文档内容
军队文职考试《数学1》模拟试题四
即刻题库 www.jike.vip
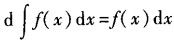
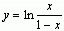
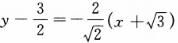
1 、 单选题
下列矩阵中,()不是初等矩阵。
A :
B :
C :
D :
2 、 单选题
A : x=-2
B : x=-1
C : x=1
D : x=0
3 、 单选题
A :
B :
C :
D :
4 、 单选题
A :
B :
C :
D :
5 、 单选题
A : 等于1
B : 等于0
C : 不存在
D : 等于-1
6 、 单选题
下列级数不收敛的是A :
B :
C :
D :
7 、 单选题
设A为m×n矩阵,C是n阶可逆矩阵,矩阵A的秩为r1,矩阵B=AC的秩为r,则
A :
B :
C :
D :
8 、 单选题
A :
B :
C :
D :
9 、 单选题
A : 平行但不重合
B : 重合
C : 垂直
D : 不平行也不垂直
10 、 单选题
A :
B :
C :
D :
11 、 单选题
A : arcsinb-arcsina
B :
C : arcsinx
D : 012 、 单选题
下列二无函数中,()可以作为连续型随机变量的联合概率密度。
A :
B :
C :
D :
13 、 单选题
A : A=E
B : A=-E
C : A=±E
D :
14 、 单选题
战士甲进行射击训练,已知甲每次射击击中10环、9环、8环或8环以下的概率分别为0.2,
0.3,0.5。现甲独立射击了2次,则甲至少有1次射中10环的概率是()。
A : 0.24
B : 0.36
C : 0.2
D : 0.32
15 、 单选题
A :
B :
C :
D :
16 、 单选题
已知随机变量X与Y有相同的且不为零的方差,则X与Y相关系数ρ=1的充分条件是()。
A : Cov(X+Y,X)=0
B : Cov(X+Y,Y)=0
C : Cov(X+Y,X-Y)=0
D : Cov(X-Y,X)=0
17 、 单选题
当x→0时,下列结论正确的是
A :
B :
C :
D :
18 、 单选题
设A为m×n矩阵,齐次线性方程组Ax=0仅有零解的充要条件是()。
A : A的列向量组线性无关B : A的列向量组线性相关
C : A的行向量组线性无关
D : A的行向量组线性相关
19 、 单选题
A :
B :
C :
D :
20 、 单选题
A :
B :
C :
D :
21 、 单选题若事件A发生必然导致事件B发生,则事件A和B的关系一定是()
A :
B :
C : 对立事件
D : 互不相容事件
22 、 单选题
A : 2
B :
C : 1
D :
23 、 单选题
A :
B :
C :
D :
24 、 单选题
A : 0
B :
C :
D : ∞
25 、 单选题
在手机号码中,后8位不出现“8”的概率为()。
A :
B :
C :
D :
26 、 单选题
A :
B :
C :
D :
27 、 单选题
若a·b=a·c,则()。
A : a=0或b-c=0
B : a⊥b且a⊥c
C : b=c
D : a⊥(b-c)
28 、 单选题
A :
B :
C :
D :
29 、 单选题
A :
B :
C :
D :
30 、 单选题
设A是n阶方阵,则|A|=0的必要条件是().
A : 两行(列)元素对应成比例
B : 必有一行为其余行的线性组合
C : A中有一行元素全为零
D : 任一行为其余行的线性组合
31 、 单选题
A :
B :
C :
D :
32 、 单选题A : sin(2x-1)+C
B :
C : -sin(2x--1)+C
D :
33 、 单选题
A :
B :
C :
D : 以上都不对
34 、 单选题
A : 秩A=秩B
B :
C :
D :
35 、 单选题同时抛掷三枚质地完全相同的硬币,则正面与反面都出现的概率为()。
A : 1/4
B : 1/3
C : 2/3
D : 3/4
36 、 单选题
A : 1/2
B : 2
C : 1/4
D : 1
37 、 单选题
A :
B :
C :
D :
38 、 单选题
A : -1
B : 0
C : 1
D : 2
39 、 单选题A : (2,0,0)
B : (1,1,-1)
C : (1,0,-1)
D : (0,0,0)
40 、 单选题
A : 不是驻点
B : 是驻点但不是极值点
C : 是驻点且是极大值点
D : 是驻点且是极小值点
41 、 单选题
A :
B :
C :
D :
42 、 单选题
A : 发散
B : 条件收敛
C : 绝对收敛
D : 敛散性不定43 、 单选题
下列关系正确的是()
A :
B :
C :
D :
44 、 单选题
A :
B :
C :
D :
45 、 单选题
A :
B :
C : 1
D :
46 、 单选题
A : -2xdx
B :
C :
D :
47 、 单选题
设A、B为同阶可逆矩阵,则
A : AB=BA
B :
C :
D :
48 、 单选题
A : 不存在
B : -1
C : 0D : 1
49 、 单选题
A : f(1,2)不是极大值
B : f(1,2)不是极小值
C : f(1,2)是极大值
D : f(1,2)是极小值
50 、 单选题
A :
B :
C :
D :
51 、 单选题
A :
B :
C :
D :
52 、 单选题
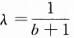
A : λ>0为任意实数
B : λ=b+1
C :
D :
53 、 单选题
设100件产品中有次品4件,从中任取5件的不可能事件是()
A : “5件都是正品”
B : “5件都是次品”
C : “至少有1件是次品”
D : “至少有1件是正品”
54 、 单选题
下列定积分中,其值为零的是()
A :
B :
C :
D :
55 、 单选题
A : 全部击中
B : 至少有一发击中
C : 必然击中
D : 击中3发
56 、 单选题
A :
B :
C :
D :
57 、 单选题
设A、B都是n阶方阵,下面结论正确的是
A : 若A、B均可逆,则A+B可逆
B : 若A、B均可逆,则AB可逆
C : 若A+B可逆,则A-B可逆
D : 若A+B可逆,则A,B均可逆
58 、 单选题
下列反常积分发散的是()。
A :
B :
C :
D :
59 、 单选题
A : 0
B :
C :
D : 3
60 、 单选题
袋中有50个乒乓球,其中20个黄的,30个白的,现在两个人不放回地依次从袋中随机各
取一球。则第二人取到黄球的概率是()
A : 1/5
B : 2/5
C : 3/5
D : 4/5
61 、 单选题
A :
B :
C :
D :
62 、 单选题
A :
B :
C :
D :
63 、 单选题
A :
B :
C :
D :
64 、 单选题
A : a不等于±6
B : -6小于a小于6
C : a小于-6或a大于6
D : a小于-6且a大于6
65 、 单选题
A :
B :
C :
D :
66 、 单选题
A :
B :
C :
D :
B :
C :
D :
2 、 单选题
A : x=-2
B : x=-1
C : x=1
D : x=0
3 、 单选题
A :
B :
C :
D :
4 、 单选题
A :
B :
C :
D :
5 、 单选题
A : 等于1
B : 等于0
C : 不存在
D : 等于-1
6 、 单选题
下列级数不收敛的是A :
B :
C :
D :
7 、 单选题
设A为m×n矩阵,C是n阶可逆矩阵,矩阵A的秩为r1,矩阵B=AC的秩为r,则
A :
B :
C :
D :
8 、 单选题
A :
B :
C :
D :
9 、 单选题
A : 平行但不重合
B : 重合
C : 垂直
D : 不平行也不垂直
10 、 单选题
A :
B :
C :
D :
11 、 单选题
A : arcsinb-arcsina
B :
C : arcsinx
D : 012 、 单选题
下列二无函数中,()可以作为连续型随机变量的联合概率密度。
A :
B :
C :
D :
13 、 单选题
A : A=E
B : A=-E
C : A=±E
D :
14 、 单选题
战士甲进行射击训练,已知甲每次射击击中10环、9环、8环或8环以下的概率分别为0.2,
0.3,0.5。现甲独立射击了2次,则甲至少有1次射中10环的概率是()。
A : 0.24
B : 0.36
C : 0.2
D : 0.32
15 、 单选题
A :
B :
C :
D :
16 、 单选题
已知随机变量X与Y有相同的且不为零的方差,则X与Y相关系数ρ=1的充分条件是()。
A : Cov(X+Y,X)=0
B : Cov(X+Y,Y)=0
C : Cov(X+Y,X-Y)=0
D : Cov(X-Y,X)=0
17 、 单选题
当x→0时,下列结论正确的是
A :
B :
C :
D :
18 、 单选题
设A为m×n矩阵,齐次线性方程组Ax=0仅有零解的充要条件是()。
A : A的列向量组线性无关B : A的列向量组线性相关
C : A的行向量组线性无关
D : A的行向量组线性相关
19 、 单选题
A :
B :
C :
D :
20 、 单选题
A :
B :
C :
D :
21 、 单选题若事件A发生必然导致事件B发生,则事件A和B的关系一定是()
A :
B :
C : 对立事件
D : 互不相容事件
22 、 单选题
A : 2
B :
C : 1
D :
23 、 单选题
A :
B :
C :
D :
24 、 单选题
A : 0
B :
C :
D : ∞
25 、 单选题
在手机号码中,后8位不出现“8”的概率为()。
A :
B :
C :
D :
26 、 单选题
A :
B :
C :
D :
27 、 单选题
若a·b=a·c,则()。
A : a=0或b-c=0
B : a⊥b且a⊥c
C : b=c
D : a⊥(b-c)
28 、 单选题
A :
B :
C :
D :
29 、 单选题
A :
B :
C :
D :
30 、 单选题
设A是n阶方阵,则|A|=0的必要条件是().
A : 两行(列)元素对应成比例
B : 必有一行为其余行的线性组合
C : A中有一行元素全为零
D : 任一行为其余行的线性组合
31 、 单选题
A :
B :
C :
D :
32 、 单选题A : sin(2x-1)+C
B :
C : -sin(2x--1)+C
D :
33 、 单选题
A :
B :
C :
D : 以上都不对
34 、 单选题
A : 秩A=秩B
B :
C :
D :
35 、 单选题同时抛掷三枚质地完全相同的硬币,则正面与反面都出现的概率为()。
A : 1/4
B : 1/3
C : 2/3
D : 3/4
36 、 单选题
A : 1/2
B : 2
C : 1/4
D : 1
37 、 单选题
A :
B :
C :
D :
38 、 单选题
A : -1
B : 0
C : 1
D : 2
39 、 单选题A : (2,0,0)
B : (1,1,-1)
C : (1,0,-1)
D : (0,0,0)
40 、 单选题
A : 不是驻点
B : 是驻点但不是极值点
C : 是驻点且是极大值点
D : 是驻点且是极小值点
41 、 单选题
A :
B :
C :
D :
42 、 单选题
A : 发散
B : 条件收敛
C : 绝对收敛
D : 敛散性不定43 、 单选题
下列关系正确的是()
A :
B :
C :
D :
44 、 单选题
A :
B :
C :
D :
45 、 单选题
A :
B :
C : 1
D :
46 、 单选题
A : -2xdx
B :
C :
D :
47 、 单选题
设A、B为同阶可逆矩阵,则
A : AB=BA
B :
C :
D :
48 、 单选题
A : 不存在
B : -1
C : 0D : 1
49 、 单选题
A : f(1,2)不是极大值
B : f(1,2)不是极小值
C : f(1,2)是极大值
D : f(1,2)是极小值
50 、 单选题
A :
B :
C :
D :
51 、 单选题
A :
B :
C :
D :
52 、 单选题
A : λ>0为任意实数
B : λ=b+1
C :
D :
53 、 单选题
设100件产品中有次品4件,从中任取5件的不可能事件是()
A : “5件都是正品”
B : “5件都是次品”
C : “至少有1件是次品”
D : “至少有1件是正品”
54 、 单选题
下列定积分中,其值为零的是()
A :
B :
C :
D :
55 、 单选题
A : 全部击中
B : 至少有一发击中
C : 必然击中
D : 击中3发
56 、 单选题
A :
B :
C :
D :
57 、 单选题
设A、B都是n阶方阵,下面结论正确的是
A : 若A、B均可逆,则A+B可逆
B : 若A、B均可逆,则AB可逆
C : 若A+B可逆,则A-B可逆
D : 若A+B可逆,则A,B均可逆
58 、 单选题
下列反常积分发散的是()。
A :
B :
C :
D :
59 、 单选题
A : 0
B :
C :
D : 3
60 、 单选题
袋中有50个乒乓球,其中20个黄的,30个白的,现在两个人不放回地依次从袋中随机各
取一球。则第二人取到黄球的概率是()
A : 1/5
B : 2/5
C : 3/5
D : 4/5
61 、 单选题
A :
B :
C :
D :
62 、 单选题
A :
B :
C :
D :
63 、 单选题
A :
B :
C :
D :
64 、 单选题
A : a不等于±6
B : -6小于a小于6
C : a小于-6或a大于6
D : a小于-6且a大于6
65 、 单选题
A :
B :
C :
D :
66 、 单选题
A :
B :
C :
D :