斥而远离。 12.(20-21八年级下·江苏无锡·期末)现有a、b两个小组在做“建立分子模型”的实验,a组用的是甲图 所示的一端开口的直玻璃管,b小组用的是乙图所示的下大上小的容器。他们首先应该在直玻璃管、 容器中注入 (选填“水”或“酒精”)。为了使实验现象更易于观察,通过比较你觉得 (选填“a”或“b”)小组的实验效果更好(实验时,甲、乙中均装满水和酒精)。 【答案】 水 b 【解析】[1]为了避免物体浮沉的影响,应先注入密度较大的水,再注入密度较小的酒精,直至注满。 [2]两种液体充分混合后,由于分子间存在间隙,液体的总体积比两种液体的体积之和小,b组实验的 容器下大上小,能将体积的变化更明显的反映出来。 13.(22-23八年级下·江苏南通·期末)海安大公每年的4月举行梨花节,梨园飘香,是因为分子 ; 午后时分,花香味更加浓郁,是因为 。小明站在梨树下,发现衣服上沾了淡黄色的花粉,他 认为“这些花粉就是一个个的分子”,从物理角度来看,这种说法 (选填“正确”或“错 误”)。 【答案】 不停地做无规则运动 温度越高,分子运动越剧烈 错误 5 / 37 学科网(北京)股份有限公司【解析】[1][2][3]梨园飘香,是因为发生了扩散现象,扩散现象说明分子在永不停息地做无规则运动; 分子在不停地做无规则运动,随着温度升高,花香味更加浓郁,这是因为温度越高,分子热运动越剧 烈;分子很小,人眼是看不到的,所以,这种说法错误。 14.(22-23八年级下·江苏苏州·期末)端午食粽是苏州端午节的一项重要习俗,用青箬叶或青芦叶包裹糯 米及多种馅料成各种形状,大致分咸、甜、白三种。小明放学后走进院子就闻到了奶奶煮粽子的阵阵 粽香味,这是 现象,说明了 。 【答案】 扩散 分子不停地做无规则的运动 【解析】[1][2]小明闻到粽子的香味,是香味分子进入小明的鼻子的扩散现象,是分子不停的做无规则 运动造成的。 15.(23-24八年级下·江苏扬州·期末)按要求完成下列填空。 (1)如图甲所示是不同科学家提出的原子模型,其中 (选填“a”或“b”)是卢瑟福提出的原 子核式结构模型。 (2)如图乙所示,使玻璃板水平接触水面,然后稍稍用力向上拉玻璃板.在玻璃板离开水面前,弹 簧测力计的读数将变大,说明分子间存在 。 (3)如图丙所示,将水和酒精充分混合后的总体积小于混合前水和酒精的总体积,实验表明分子间 存在 。 (4)如图丁所示,将2个分别装有空气和红棕色二氧化氮气体(二氧化氮密度大于空气密度)的玻 璃瓶口对口对接,中间用玻璃板隔开,在实验探究时,应将二氧化氮气体装在 (选填“A”或 “B”)瓶中。 【答案】(1)b (2)引力 (3)空隙 (4)B 【解析】(1)卢瑟福提出了原子的核式结构模型,他认为:原子由处在原子中心的原子核与核外电 子组成,原子核由带正电的质子和不带电的中子组成,b是卢瑟福提出的原子核式结构模型。 (2)正是因为分子间存在相互作用的引力,所以在玻璃板离开水面前,弹簧测力计的读数会变大。 (3)将水和酒精充分混合后的总体积小于混合前水和酒精的总体积,水和酒精彼此进入对方,这一 现象说明了分子间有间隙。 6 / 37 学科网(北京)股份有限公司(4)在实验探究时,二氧化氮的密度大于空气密度,在实验探究时,将二氧化氮气体装在B瓶中, 也会运动到上面的瓶子内,说明气体分子在不停地做无规则运动,更有说服力。 16.(2024·江苏泰州·一模)每年的5月31日是“世界无烟日”。吸烟危害健康,即使只有很少人吸烟, 整个场所也会充满烟味,这说明分子在不停地 ,抽烟者的衣服摩擦后很容易沾染 烟灰,是因为带电体能 。 【答案】 做无规则运动 吸引轻小物体 【解析】[1]气味分子在不停地做无规则运动,整个场所也会充满烟味。 [2]带电体有一个特性,能够吸引轻小物体。 17.(23-24八年级下·江苏泰州·期末)端午节是中国传统节日,每逢端午“粽子飘香艾草芳 ”。在沸水 中加热的粽子、热水中浸泡的艾草香味更浓是因为 越高,分子运动越 。剥开粽叶时, 糯米黏在上面,是因为分子间有 。 【答案】 温度 剧烈 吸引力 【解析】[1][2] 分子热运动速度跟温度有关。在沸水中加热的粽子、热水中浸泡的艾草香味更浓是因 为温度越高,分子运动越剧烈。 [3] 分子之间存在相互作用的引力与斥力,剥开粽叶时,糯米黏在上面,是因为分子间有引力。 18.(22-23八年级下·江苏淮安·阶段练习)小明在学习分子动理论时,做了水和酒精混合的实验。 (1)实验时最好应先注入 (选填“水”或“酒精”)至一半位置,再注入另一种液体直至充 满,封闭管口,并将试管反复翻转,使水和酒精充分混合,观察液面位置,发现混合后与混合前相比, 总体积 (选填“变大”、“不变”或“变小”),说明分子间有 ; (2)如图2甲和乙玻璃管长度相同、粗细均匀,甲粗乙细,重复上面实验,则实验现象(即液面下 降的高度) (选填“甲”、“乙”或“甲和乙”)明显。 【答案】 水 变小 间隙 乙 【解析】(1)[1] [2] [3] 因为水的密度比酒精的密度大,故应该先向试管中注入水至一半位置,再注 入酒精直至充满,封闭管口,并将试管反复翻转,使水和酒精充分混合,因为分子间有间隙,所以混 合后的液体与混合前的液体相比,总体积变小。 7 / 37 学科网(北京)股份有限公司(2)[4] 已知玻璃管甲粗乙细,水和酒精混合后的总体积变小,乙图中容器的横截面小,所以乙容器 里面液体体积的变化更明显,即乙容器液面下降的高度更明显。 19.(23-24八年级下·江苏南京·期末)亲爱的同学,请你应用所学的物理知识解答下列问题。 (1)如图甲所示,将两个表面光滑的铅块相互紧压后,会粘在一起,说明 ; (2)小明为了研究液体的扩散现象,先在量筒里装一半清水,再在水下面注入硫酸铜溶液。如图乙 所示,这是小明观察到的溶液分别在实验开始时、静放10日后、静放30日后所呈现的现象,其中图 (选填序号)表示溶液静放10日后的实验现象;如果室温变高,达到此图所示的现象所用的时间将 (选填“缩短”或“延长”),原因是 。 【答案】(1)分子间存在引力 (2) c 缩短 温度越高,分子运动越剧烈 【解析】(1)将两个表面光滑的铅块相互紧压后,铅分子之间互相吸引,所以两个铅块会粘在一起, 说明分子间存在引力。 (2)[1]把硫酸铜溶液注入清水中,硫酸铜溶液和水之间发生扩散现象,因为分子始终不停地做无规 则运动,随着时间的增加,扩散现象越明显,时间越久,硫酸铜溶液和水的界限越模糊,所以“实验 开始时”是图b,“静放10日后”是图c,“静放30日后”是图a。 [2][3]温度越高,分子运动越剧烈,扩散越快,所以如果室温越高,达到乙图所示现象所用的时间将缩 短。 二、摩擦起电两种电荷(共26小题) 20.(23-24八年级下·江苏扬州·期末)小明进行了如下四个与“吸”相关的实验,其中与大气压强无关的 是( ) A.用吸管“吸”取饮料 B.将吸盘“吸”在墙壁上 C.用注射器从瓶子中“吸”取消毒酒精D.跟头发摩擦过的塑料尺“吸”小纸屑 【答案】D 【解析】A.吸管“吸”取饮料,先将管内的空气吸走,导致管内的气压小于外界气压,在大气压的 作用下将饮料压进管内,故A不符合题意; 8 / 37 学科网(北京)股份有限公司B.将吸盘“吸”在墙壁上,是先将吸盘内的空气挤出,导致吸盘内的气压变小,在外界气压的作用 下将吸盘压在墙上,故B不符合题意; C.用注射器从瓶子中“吸”取消毒酒精,先将注射器内的气体排出,导致注射器内的气压变小,在 外界气压的作用下将酒精吸进注射器内,故C不符合题意; D.跟头发摩擦过的塑料尺“吸”小纸屑,是因为塑料尺摩擦过程中带有电荷,能够吸引轻小物体, 因此吸引纸屑,故D符合题意。 故选D。 21.(2024·西藏·中考真题)如图所示,用毛皮摩擦过的橡胶棒靠近静止在空中的轻质小球时,小球远离 橡胶棒。则橡胶棒和小球( ) A.都带正电 B.都带负电 C.橡胶棒带负电,小球带正电 D.橡胶棒带正电,小球带负电 【答案】B 【解析】用毛皮摩擦过的橡胶棒带负电,当用毛皮摩擦过的橡胶棒靠近静止在空中的小球时,小球远 离橡胶棒,说明小球和橡胶棒带同种电荷,则小球也带负电,故ACD不符合题意,B符合题意。 故选B。 22.(2024·四川自贡·中考真题)下列关于电的说法中正确的是( ) A.摩擦起电的实质是创造了电荷 B.电荷的移动形成电流 C.同种电荷相互排斥 D.负电荷定向移动的方向就是电流的方向 【答案】C 【解析】A.摩擦起电的实质是电子的转移,不是创造了电荷,故A错误; B.电荷的定向移动形成电流,故B错误; C.同种电荷相互排斥,异种电荷相互吸引,故C正确; D.把正电荷定向移动的方向规定为电流方向,负电荷定向移动的方向与电流方向相反,故D错误。 故选C。 23.(23-24八年级下·江苏苏州·期中)塑料管和用塑料袋剪成的“章鱼”与毛皮摩擦后靠近,会看到如图 所示的现象。下列有关说法正确的是( ) 9 / 37 学科网(北京)股份有限公司A.塑料管是导体 B.毛皮和“章鱼”摩擦创造了电荷 C.“章鱼”和毛皮对电子的束缚本领不同 D.摩擦后的“章鱼”与毛皮带上了同种电荷 【答案】C 【解析】A.塑料管不容易导电,属于绝缘体,故A错误; B.毛皮和“章鱼”摩擦过程中并没有创造电荷,而是发生了电子的转移,故B错误; CD.“章鱼”与毛皮摩擦,原子核束缚电子的本领不同,束缚本领强的得到电子带负电,束缚本领 弱的失去电子带正电,“章鱼”与毛皮带异种电荷,故C正确,D错误。 故选C。 24.(2024·山东东营·中考真题)甲、乙、丙三个轻质小球用绝缘细线悬挂,相互作用情况如图所示。如 果丙带负电,则甲( ) A.一定带负电 B.一定带正电 C.一定不带电 D.可能带负电 【答案】B 【解析】根据电荷间的相互作用规律可知,同种电荷相互排斥,异种电荷相互吸引;已知丙带负电, 由图可知,乙、丙相互吸引,则乙带正电或不带电;甲、乙相互排斥,则甲、乙均带电且带同种电荷。 综上可知,甲一定带正电,故B符合题意,ACD不符合题意。 故选B。 25.(2024·江苏镇江·中考真题)小华做了一个趣味实验:取两根相同的塑料吸管,分别用细线系住吸管 一端,再将两吸管另一端同时在自己的头发上摩擦起电,悬挂后靠近。她观察到的现象是( ) 10 / 37 学科网(北京)股份有限公司A. B. C. D. 【答案】B 【解析】由于两根吸管都经过了相同的摩擦起电过程,并且它们是由相同的材料制成的,因此它们会 带上相同种类的电荷。在物理学中,同种电荷是相互排斥的。 故选B。 26.(23-24八年级下·江苏徐州·期末)如图所示,两个相同的泡沫小球,一个小球带正电,另一个小球不 带电。用相同的绝缘细线将它们在相隔不远的位置悬挂起来。静止后,小球位置正确的是( ) A. B. C. D. 【答案】D 【解析】物体间力的作用是相互的,带正电的小球可以吸引另一个不带电的小球,故D正确,ABC错 误。 故选D。 27.(2024·内蒙古赤峰·中考真题)如图,用一段细铁丝做一个支架,作为转动轴,把一根中间戳有小孔 (没有戳穿)的饮料吸管放在转动轴上,吸管能在水平面内自由转动。用餐巾纸摩擦吸管使其带电, 下列说法中正确的是( ) A.摩擦起电过程创造了电荷 11 / 37 学科网(北京)股份有限公司B.摩擦后吸管带负电荷,是因为它失去了电子 C.摩擦后吸管能吸引纸屑,是因为吸管有了磁性 D.用餐巾纸摩擦另一根相同的饮料吸管,靠近它会发生排斥现象 【答案】D 【解析】A.摩擦起电的实质是电子的转移,不是创造了电荷,故A错误; B.摩擦后吸管带负电荷,是因为它得到了电子,故B错误; C.摩擦后吸管能吸引纸屑,是因为带电体具有吸引轻小物体的性质,故C错误; D.用餐巾纸摩擦另一根相同的饮料吸管,两根吸管带同种电荷,靠近时相互排斥,故D正 确。 故选D。 28.(2024·福建·中考真题)如图,用轻薄的纸折成小星星,轻放于地面的小钢针上,用与布摩擦过的吸 管靠近,小星星被吸引着转动,此过程中( ) A.摩擦创造了电荷 B.布和吸管带上同种电荷 C.吸管和小星星带上同种电荷 D.吸管带电后能吸引轻小物体 【答案】D 【解析】A.摩擦起电的本质是电荷的转移,而不是创造了电荷,故A不符合题意; B.布和吸管摩擦,失去电子的带正电,得到电子的带负电,所以带上异种电荷,故B不符合题意; C.吸管带了电,小星星带上异种电荷或者不带电,故C不符合题意; D.吸管带电后,小星星被吸引着转动,这说明了带电体能吸引轻小物体,故D符合题意。 故选D。 29.(2024·江苏苏州·中考真题)关于物质结构及相关原理的说法,正确的是( ) A.摩擦起电的过程中产生了电荷 B.卢瑟福发现电子说明原子是可分的 C.验电器的工作原理是同种电荷相互排斥 D.原子核由带正电的质子和带负电的电子组成 【答案】C 【解析】A.摩擦起电的实质是电荷的转移,摩擦起电的过程中没有产生电荷,故A错误; 12 / 37 学科网(北京)股份有限公司B.汤姆生发现电子,说明原子是可再分的,故B错误; C.验电器验证物体是否带电,其原理是同种电荷相互排斥,故C正确; D.原子核由带正电的质子和不带电的中子组成,故D错误。 故选C。 30.(22-23八年级下·江苏南通·期末)如图,用涤纶毛巾摩擦气球表面,将摩擦后的气球靠近水流,发现 水流偏向气球流动。下列说法正确的是( ) A.气球受到重力变小 B.气球对水流有力的作用 C.水流对气球没有力的作用 D.摩擦的方法创造了电荷使气球带了电 【答案】B 【解析】A.重力与物体的质量有关,气球质量不变,因此受到的重力不变,故A错误; BCD.用涤纶毛巾摩擦气球表面,电子在二者之间发生了转移,使气球和毛巾带上了等量异种电荷, 此过程发生了电子的转移,并没有创造电荷。带电体能吸引轻小物体,故将摩擦后的气球靠近水流, 水流会偏向气球流动,说明气球对水流有力的作用,由于力的作用是相互的,因此水流对气球也有力 的作用,故B正确,CD错误。 故选B。 31.(2024·湖北·中考真题)将毛皮摩擦过的橡胶棒接触验电器,能正确表示橡胶棒和验电器金属箔片带 电情况的图是( ) A. B. 13 / 37 学科网(北京)股份有限公司C. D. 【答案】A 【解析】AD.毛皮摩擦过的橡胶棒带负电荷,验电器由于接触带电,所以两金属箔都带上负电荷, 故验电器的金属箔片因为同种电荷相互排斥而张开,故A符合题意,D不符合题意; BC.由于毛皮摩擦过的橡胶棒带负电荷,所以图中的橡胶棒带的电荷错误,故BC不符合题意。 故选A。 32.(2024·青海·中考真题)在火箭与导弹领域,手工制造固体燃料依然十分重要,火药雕刻技术也直接 决定了一个国家武器装备的国防实力。首先它对精度的要求极高,又因为固体燃料极其敏感,静电、 不合理的摩擦,甚至刀具触碰到金属壳等都能导致其燃爆。以徐立平为代表的“大国工匠”以精湛的 火药雕刻技术让一件件大国重器华丽绽放。结合以上材料,下列措施中能有效防止静电的是( ) ①刀具触碰到金属壳 ②佩戴防静电腕带 ③触摸导静电棒释放静电 ④必须穿防静电服 A.①②③ B.②③④ C.①②④ D.①③④ 【答案】B 【解析】①刀具触碰到金属壳会摩擦起电,不能有效防止静电;②佩戴防静电腕带,可以有效防止静 电;③触摸导静电棒释放静电,可以防止电荷的积聚,有效防止静电;④穿防静电服,可以减少摩擦 起电现象,有效防止静电。故B符合题意,ACD 不符合题意。 故选B。 33.(2023·江苏常州·中考真题)“金陵金箔”是国家级非物质文化遗产,手工打造的金箔轻薄柔软,不 能用手直接拿取,正确拿取的方法是:手持羽毛轻轻扫过纸垫,如图甲所示;再将羽毛靠近工作台上 方的金箔,羽毛即可将金箔吸住,如图乙所示,羽毛扫过纸垫的结果和吸住金箔的原因,分别是( ) 14 / 37 学科网(北京)股份有限公司A.摩擦使得羽毛和纸垫带异种电荷;异种电荷相互吸引 B.摩擦使得羽毛和纸垫带异种电荷;带电物体吸引轻小物体 C.摩擦使得羽毛和纸垫带同种电荷;异种电荷相互吸引 D.摩擦使得羽毛和纸垫带同种电荷;带电物体吸引轻小物体 【答案】B 【解析】摩擦起电就是使电子从一个物体转移到另一个物体,得到电子带负电,失去电子带正电,使 物体各自带上了等量的异种电荷。手持羽毛轻轻扫过纸垫,羽毛与纸垫摩擦,根据摩擦起电的原因可 知,羽毛和纸垫带上了异种电荷,羽毛带了电,靠近金箔,因带电体会吸引轻小物体,因此羽毛可以 将金箔吸住,故ACD不符合题意,B符合题意。 故选B。 34.(2024·内蒙古·中考真题)塑料尺与头发摩擦后能吸起纸屑,说明塑料尺带了 。饮料吸管 和餐巾纸摩擦后,吸管带负电,说明摩擦过程中 (选填“吸管”或“餐巾纸”)失去电子。 【答案】 电荷 餐巾纸 【解析】[1]带电体具有吸引轻小物体的性质,摩擦后的塑料尺能吸引纸屑,说明塑料尺带了电荷。 [2]摩擦起电的实质是电子发生了转移,吸管带负电是因为得到了电子,故餐巾纸因失去电子而带正电。 35.(2024·湖南长沙·中考真题)我国学者王充在《论衡》中记有“顿牟掇芥”,意思是摩擦过的琥珀能 吸引像草芥一类的轻小物体。用毛皮摩擦过的琥珀因为得到电子而带 电,两个带有同种电 荷的琥珀靠近时会相互 . 【答案】 负 排斥 【解析】[1]毛皮与琥珀摩擦时,毛皮失去电子带正电,琥珀得到电子带负电。 [2]电荷间的相互作用规律:同种电荷相互排斥,异种电荷相互吸引;所以两个带有同种电荷的琥珀靠 近时会相互排斥。 36.(2024·重庆·中考真题)用相同织物分别摩擦两个相同气球,用其中一个气球靠近碎纸屑,发现碎纸 屑被吸引起来,如图所示,说明摩擦可以使气球带上 ;然后将两个气球靠近,发现它们会相互 。 15 / 37 学科网(北京)股份有限公司【答案】 电 排斥 【解析】[1][2] 用相同织物分别摩擦两个相同气球,发生摩擦起电现象,气球会变成带电体,能够吸 引轻小物体,所以用其中一个气球靠近碎纸屑,发现碎纸屑被吸引起来;两个气球因带同种电荷相互 排斥。 37.(2024·江苏无锡·一模)小明将塑料尺在头发上擦一擦后再靠近小纸屑,小纸屑“粘”到了塑料尺上, 这是因为带电体 ,再将塑料尺靠近头发,头发“粘”到塑料尺上(如图所示),这是因 为塑料尺和头发带上了 电荷(选填“同种”或“异种”)。 【答案】 能吸引轻小物体 异种 【解析】[1]头发和塑料尺摩擦后,塑料尺带上了电荷,而带电体可以吸引轻小物体,所以小纸屑 “粘”到了塑料尺上。 [2]由于头发和塑料尺束缚电子的能力不同,所以当塑料尺与头发摩擦后会带上异种电荷,由于异种电 荷相互吸引,所以头发“粘”到塑料尺上。 38.(23-24八年级下·江苏无锡·期中)如图所示,飞机上的着地轮装有搭地线或者用 (选填“导 电”或“绝缘”)橡胶做轮胎,是为了及时把飞机在飞行过程中与空气发生摩擦而带上的电荷转移给 大地,以免发生放电现象。摩擦起电时,束缚核外电子能力 (选填“强”或“弱”)的一方会 失去电子从而带正电。 【答案】 导电 弱 16 / 37 学科网(北京)股份有限公司【解析】[1]飞机在飞行过程中与空气发生摩擦,电荷发生转移而使飞机带上电荷,为了避免发生放电 现象,应将飞机带的电荷转移给大地,所以应用导电橡胶做轮胎。 [2]摩擦起电时,电子会进行转移,束缚核外电子能力弱的一方会失去电子从而带正电,束缚核外电子 能力强的一方会得到电子从而带负电。 39.(2024·山东淄博·中考真题)小明模拟静电复印原理。他先用丝绸快速摩擦整块塑料板(图甲),使 塑料板 ,再用手指在塑料板上写了一个“中”字(图乙),然后在塑料板上均匀地撒上一层 细小干木屑,将塑料板缓慢竖起,在重力作用下干木屑下落,“中”字就在塑料板上显现出来了(图 丙),“中”字能显现出来的原因:一是摩擦过的塑料板能 ,二是 。 【答案】 带电 吸引轻小物体 人体是导体 【解析】[1]他先用丝绸快速摩擦整块塑料板(图甲),电子在丝绸和塑料板之间发生转移,使塑料板 带电。 [2]由带电物体具有吸引轻小物体的性质可知,经过摩擦过的塑料板能吸引轻小的物体。 [3]再用手指在塑料板上写了一个“中”字,因为人体是导体,可将电荷导走,这样木屑就能够掉下来。 40.(22-23八年级下·江苏无锡·期末)在学习了物质的物理属性之后,小明拿出钥匙在塑料尺上刻画,看 是否能留下划痕,这是为了比较它们的 这一物理属性;然后他将塑料尺放在头发上摩擦, 发现可以吸引桌上的小纸屑,这个现象说明带电体具有 的性质;部分纸屑被吸引后又被 弹开,其原因是 。 【答案】 硬度 吸引轻小物体 同种电荷相互排斥 【解析】[1]小明拿出钥匙在塑料尺上刻画,看是否能留下划痕,这是为了比较它们的硬度这一物理属 性。 [2]然后他将塑料尺放在头发上摩擦,发现可以吸引桌上的小纸屑,这个现象说明带电体具有轻小物体 的性质。 [3]部分纸屑被吸引后又被弹开,其原因是纸屑带同种电荷,同种电荷相互排斥,所以被弹开。 41.(23-24八年级下·江苏盐城·期中)窗花是由PVC静电薄膜制成,因为带电体具有 轻小物体 的性质,所以能轻松地“粘”在玻璃表面;因为受到 力的作用,窗花最终会落下;若将窗花 在玻璃上轻轻摩擦后便可以重新“粘”上,这时被摩擦的玻璃表面和窗花带上了 种电荷。 【答案】 吸引 重 异 17 / 37 学科网(北京)股份有限公司【解析】[1]窗花是由PVC静电薄膜制成,能轻松地“粘”在玻璃表面,由于带电体具有吸引轻小物 体的性质。 [2]地球附近的物体都受到重力的作用,重力的方向始终是竖直向下的,窗花最终会落下,这是因为窗 花受到重力的作用。 [3]当窗花与玻璃轻轻摩擦后,由于摩擦起电,这时被摩擦的玻璃表面和窗花带上了异种电荷,异种电 荷相互吸引,窗花便可以重新“粘”上。 42.(23-24八年级下·江苏常州·期中)我们知道,自然界中只存在两种电荷:一种与用丝绸摩擦过的玻璃 棒所带的电荷相同,称为正电荷;一种与毛皮摩擦过的橡胶棒所带的电荷相同,称为负电荷。为了进 行本规律的探究,教材中安排了如图所示的三个实验活动: 实验1:将两根用丝绸摩擦过的有机玻璃棒相互靠近,观察现象; 实验2:将两根用毛皮摩擦过的橡胶棒相互靠近,观察现象; 实验3:将用丝绸摩擦过的有机玻璃棒与用毛皮摩擦过的橡胶棒相互靠近,观察现象。 问题: (1)实验1中观察到的现象是 ,可产生的合理猜想是 ; (2)进行实验2的目的是 ; (3)结合实验1和实验2,由实验3能判断出玻璃棒和橡胶棒带电情况是 ;并能推断 出自然界中 两种电荷,而且异种电荷相互 ; (4)为证明自然界中只存在两种电荷,还需要设计的关键实验环节是: 步骤1: ; 步骤2: ; 步骤3: 。 (5)根据你设计的实验环节,请分析论证实验过程中可能出现的现象和得出的结论: 。 【答案】 机玻璃棒相互排斥 同种电荷相互排斥 多次实验寻找普遍规律,进一步验证 同种电荷相互排斥 带异种电荷 至少存在 吸引 选择与上述实验不同的材料,摩擦 使其带电 将带电物体分别与带电有机玻璃棒和橡胶棒靠近,观察现象 寻找其他材料,重复 18 / 37 学科网(北京)股份有限公司步骤1、2 见解析 【解析】(1)[1][2]丝绸摩擦过的有机玻璃棒带正电,将两根用丝绸摩擦过的有机玻璃棒相互靠近, 会观察到吊起来的有机玻璃棒向后远离,说明同种电荷相互排斥。 (2)[3]毛皮摩擦过的橡胶棒带负电,则进行实验2的目的是换用不同电荷的橡胶棒相靠近,进行多 次实验,寻找普遍规律,进一步验证同种电荷相互排斥。 (3)[4][5][6]由1、2实验可知同种电荷相互排斥,实验3中玻璃棒与橡胶棒相靠近,说明带电情况不 是同种电荷,所以玻璃棒与橡胶棒带异种电荷,且异种电荷相吸引;说明自然界中至少存在两种电荷。 (4)[7][8][9]步骤1:选择与上述实验不同的材料,摩擦使其带电;步骤2:将带电物体分别与带电 有机玻璃棒和橡胶棒靠近,观察现象;步骤3:寻找其他材料,重复步骤1、2。 (5)[10]若观察到大量其他带电材料如果与玻璃棒吸引,就会与橡胶棒排斥,而与橡胶棒吸引,就会 与玻璃棒排斥,不存在既与玻璃棒吸引也有橡胶棒吸引的带电情况,由此可以说明自然界中只存在两 种电荷。 43.(23-24八年级下·江苏南京·期中)(1)图中图a装置叫做 ,图a,b装置它们都可以用来检验 某物体是否带电,图b装置当带电的塑料棒靠近轻质铝箔条的一端时,铝箔条会偏转,这是因为 ; (2)如图,把一个带电的物体靠近用毛皮摩擦过的橡胶棒时,它们互相排斥,这个带电物体所带的 是 (选填“正”或“负”)电荷,这是因为这个带电体在摩擦的过程中 (选填“得到” 或“失去”)电子; (3)教室里的吊扇使用一段时间后,扇叶上有很多灰尘,这是由于扇叶在转动中与空气 ,带 电后吸附了灰尘,此时灰尘对扇叶 (选填“有”或“没有”)吸引力。吊扇开启正常工作时, 天花板对吊扇的拉力 电扇的重力(选填“大于”、“等于”或“小于”); (4)如甲图所示,在金属框架的A、B间连有棉线,棉线中间还有一个棉线圈Q。先使金属框架布满 19 / 37 学科网(北京)股份有限公司肥皂膜,然后将P和Q两部分肥皂膜刺破,棉线圈的形状将转变为乙图中的 (填字母编号)。 【答案】验电器 带电体具有吸引轻小物体的性质 负 得到 摩擦 有 小于 C 【解析】(1)[1] 图中图a装置叫做验电器,可以检测物体是否带电。 [2] 因为带电体具有吸引轻小物体的性质,所以图b装置当带电的塑料棒靠近轻质铝箔条的一端时, 铝箔条会偏转。 (2)[3][4] 同种电荷相互排斥。把一个带电的物体靠近用毛皮摩擦过的橡胶棒时,它们互相排斥,用 毛皮摩擦过的橡胶棒带负电,所以这个带电物体所带的是负电荷;摩擦起电的实质是电子的转移,得 到电子带负电,失去电子带正电,所以这个带电体在摩擦的过程中得到电子。 (3)[5][6] 教室里的吊扇使用一段时间后,扇叶上有很多灰尘,这是由于扇叶在转动中与空气摩擦带 了电,而带电体具有吸引轻小物体的性质,所以吸附了灰尘,力的作用是相互的,所以此时灰尘对扇 叶也有吸引力。 [7] 吊扇开启正常工作时,上方流速快,压强小,下方流速慢,压强大,在气压差作用下吊扇受到向 上的升力,使得天花板对吊扇的拉力小于电扇的重力。 (4)[8] 刺破P处的肥皂膜后,由于表面张力的作用,AB线下方的薄膜面积会缩小,从而线AB被 拉紧,呈现C或D所示的形状;当刺破Q处时,绳套会受到周围液体分子的作用力,使绳套尽可能的 被向各个方向拉伸,从而呈现C所示的形状。故选C。 44.(2024·甘肃兰州·中考真题)阅读短文,回答问题。 火花放电 在干燥的冬季,如果一只猫在你的身上蹭来蹭去,那么在猫毛和你的身体间就会有电荷的转移,你的 身上就会聚集一定数量的负电荷。这些负电荷需要一段较长的时间才能和地面等物体慢慢导走。但是, 如果你不等待。立即将手指靠近水龙头,就会出现令人难受的电火花,手指上就会有针刺般的疼痛感。 如果你在干燥且黑暗的环境里抚摸猫,不但会听到哔里啦啦的响声,还会看到火花。请注意,你抚摸 过猫毛的手指千万不要立即靠近猫的鼻子,以免产生火花放电,让猫受到惊吓而攻击你。 (1)在放电的过程中,电子是从 (选填“手指飞向水龙头”或“水龙头飞向手指”)。 (2)请你解释抚摸过猫毛的手指靠近猫鼻子时,容易产生火花放电的原因: 。 【答案】 手指飞向水龙头 带电体靠近导体时更容易发生放电现象 20 / 37 学科网(北京)股份有限公司【解析】[1]摩擦后人体带有一定量的负电荷,在放电过程中,是带负电的电子发生了转移,故电子从 手指飞向水龙头。 [2]根据题意可知,抚摸过猫毛的手指带有一定的电荷,这些负电荷需要一段较长的时间才能和地面等 物体慢慢导走。若手指立即靠近猫的鼻子,由于猫的鼻子是导体,手指带有的电荷会迅速通过猫的鼻 子导走,形成较大的电流,从而产生火花放电。 45.(23-24八年级下·江苏苏州·阶段练习)阅读短文,回答问题。 在我国随着人民生活水平的提高,汽车开始进入普通百姓家庭。小明同学家买了一辆崭新的汽车,部 分相关参数配置如下表所示: 参数 全身质 1200kg 油箱容积 50mL 理论油耗 6L/10km 量 全身长 4269mm 车身宽度 1686mm 车身高度 1492mm 度 (1)在加油站时,小明闻到汽油味,这是由于汽油易发生 (填物态变化名称)。加油站规定 工作人员在上班时间不能穿化纤布料做的衣服,这是因为化纤布料反复摩擦后容易发生 现象, 存在火灾隐患; (2)2014年3月,发改委对汽油价格进行了微小调整。和大多数物质一样,汽油也有热胀冷缩的性 质,随着气温的上升,汽油密度会 (“变大”或“变小”),受此因素影响,在每吨汽油价格 不变的情况下,每升汽油的价格应 (“上调”或“下调”)。 (3)昨晚汽油每吨上调300元,小明到加油站加汽油,加满一箱40L汽油比调价前多花9.84元,据 此估算汽油的密度为 。 【答案】 汽化 摩擦起电 变小 下调 0.82×103kg/m3 【解析】(1)[1]小明闻到汽油味,是因为汽油是液态的很容易变为气态,即汽化现象。 [2]加油站规定工作人员在上班时间不能穿化纤布料做的衣服,因为化纤布料容易发生摩擦起电现象, 容易发生火灾。 (2)[3]随着气温的上升,汽油的体积变大,在质量不变的情况下,由 可知,密度变小。 [4]由公式m=ρV知道,汽油密度变小,相同体积的汽油质量减少,所以每升汽油价格下调。 (3)[5]由题意可知,汽油每吨上调300元,则上调1元对应汽油的质量 加满一箱40L汽油比调价前多花9.84元,则上调1元对应汽油的体积 21 / 37 学科网(北京)股份有限公司汽油的密度 三、探索更小的微粒(共9小题) 46.(2024·广东·中考真题)在如图所示的原子模型中,a是( ) A.原子核 B.质子 C.中子 D.电子 【答案】D 【解析】原子是由原子核和核外电子组成的,原子核又是由质子和中子组成的,由原子结构示意图可 知,a位于最外层,是电子,故ABC不符合题意,D符合题意。 故选D。 47.(2024·新疆·中考真题)下列各组粒子中,能构成原子的是( ) A.质子、中子 B.中子、电子 C.原子核、中子 D.原子核、电子 【答案】D 【解析】原子由带正电的原子核和带负电的核外电子组成,原子核由带正电的质子和不带电的中子组 成。 故选D。 48.(2024·上海·中考真题)在一个氧原子中,带负电的粒子是( ) A.电子 B.氧原子 C.质子 D.中子 【答案】A 【解析】原子是由带负电的电子和原子核组成的,原子核又是由带正电的质子和不带电的中子构成的, 所以一个氧原子带负电的粒子是电子,故A符合题意,BCD不符合题意。 故选A。 22 / 37 学科网(北京)股份有限公司49.(2024·江苏泰州·二模)知识梳理有助于我们对已学知识的巩固,如图是某同学学习物质结构层次后, 以氧气为例进行的梳理,下列选项中与a、b、c对应的是( ) A.原子、原子核、核外电子 B.原子核、原子、核外电子 C.原子、核外电子、原子核 D.核外电子、原子核、原子 【答案】A 【解析】由示意图可知,质子和中子构成了b,而质子和中子构成了原子核,所以b为原子核,原子 核和核外电子构成了原子,所以c是核外电子,原子构成了分子,所以a是原子。故A符合题意, BCD不符合题意。 故选A。 50.(23-24九年级上·江苏泰州·期末)科学方法是学习物理的重要途径,为了说明“相互作用的分子也具 有势能”,课本引入“形变的弹簧具有势能”这一实例,这属于科学方法中的( ) A.模型法 B.类比法 C.控制变量法 D.等效替代法 【答案】B 【解析】将形变的弹簧具有势能和相互作用的分子也具有势能进行对比是用的类比法,故B符合题意, ACD不符合题意。 故选B。 51.(23-24八年级下·江苏泰州·期末)下列科学方法运用的实例中,说法错误的是( ) A.探究阻力对物体运动的影响,运用了推理法 B.将摩擦力分为滑动摩擦力和静摩擦力,运用了类比法 C.利用弹簧测力计测量物体重力,运用了转换法 D.了解原子的核式结构,运用了建立模型法 【答案】B 【解析】推理法是在实验基础上经过概括、抽象、推理得出规律的一种研究问题的方法;类比法是指 由一类事物所具有的某种属性,可以推测与其类似的事物也应具有这种属性的推理方法;物理学中对 23 / 37 学科网(北京)股份有限公司于一些看不见摸不着的现象或不易直接测量的物理量,通常用一些非常直观的现象去认识或用易测量 的物理量间接测量,这种研究问题的方法叫转换法; 通过模型来揭示原型的形态、特征和本质的方 法称为模型法;模型法借助于与原型相似的物质模型或抽象反映原型本质的思想模型,间接地研究客 体原型的性质和规律。探究阻力对物体运动的影响,运用了推理法;将摩擦力分为滑动摩擦力和静摩 擦力,运用了分类法;利用弹簧测力计测量物体重力,运用了转换法;了解原子的核式结构,运用了 建立模型法,故ACD正确,不符合题意;B错误,符合题意。 故选B。 52.(2024·江苏常州·中考真题)壁画所处的环境相对封闭、幽暗、潮湿,易滋生微生物,导致壁画受损。 为此,中国航天科技集团研制出机器人,机器人高速喷射带负电的粒子杀灭微生物,从而保护壁画。 该粒子可能是( ) A.电子 B.原子核 C.质子 D.中子 【答案】A 【解析】原子由原子核和核外电子组成,原子核由质子和中子组成,质子带正电荷,中子不带电,因 此原子核对外显示带正电,核外电子带负电荷,因此机器人高速喷射带负电的粒子可能是电子,故A 符合题意,BCD不符合题意。 故选A。 53.(2024·江苏南通·中考真题)太阳喷射大量带电微粒进入大气层会引起地磁暴,影响通信、导航的运 行。太阳喷射的带电微粒可能是( ) A.中子、电子 B.质子、中子 C.分子、原子 D.质子、电子 【答案】D 【解析】AB.中子不带电,故AB不符合题意; C.分子和原子不显电,故C不符合题意; D.质子带正电,电子带负电,故D符合题意。 故选D。 54.(2024·江苏徐州·中考真题)2023年诺贝尔物理学奖授予阿秒激光的研究,1阿秒等于10-18秒,阿秒 激光可以帮助科学家观测原子中做超快速运动的( ) A.原子核 B.质子 C.中子 D.电子 【答案】D 【解析】原子是由原子核与核外电子组成的,核外电子绕原子核高速运动;原子核由质子和中子构成, 则阿秒激光可以帮助科学家观测原子中做超快速运动的核外电子,故D符合题意,ABC不符合题意。 24 / 37 学科网(北京)股份有限公司故选D。 55.(2024·山东济南·中考真题)在 粒子散射实验的基础上,提出了原子核式结构模型的科学家是( ) A.阿伏加德罗 B.卢瑟福 C.汤姆孙 D.道尔顿 【答案】B 【解析】在 α 粒子散射实验的基础上,提出了原子核式结构模型的科学家是卢瑟福,他通过实验发 现了原子核的存在,并提出了原子核式结构模型,即原子由原子核和核外电子组成;阿伏加德罗、汤 姆孙和道尔顿分别在其他领域做出了重要贡献,但与原子核式结构模型的提出无关,故B符合题意, ACD不符合题意。 故选B。 56.(23-24八年级下·江苏泰州·期末)探索微观世界历程中,科学家不断发现新微粒,逐步揭开物质世界 的奥秘。下列科学家及其发现微粒对应的是( ) A.卢瑟福 电子 B.盖尔曼 质子 C.汤姆生 夸克 D.查德威克 中子 【答案】D 【解析】AB.卢瑟福通过α粒子轰击氮核发现了质子,故AB不符合题意; C.汤姆生研究阴极射线时发现了电子,故B不符合题意; D.查德威克通过α粒子轰击铍核发现了中子,故D符合题意; 故选D。 57.(23-24八年级下·江苏连云港·期中)如图所示为三个轻质小球相互靠近时的现象,如果甲带正电,则 丙 (选填“一定”“可能”或“不可能”)带负电;然后用不同材料的物体相互摩擦,发 现若与毛皮摩擦过的橡胶棒相吸引的,一定与丝绸摩擦过的玻璃棒相 ,由此说明自然界中 只存在 种电荷。 【答案】 一定 排斥 两 【解析】[1]同种电荷相互排斥,异种电荷相互吸引。由图可知,乙和丙相互排斥,说明两者带同种电 荷,其中甲和乙相互吸引,且甲带正电,所以乙带负电,故丙一定带负电。 [2][3]用丝绸摩擦过的玻璃棒所带的电荷叫做正电荷,用毛皮摩擦过的橡胶棒带负电荷,则经摩擦后的 25 / 37 学科网(北京)股份有限公司物体与毛皮摩擦过的橡胶棒相吸引,说明该物体经摩擦后带正电,其与丝绸摩擦过的带正电的玻璃棒, 一定相互排斥,由此说明了自然界中只存在两种电荷,即正电荷和负电荷。 58.(23-24八年级下·江苏无锡·期中)科学家们经常用模型来描述非常庞大或者极其微小的事物结构。 (1)用如图所示的模型来描述物质常见的三态,其中液体分子排列模型对应 图,分子引 力最大的是 图; (2)物理学家卢瑟福建立了类似行星绕日的原子核式结构,其中太阳与原子结构中 类似。 【答案】(1) 乙 甲 (2)原子核 【解析】(1)[1][2]固态物质中,分子排列十分紧密,分子间有强大的作用力,所以固体具有一定的 形状和体积。液态物质中,分子没有固定的位置,运动比较自由,粒子间的作用力比固体的小,所以 液体没有固定的形状,具有流动性,但有一定的体积。气态物质中,分子极度散乱,间距很大,并且 向四面八方运动,粒子间的作用力极小,容易被压缩,所以气体具有流动性,没有固定的形状也没有 确定的体积。分析图可知:甲图分子排列十分紧密,是固体分子的排列模型;乙图分子排列没有固定 的位置,比较松散,是液体分子的排列模型;丙图分子排列分子极度散乱,间距很大,是气体分子的 排列模型,分子引力最大的是甲图。 (2)卢瑟福建立了原子的核式结构模型,认为电子在绕着位于中心的原子核转动,好似行星绕着太 阳转动一样。 59.(23-24八年级下·江苏南京·期中) 发现了电子,揭示了原子是可分的。原子的中心有个很小 的核,叫原子核,原子核是由带 电的 和不带电的 组成。如表所示,是部分 物质的原子核对电子束缚能力强弱物体的排序表: 原子核束缚核外电子的能力 有机玻 金 普通玻璃 毛皮 丝绸 纸 硬橡胶 石蜡 涤纶衣物 硬塑料电子 璃 属 (1)摩擦起电的实质是 的转移; (2)表中从左往右原子核束缚核外电子的能力是 ; A.由强变弱 B.由弱变强 (3)根据你的生活经验判断,下列事例不容易产生静电的是 。 A.干燥的天气穿羽绒服 B.使用加湿器增加房间湿度 26 / 37 学科网(北京)股份有限公司【答案】 汤姆生 正 质子 中子 电子 B B 【解析】[1]1897年由英国物理学家汤姆生在研究阴极射线时发现了电子,揭示了原子是可分的。 [2][3][4]原子是由原子核和核外电子组成的,原子核由带正电的质子和不带电的中子组成的。 (1)[5]摩擦起电的实质是电子从一个物体转移到另一个物体,并没有创造电荷。束缚电子能力强的 物体容易得到电子,带负电;束缚电子能力弱的物体容易失去电子,带正电。 (2)[6]根据与丝绸摩擦过的玻璃棒带正电,与毛皮摩擦过的橡胶板带负电,可知玻璃对电子的束缚 能力小于丝绸,所以由图知道,有机玻璃的束缚电子的能力最弱,硬塑料梳子束缚电子的能力最强, 故表中从左往右原子核束缚核外电子的能力是由弱变强。 故选B。 (4)[7]A.干燥的天气穿羽绒服容易得失电子,并且羽绒服是绝缘体,容易产生静电,故A不符合 题意; B.水是导体,使用加湿器增加房间湿度,不容易产生静电,故B符合题意。 故选B。 四、宇宙探秘(共19小题) 60.(22-23八年级下·江苏宿迁·期末)下列关于“粒子和宇宙”的说法中,正确的是( ) A.摩擦起电创造了电荷 B.固体很难被压缩是由于固体分子间没有空隙 C.太阳是太阳系的中心,它永远是恒定不动的 D.大多数宇宙科学家认定宇宙起源于大爆炸 【答案】D 【解析】A.摩擦起电的实质不是创造了电荷,而是电荷的转移,故A错误; B.固体很难被压缩是由于固体分子间有相互作用的斥力,故B错误; C.太阳是太阳系的中心,但它不是永远恒定不动的,因为宇宙中绝对不动的物体是不存在的,故C 错误; D.关于宇宙的起源,人类现在认同“大爆炸”理论;该理论认为,宇宙在最开始时是炽热的“原始 火球”,距今约137亿年前,原始火球发生了大爆炸,故D正确。 61.(23-24八年级下·江苏宿迁·阶段练习)关于粒子和宇宙,下列说法正确的是( ) A.卢瑟福发现电子的价值是说明原子可分 B.质子带正电,中子不带电,电子带负电 C.汤姆生建立类似行星绕日的核式原子结构模型 27 / 37 学科网(北京)股份有限公司D.太阳是宇宙的中心 【答案】B 【解析】A.汤姆生发现了电子,说明原子是可分的,故A错误; B.原子中,质子带正电,中子不带电,电子带负电,故B正确; C.卢瑟福建立了原子的核式结构模型,故C错误; D.太阳是太阳系的中心,不是宇宙的中心,故D错误。 故选B。 62.(23-24八年级下·江苏连云港·期中)下列关于宇宙的说法,正确的是( ) A.哥白尼提出了“地心说” B.太阳是恒星,它是银河系的中心 C.恒星的位置也是相对变化的 D.宇宙是一个无层次的杂乱的天体结构系统 【答案】C 【解析】A.哥白尼创立的是日心说,故A错误; B.太阳是恒星,太阳是太阳系的中心,不是银河系的中心。故B错误; C.运动和静止是相对的。因此若以地球为参照物,恒星也在高速地运动,恒星的位置也是相对变化 的,故C正确; D.宇宙是一个有层次的天体结构系统,故D错误。 故选C。 63.(23-24八年级下·江苏·期中)关于宇宙,下列说法正确的是( ) A.在天文学中,用“光年”作为时间单位 B.“谱线红移”现象说明星系在远离我们而去 C.太阳是宇宙的中心,地球是太阳系的一颗行星 D.恒星是静止不动的 【答案】B 【解析】A.光年是光在一年内所走的路程,所以光年是长度单位,而不是时间单位,故A错误; B.科学家用仪器观察星系发出的光,发现星系的光谱向长波方向偏移,称之为谱线红移,这一现象 说明星系在远离我们而去,故B正确; C.地球绕太阳转动,是太阳系的一颗行星,太阳是太阳系的中心,不是宇宙的中心,故C错误; D.一切物体都在运动,只是选择的参照物不同,故D错误。 故选B。 64.(23-24八年级下·江苏淮安·期中)关于粒子和宇宙,下列说法正确的是( ) A.铁块很难被压缩,说明分子间有排斥力 28 / 37 学科网(北京)股份有限公司B.太阳是恒星,它是银河系的中心 C.汤姆生通过研究,建立了原子核式结构模型 D.丝绸摩擦过的玻璃棒所带的正电荷,是从丝绸上转移来的 【答案】A 【解析】A.分子间存在相互作用的引力和斥力,铁块很难被压缩,说明分子间有排斥力,故A正确; B.太阳是恒星,但它不是银河系的中心,是太阳系的中心,故B错误; C.卢瑟福通过研究,建立了原子核式结构模型,故C错误; D.不同物质在摩擦时,正电荷不发生转移,丝绸摩擦过的玻璃棒带正电是因为玻璃棒的电子转移到 了丝绸上,故D错误。 故选A。 65.(23-24八年级下·江苏常州·期中)关于粒子和宇宙,下列说法正确的是( ) A.在水分子、氢原子核和电子中,直径最小的是电子 B.原子的核式结构模型认为原子是由质子和中子构成的 C.破镜很难重圆,说明分子间有斥力 D.太阳是恒星,它是银河系的中心 【答案】A 【解析】A.分子由原子构成,原子由原子核和核外电子构成,原子核的直径大于核外电子的直径, 故在水分子、氢原子核和电子中,直径最小的是电子,故A正确; B.原子的核式结构模型认为原子是由原子核和核外电子构成的,故B错误; C.破镜不能重圆,说明破碎的镜子碎片距离大于分子间距,引力和斥力都很小,所以无法还原,故 C错误; D.太阳是恒星,它是太阳系的中心,不是银河系的中心,故D错误。 故选A。 66.(23-24八年级下·江苏南京·期中)关于粒子和宇宙,下列说法正确的是( ) A.在天文学中,用“光年”作为时间单位 B.“破镜难圆”说明分子间有斥力 C.分子、原子、病毒、质子、夸克是按照尺度由大到小的顺序排列的 D.英国物理学家汤姆森发现了电子,从而说明原子是可分的 【答案】D 【解析】A.在天文学中,用“光年”作为长度单位,故A错误; B.破镜难圆说明当分子间距离过大时,分子间作用力可以忽略,故B错误; 29 / 37 学科网(北京)股份有限公司C.病毒、分子、原子、质子、夸克的尺寸一个比一个小,故C错误; D.英国物理学家汤姆森发现了电子,从而说明原子是可分的,卢瑟福建立了原子核式结构模型,故 D正确。 故选D。 67.(23-24八年级下·江苏南通·期中)下列关于粒子与宇宙说法正确的是( ) A.液体很难被压缩是因为液体分子间没有间隙 B.原子核是由质子和中子构成的 C.破镜难圆说明分子间斥力大于引力 D.地球绕太阳运行,太阳是宇宙的中心 【答案】B 【解析】A.液体很难被压缩是因为液体分子间存在斥力,故A错误; B. 原子由原子核和核外电子组成,原子核由质子和中子构成,质子带正电,中子不带电,故B正确; C.破镜难圆说明当分子间距离过大时,分子间作用力可以忽略,故C错误; D.地球绕太阳运行,宇宙没有中心,故D错误。 故选B。 68.(23-24八年级下·江苏泰州·阶段练习)关于粒子和宇宙,下列认识中正确的是( ) A.扫地时灰尘飞舞能说明分子在做无规则运动 B.海绵容易被压缩能说明分子间有空隙 C.物理学家汤姆生发现了电子从而说明原子核是可分的 D.宇宙是一个有层次的天体结构系统,它是有起源的、膨胀的和演化的 【答案】D 【解析】A.扩散现象是分子运动的结果,扫地时灰尘飞舞,是物质的机械运动,不是分子在运动, 分子运动是肉眼看不见的,故A错误; B.海绵能够被压缩,是因为海绵的多孔结构,不能说明分子间有空隙。故B错误; C.物理学家汤姆生发现了电子,从而说明原子是可分的,故C错误; D.宇宙是由物质组成的,宇宙中有很多的星系,星系中又有很多星体,宇宙是一个有层次的天体结 构系,并且处于不断的演化过程中,它是有起源的、膨胀的和演化的,故D正确。 故选D。 69.(23-24八年级下·江苏南京·阶段练习)关于粒子和宇宙,下列说法正确的是( ) A.破镜不能重圆,是因为分子间存在排斥力 B.宇宙是一个有层次的天体系统,恒星是静止不动的 C.光年是长度单位,宇宙由很多星系组成,银河系是其中之一 D.电子的尺度比原子的小,与玻璃棒摩擦过的丝绸失去电子带负电 30 / 37 学科网(北京)股份有限公司【答案】C 【解析】A.破镜不能重圆,主要是因为分子间的距离过大,分子间的作用力不能发挥作用,故A错 误; B.运动是相对而言的,没有任何物体是绝对不动的,选择了不同的参照物,物体的运动情况就是不 同的,恒星相对于从它旁边运动过的流星而言就是运动的,故B错误; C.光年是指光在一年内传播的距离,是长度的单位;宇宙由很多星系组成,银河系是其中之一,故 C正确; D.根据原子的结构可知,电子的尺度比原子的小;玻璃棒和丝绸摩擦,玻璃束缚电子的本领弱,摩 擦过程中,容易失去电子,因缺少电子带正电;丝绸束缚电子的本领强,摩擦过程中,因得到多余电 子带等量的负电,故D错误。 故选C。 70.(23-24八年级下·江苏淮安·期中)关于粒子与宇宙,下列说法正确的是( ) A.宇宙是一个有层次的天体结构系统,恒星是绝对静止的 B.哥白尼提出日心说,证实太阳是宇宙的中心 C.原子核是由带正电的质子和带负电的中子构成的,所以原子核不显示电性 D.汤姆逊发现了电子,从而说明原子是可以再分的 【答案】D 【解析】A.到目前为止人类能够观测到的宇宙,被称为总星系,由此逐层划分为超星系团、星系团、 星系,星系中还包含恒星、行星、矮行星、小行星、卫星、彗星等天体,宇宙是一个有层次的天体结 构系统,宇宙中没有相互绝对静止的天体,因为任意一个星系自身有旋转,星系和星系之间更不可能 静止。故A错误; B.哥白尼提出日心说,日心说认为太阳是宇宙的中心,而不是地球,该观点不完全正确,太阳并不 是宇宙的中心,而是太阳系的中心,故B错误; C.原子核是由带正电荷的质子和不带电的中子组成的,原子核带正电,故C错误; D.汤姆逊发现了电子,从而说明原子是可以再分的,原子是由原子核和核外电子组成的,故D正确。 故选D。 71.(23-24八年级下·江苏南京·期中)关于粒子和宇宙,下列说法正确的是( ) A.电子的发现说明分子是可分的 B.银河系的直径约为8万光年,光年是长度单位 C.雾霾是由于固体分子不停地无规则运动形成的 D.宇宙不会随时间膨胀和演化 31 / 37 学科网(北京)股份有限公司【答案】B 【解析】A.电子的发现说明原子是可分的,故A错误; B.银河系的直径约为8万光年,光年是指光在真空中一年内通过的距离,光年是长度单位,故B正 确; C.雾霾是空气中的固体颗粒物,属于机固体颗粒的机械运动,不是分子的运动,故C错误; D.宇宙是有层次的天体结构系统,是有起源的,随时间膨胀和演化,故D错误。 故选 B。 72.(23-24八年级下·江苏南京·期中)关于粒子和宇宙,下列认识正确的是( ) A.银河系、地球、分子、原子核是按照尺度由大到小的顺序排列的 B.“破镜难重圆”是因为固体分子间存在着排斥力 C.卢瑟福发现了电子,说明原子可以再分 D.宇宙是一个有层次的天体结构系统,其中恒星是绝对不动的 【答案】A 【解析】A.地球是太阳系中的行星之一;太阳系是处于银河系边缘的一个小星系;物质是由分子构 成的,分子是由原子构成的,原子是由原子核与核外电子构成的,故A正确; B.“破镜难重圆”是因为镜子破碎处的固体分子间距离过大,分子间作用力太小,故B错误; C.物理学家汤姆生发现了电子,从而揭示了原子是有结构的,故C错误; D.运动是相对而言的,没有任何物体是绝对不动的,选择了不同的参照物,物体的运动情况就是不 同的,恒星相对于从它旁边运动过的流星而言就是运动的,故D错误。 故选A。 73.(23-24八年级下·江苏宿迁·阶段练习)为了形象地说明宇宙在膨胀,课本上将一个黏有小金属粒的气 球看成宇宙,如图所示,将金属粒看成是宇宙中的天体,气球膨胀时,任一小金属粒周围的其他金属 粒都在离它远去。下列科学实例运用的主要思维方法与其相同的是( ) A.用量筒测量固体的体积 B.通过红墨水在水中的扩散现象来研究分子的运动 C.原子结构与太阳系结构很相似 D.用温度计的液柱上升的高度来表示温度的大小 32 / 37 学科网(北京)股份有限公司【答案】C 【解析】将宇宙比作一个膨胀的气球,金属粒比作宇宙中的天体,通过气球的膨胀来形象地说明宇宙 中各天体间的相互远离。这种思维方法叫做“类比法”; A.用量筒测量固体的体积,这是通过排水法来测量固体的体积,即固体放入量筒后,水面上升的体 积就是固体的体积。这是一种实验测量方法,与类比法不同,故A不符合题意; BD.通过红墨水在水中的扩散现象来研究分子的运动和用温度计液柱上升的高度来显示温度的高低, 这些实验运用了转换法,故BD不符合题意; C.将原子的结构与太阳系的结构进行类比,通过已知的太阳系结构来推断原子的结构。这与题目中 宇宙膨胀的类比法相同,故C符合题意。 故选C。 74.(23-24八年级下·江苏无锡·期末)英国物理学家汤姆生发现了带负电的微粒,这个微粒是 ;后 来人们又发现,原子核是由质子和 构成的,这两个粒子统称为核子。浩瀚的宇宙广阔无垠,天 文学上使用的“光年”是 单位。(选填“长度”“时间”) 【答案】 电子 中子 长度 【解析】[1]汤姆生发现的带负电的微粒是电子,使人们认识到原子是可分的。 [2]原子核是由带正电的质子和不带电的中子构成。 [3]天文学中的“光年”是长度单位,一光年是指光在真空中一年内传播的距离。 75.(23-24八年级下·江苏淮安·期末)如图所示是模拟宇宙膨胀的实验。充气使气球不断膨胀时,任意两 个小圆点之间的距离都在 (选填“增大”“减小”或“不变”)。在实际的天文观测中, 天文学家哈勃发现星系的光谱向长波方向偏移,这一现象说明星系在逐渐 (选填“靠 近”或“远离”)我们。 【答案】 增大 远离 【解析】[1][2]充气使气球不断膨胀时,由于气球的体积变大,所以任意两个小圆点之间的距离都在增 大;在实际的天文观测中,天文学家哈勃发现星系的光谱向长波方向偏移,这一现象说明星系在逐渐 远离我们,科学家们又发现了红移现象,就是远距离星球射向地球的光以红光为多,近距离的则以紫 光为主。红移现象说明星系正在远离我们,宇宙正在膨胀。 33 / 37 学科网(北京)股份有限公司76.(22-23八年级下·江苏连云港·期末)创立“日心说”的天文学家是 (选填“托勒密”“哥白 尼”或“伽利略”)。现代天文学研究表明,太阳 (选填“是”或“不是”)宇宙的中心。如 图所示,向粘有金属小颗粒的气球中打气时,任一金属小颗粒与周围的其他小颗粒都相互远离。同理, 我们观察到所有的星系正在远离我们而去,我们就会得出宇宙正在 (选填“膨胀”或“收 缩”)的结论。 【答案】 哥白尼 不是 膨胀 【解析】[1][2][3]创立“日心说”的科学家是哥白尼;太阳是太阳系的中心,不是宇宙的中心;各天 体在远离,说明宇宙在膨胀。 77.(2024·北京·中考真题)请阅读《宇宙灯塔——脉冲星》并回答问题。 宇宙灯塔——脉冲星 截至2024年5月,有“中国天眼”之称的500m口径球面射电望远镜(FAST)发现的新脉冲星数量突 破900颗,这些发现,极大拓展了人类观察宇宙视野的极限。 “中国天眼”紧盯的脉冲星是什么?脉冲星是一类高速自转的天体,具有极强的磁场,它高速自转时 就在两磁极处形成了方向性很强的锥形电磁波束(如图甲所示)。由于两个电磁波束会随着脉冲星的 高速自转而一起转动,它们就会像灯塔发出的两束光一样扫过宇宙空间。电磁波束每扫过地球上的射 电望远镜一次,射电望远镜就会收到一个脉冲信号(如图乙所示),脉冲星便以此而得名。 脉冲星具有极其稳定的自转周期(自转一圈所用的时间),部分脉冲星的自转周期约3亿年仅变化 0.1ms,因此可将脉冲星作为计时基准。 脉冲星还是宇宙中的“探针”,可应用于探测引力波。宇宙中的超大质量天体加速运动时,会产生引 力波。引力波信号极其微弱,特别是纳赫兹( Hz)引力波,难以直接观测。但是,引力波会使我 们收到的脉冲星的脉冲信号发生变化。我国科学家通过综合分析多个脉冲星脉冲信号的变化,于2023 年6月找到了纳赫兹引力波存在的关键证据。 越来越多被发现的脉冲星,犹如宇宙中不断被点亮的灯塔,引领我们揭开更多暗藏在宇宙中的秘密。 34 / 37 学科网(北京)股份有限公司请根据上述材料,回答下列问题: (1)电磁波束每扫过射电望远镜一次,射电望远镜就会收到一个 ,脉冲星便以此而得名; (2)脉冲星能够作为计时基准是因为它具有 ; (3)科学家找到纳赫兹引力波存在的关键证据的研究方法在初中物理的学习过程中也用到过,请类 比研究条形磁体周围磁场分布的方法,补全表格中①②的内容 ; 研究对象 条形磁体的磁场 纳赫兹引力波 观测“设备” 人眼 中国天眼 探测工具 铁屑 ① 可观测证据 铁屑有规则地排列 ② 推理得到的结论 条形磁体周圆的磁场有规律分布 纳赫兹引力波存在 【答案】(1)脉冲信号 (2)脉冲星具有极其稳定的自转周期 (3)脉冲星,收到的脉冲星的脉冲信号发生变化 【解析】(1)根据题文可知,电磁波束每扫过地球上的射电望远镜一次,射电望远镜就会收到一个 脉冲信号。 (2)由题文可知,脉冲星具有极其稳定的自转周期(自转一圈所用的时间),部分脉冲星的自转周 期约3亿年仅变化0.1ms,因此可将脉冲星作为计时基准。 (3)根据题文可知,脉冲星还是宇宙中的“探针”,可应用于探测引力波,类比铁屑研究磁场的分 布;收到的脉冲星的脉冲信号发生变化,从而找到了纳赫兹引力波存在的关键证据。 78.(23-24八年级下·江苏徐州·期中)阅读并回答问题 物体的质量真的不变吗? 根据现有的物理知识,同学们肯定会认为物体的质量是不会随物体的形状、位置、状态的改变而 改变的,物体的质量是常数。但这只是对静止的物体而言,对于运动的物体,它的质量是否还是始终 不变呢? 爱因斯坦的“相对论”指出,运动物体的质量会随它的速度而改变。他的理论是:设一个物体静 35 / 37 学科网(北京)股份有限公司止时的质量为m(又称为静质量),当它以速度v运动时的质量为m(又称为动质量),则动质量与 0 m m= 0 静质量及其速度的关系遵循以下规律: √ (v) 2(其中c为光速,c=3×108m/s)。依据公式 1− c 我们可以算出:一个静质量m =1kg的物体,当它以v =300m/s和v =1.5×108m/s运动时,其动质 0 1 2 量分别为m =1.0000000000005kg,m =1.15kg,由此可知,物体的动质量比静质量大,且物体的 1 2 运动速度越大,其动质量越大。 从m 值可看出,在低速(相对光速而言)范围内,物体的动质量与静质量相差甚微,其差值可以 1 忽略不计。因此在低速范围内研究宏观物体的运动情况时,可以认为物体的质量是不变的,是常数。 但在微观世界里,由于电子、质子等基本粒子的静质量都很小,而其运动速度又很容易接近光速,这 时它们的质量随速度的改变就不可忽视。 (1)我们所学的“质量”是物体一种物理属性,不随形状、位置、状态的改变而改变,该“质量” 是指 (选填“静质量”、“动质量”); (2)在低速范围内研究宏观物体的运动情况时,由于v c(选填“略小于”、“远小于”、 “等于”),可以认为物体的质量不变,是常数; (3)依据爱因斯坦的“相对论”,若飞船能够载着一个质量是50kg的宇航员以1.8×108m/s的速度 在宇宙深处航行,此时,该宇航员的动质量是 kg; (4)随着科技的进步,霍金提出的黑洞理论和宇宙无边界的设想,正逐步得到证实。如图所示a、 b、c、d四点分别表示处女座、大熊座、牧夫座和长蛇座四大星系离银河系的距离与它们的运动速度 之间的关系。由图可知:星系离我们越远,运动的速度 ,宇宙处在 之中。 【答案】(1)静质量 (2)远小于 (3)62.5 (4) 越大 膨胀 【解析】(1)由题意可知,我们认为物体的质量是不随形状、位置、状态的改变而改变,其质量是 36 / 37 学科网(北京)股份有限公司指物体的静质量,而动质量会随物体的运动速度而改变。 m m= 0 v (2)由公式 √ v 2可知,当v远小于c时, 无限接近于(近似等于、约等于)0,动质量 1-( ) c c (m)无限接近于(近似等于、约等于)静质量(m),所以宏观物体低速运动时,可以认为物体的 0 质量不变。 (3)该宇航员的动质量是 m 50kg m= 0 = =62.5kg √ v 2 √ 1.8×108m/s 2 1-( ) 1-( ) c 3×108m/s (4)[1][2]由图表中提供的信息可看出:在处女座、大熊座、牧夫座和长蛇座四大星系中,离我们距 离越远,那么它们的运动速度越大,不断向外快速运动,由此可得出:宇宙处于不停地膨胀之中。 37 / 37 学科网(北京)股份有限公司