当前位置:首页>文档>2023年高考化学试卷(辽宁)(空白卷)_历年高考真题合集_化学历年高考真题_新·PDF版2008-2025·高考化学真题_化学(按年份分类)2008-2025_2023·高考化学真题

2023年高考化学试卷(辽宁)(空白卷)_历年高考真题合集_化学历年高考真题_新·PDF版2008-2025·高考化学真题_化学(按年份分类)2008-2025_2023·高考化学真题

  • 2026-04-01 01:49:42 2026-01-30 06:42:45

文档预览

2023年高考化学试卷(辽宁)(空白卷)_历年高考真题合集_化学历年高考真题_新·PDF版2008-2025·高考化学真题_化学(按年份分类)2008-2025_2023·高考化学真题
2023年高考化学试卷(辽宁)(空白卷)_历年高考真题合集_化学历年高考真题_新·PDF版2008-2025·高考化学真题_化学(按年份分类)2008-2025_2023·高考化学真题
2023年高考化学试卷(辽宁)(空白卷)_历年高考真题合集_化学历年高考真题_新·PDF版2008-2025·高考化学真题_化学(按年份分类)2008-2025_2023·高考化学真题
2023年高考化学试卷(辽宁)(空白卷)_历年高考真题合集_化学历年高考真题_新·PDF版2008-2025·高考化学真题_化学(按年份分类)2008-2025_2023·高考化学真题
2023年高考化学试卷(辽宁)(空白卷)_历年高考真题合集_化学历年高考真题_新·PDF版2008-2025·高考化学真题_化学(按年份分类)2008-2025_2023·高考化学真题
2023年高考化学试卷(辽宁)(空白卷)_历年高考真题合集_化学历年高考真题_新·PDF版2008-2025·高考化学真题_化学(按年份分类)2008-2025_2023·高考化学真题
2023年高考化学试卷(辽宁)(空白卷)_历年高考真题合集_化学历年高考真题_新·PDF版2008-2025·高考化学真题_化学(按年份分类)2008-2025_2023·高考化学真题
2023年高考化学试卷(辽宁)(空白卷)_历年高考真题合集_化学历年高考真题_新·PDF版2008-2025·高考化学真题_化学(按年份分类)2008-2025_2023·高考化学真题
2023年高考化学试卷(辽宁)(空白卷)_历年高考真题合集_化学历年高考真题_新·PDF版2008-2025·高考化学真题_化学(按年份分类)2008-2025_2023·高考化学真题
2023年高考化学试卷(辽宁)(空白卷)_历年高考真题合集_化学历年高考真题_新·PDF版2008-2025·高考化学真题_化学(按年份分类)2008-2025_2023·高考化学真题
2023年高考化学试卷(辽宁)(空白卷)_历年高考真题合集_化学历年高考真题_新·PDF版2008-2025·高考化学真题_化学(按年份分类)2008-2025_2023·高考化学真题
2023年高考化学试卷(辽宁)(空白卷)_历年高考真题合集_化学历年高考真题_新·PDF版2008-2025·高考化学真题_化学(按年份分类)2008-2025_2023·高考化学真题
2023年高考化学试卷(辽宁)(空白卷)_历年高考真题合集_化学历年高考真题_新·PDF版2008-2025·高考化学真题_化学(按年份分类)2008-2025_2023·高考化学真题
2023年高考化学试卷(辽宁)(空白卷)_历年高考真题合集_化学历年高考真题_新·PDF版2008-2025·高考化学真题_化学(按年份分类)2008-2025_2023·高考化学真题

文档信息

文档格式
pdf
文档大小
1.273 MB
文档页数
10 页
上传时间
2026-01-30 06:42:45

文档内容

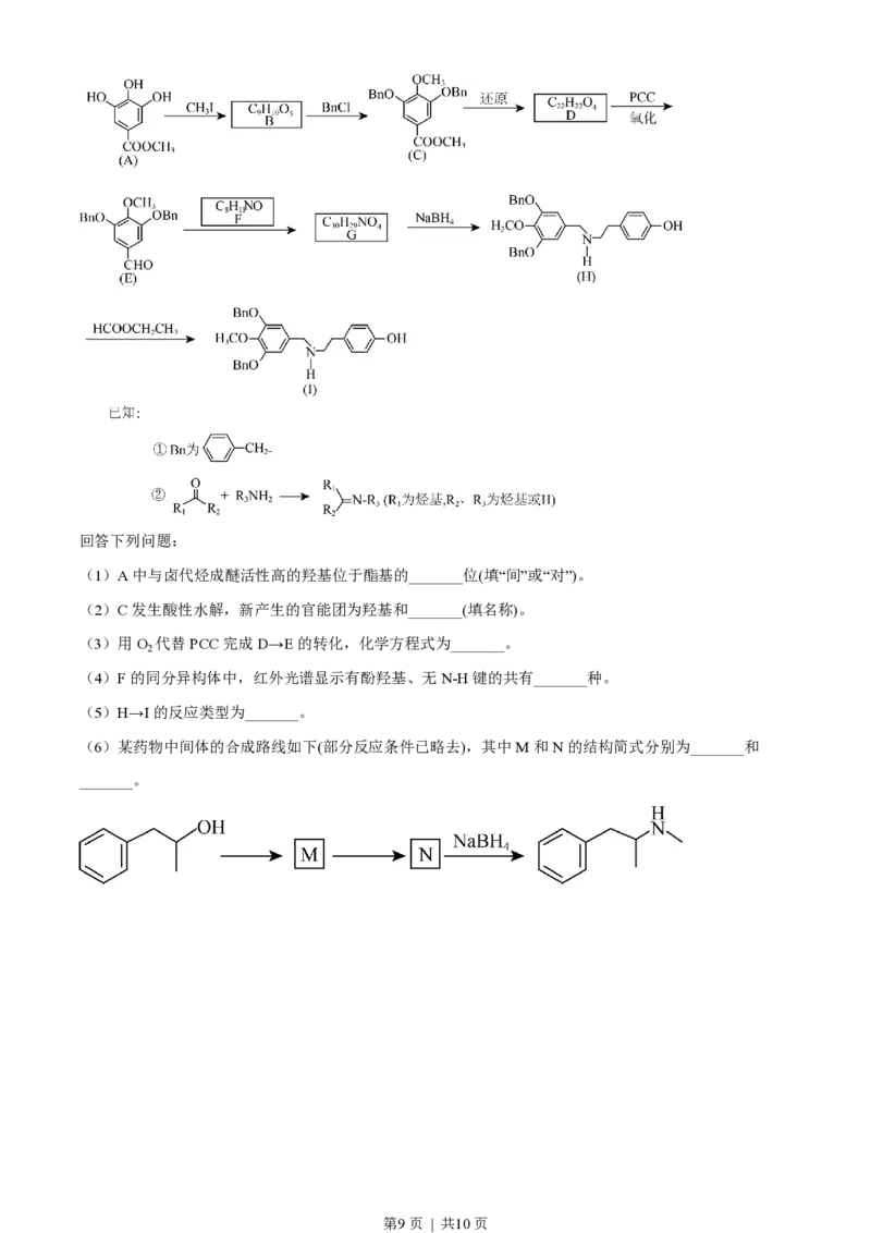
辽宁省 2023 年普通高等学校招生选择性考试(化学) 本试卷满分 100分,考试时间 75分钟。 可能用到的相对原子质量:H-1 B-11 C-12 N-14 O-16 Na-23 S-32 Fe-56 一、选择题:本题共 15小题,每小题 3分,共 45分。在每小题给出的四个选项中,只有一 项符合题目要求。 1. 科技是第一生产力,我国科学家在诸多领域取得新突破,下列说法错误的是 A. 利用CO 合成了脂肪酸:实现了无机小分子向有机高分子的转变 2 B. 发现了月壤中的“嫦娥石[(Ca Y)Fe(PO ) ]”:其成分属于无机盐 8 4 7 C. 研制了高效率钙钛矿太阳能电池,其能量转化形式:太阳能→电能 D. 革新了海水原位电解制氢工艺:其关键材料多孔聚四氟乙烯耐腐蚀 2. 下列化学用语或表述正确的是 A. BeCl 的空间结构:V形 B. P 中的共价键类型:非极性键 2 4 C. 基态Ni原子价电子排布式:3d10 D. 顺—2—丁烯的结构简式: 3. 下列有关物质的工业制备反应错误的是 点燃 A 合成氨:N +3H ‡ˆ ˆˆ 高温ˆˆ 、ˆˆ 高ˆˆ 压ˆ†ˆˆ 2NH B. 制HCl:H +Cl 2HCl . 2 2 催化剂 3 2 2 高温 电解 C. 制粗硅:SiO +2C Si+2CO D. 冶炼镁:2MgO(熔融) 2Mg+O ↑ 2 2 4. 下列鉴别或检验不能达到实验目的的是 A. 用石灰水鉴别Na CO 与NaHCO 2 3 3 B. 用KSCN溶液检验FeSO 是否变质 4 C. 用盐酸酸化的BaCl 溶液检验Na SO 是否被氧化 2 2 3 D. 加热条件下用银氨溶液检验乙醇中是否混有乙醛 5. 我国古代四大发明之一黑火药的爆炸反应为:S+2KNO +3C=K S+N ­+3CO ­。设N 为阿伏 3 2 2 2 A 加德罗常数的值,下列说法正确的是 A. 11.2LCO 含π键数目为N B. 每生成2.8gN 转移电子数目为N 2 A 2 A C. 0.1molKNO 晶体中含离子数目为0.2N D. 1L0.1mol×L-1K S溶液中含S2-数目为0.1N 3 A 2 A 6. 在光照下,螺呲喃发生开、闭环转换而变色,过程如下。下列关于开、闭环螺呲喃说法正确的是 第1页 | 共10页A. 均有手性 B. 互为同分异构体 C. N原子杂化方式相同 D. 闭环螺吡喃亲水性更好 7. 某无隔膜流动海水电解法制H 的装置如下图所示,其中高选择性催化剂PRT可抑制O 产生。下列说 2 2 法正确的是 A. b端电势高于a端电势 B. 理论上转移2mole-生成4gH 2 C. 电解后海水pH下降 D. 阳极发生:Cl- +H₂O-2e- = HClO+H+ 8. 冠醚因分子结构形如皇冠而得名,某冠醚分子c可识别K+,其合成方法如下。下列说法错误的是 A. 该反应为取代反应 B. a、b均可与NaOH溶液反应 C. c核磁共振氢谱有3组峰 D. c可增加KI在苯中的溶解度 9. 某种镁盐具有良好的电化学性能,其阴离子结构如下图所示。W、X、Y、Z、Q是核电荷数依次增大的 短周期元素,W、Y原子序数之和等于Z,Y原子价电子数是Q原子价电子数的2倍。下列说法错误的是 A. W与X的化合物为极性分子 B. 第一电离能Z>X>Y C. Q的氧化物是两性氧化物 D. 该阴离子中含有配位键 第2页 | 共10页10. 某工厂采用如下工艺制备Cr(OH) ,已知焙烧后Cr元素以+6价形式存在,下列说法错误的是 3 A. “焙烧”中产生CO B. 滤渣的主要成分为Fe(OH) 2 2 C. 滤液①中Cr元素的主要存在形式为CrO2- D. 淀粉水解液中的葡萄糖起还原作用 4 11. 某低成本储能电池原理如下图所示。下列说法正确的是 A. 放电时负极质量减小 B. 储能过程中电能转变为化学能 C. 放电时右侧H+通过质子交换膜移向左侧 D. 充电总反应:Pb+SO2- + 2Fe3+ = PbSO + 2Fe2+ 4 4 12. 一定条件下,酸性KMnO 溶液与H C O 发生反应,Mn(Ⅱ)起催化作用,过程中不同价态含Mn粒 4 2 2 4 子的浓度随时间变化如下图所示。下列说法正确的是 A. Mn(Ⅲ)不能氧化H C O 2 2 4 B. 随着反应物浓度的减小,反应速率逐渐减小 C. 该条件下,Mn(Ⅱ)和Mn(Ⅶ)不能大量共存 第3页 | 共10页D. 总反应为:2MnO- +5C O2- +16H+ =2Mn2+ +10CO ­+8H O 4 2 4 2 2 13. 某小组进行实验,向10mL蒸馏水中加入0.4gI ,充分振荡,溶液呈浅棕色,再加入0.2g锌粒,溶液 2 颜色加深;最终紫黑色晶体消失,溶液褪色。已知I-aq 为棕色,下列关于颜色变化的解释错误的是 3 选项 颜色变化 解释 A 溶液呈浅棕色 I 在水中溶解度较小 2 B 溶液颜色加深 发生了反应:I +I- ˆˆ†I- 2 ‡ˆˆ 3 C 紫黑色晶体消失 I ( aq )的消耗使溶解平衡I (s)ˆˆ†I (aq)右移 2 2 ‡ˆˆ 2 D 溶液褪色 Zn 与有色物质发生了置换反应 A. A B. B C. C D. D 14. 晶体结构的缺陷美与对称美同样受关注。某富锂超离子导体的晶胞是立方体(图1),进行镁离子取代及 卤素共掺杂后,可获得高性能固体电解质材料(图2)。下列说法错误的是 72.5 A. 图1晶体密度为 g∙cm-3 B. 图1中O原子的配位数为6 N ´a3´10-30 A C. 图2表示的化学式为LiMg OCl Br D. Mg2+取代产生的空位有利于Li+传导 2 x 1-x 15. 某废水处理过程中始终保持H S饱和,即cH S=0.1mol×L-1,通过调节pH使Ni2+和Cd2+形成硫 2 2 化物而分离,体系中pH与-lgc关系如下图所示,c为HS-、S2-、Ni2+和Cd2+的浓度,单位为 mol×L-1。已知K NiS> K (CdS),下列说法正确的是 sp sp 第4页 | 共10页A. K (CdS)=10-18.4 B. ③为pH与-lgc  HS- 的关系曲线 sp C. K H S=10-8.1 D. K H S=10-14.7 a1 2 a2 2 二、非选择题:本题共 4小题,共 55分。 16. 某工厂采用如下工艺处理镍钴矿硫酸浸取液含(Ni2+、Co2+、Fe2+、Fe3+、Mg2+和Mn2+)。实现 镍、钴、镁元素的回收。 已知: 物质 FeOH CoOH NiOH MgOH 3 2 2 2 K 10-37.4 10-14.7 10-14.7 10-10.8 sp 回答下列问题: (1)用硫酸浸取镍钴矿时,提高浸取速率的方法为_______(答出一条即可)。 (2)“氧化”中,混合气在金属离子的催化作用下产生具有强氧化性的过一硫酸 H SO  ,1molH SO 中 2 5 2 5 过氧键的数目为_______。 (3)“氧化”中,用石灰乳调节pH=4,Mn2+被H SO 氧化为MnO ,该反应的离子方程式为 2 5 2 _______(H SO 的电离第一步完全,第二步微弱);滤渣的成分为MnO 、_______(填化学式)。 2 5 2 第5页 | 共10页(4)“氧化”中保持空气通入速率不变,Mn(Ⅱ)氧化率与时间的关系如下。SO 体积分数为_______时, 2 Mn(Ⅱ)氧化速率最大;继续增大SO 体积分数时,Mn(Ⅱ)氧化速率减小的原因是_______。 2 (5)“沉钴镍”中得到的Co(Ⅱ)在空气中可被氧化成CoO(OH),该反应的化学方程式为_______。 (6)“沉镁”中为使Mg2+沉淀完全 25℃ ,需控制pH不低于_______(精确至0.1)。 17. 2—噻吩乙醇(M =128)是抗血栓药物氯吡格雷的重要中间体,其制备方法如下: r Ⅰ.制钠砂。向烧瓶中加入300mL液体A和4.60g金属钠,加热至钠熔化后,盖紧塞子,振荡至大量微 小钠珠出现。 Ⅱ.制噻吩钠。降温至10℃,加入25mL噻吩,反应至钠砂消失。 Ⅲ.制噻吩乙醇钠。降温至-10℃,加入稍过量的环氧乙烷的四氢呋喃溶液,反应30min。 Ⅳ.水解。恢复室温,加入70mL水,搅拌30min;加盐酸调pH至4~6,继续反应2h,分液;用水洗 涤有机相,二次分液。 Ⅴ.分离。向有机相中加入无水MgSO ,静置,过滤,对滤液进行蒸馏,蒸出四氢呋喃、噻吩和液体A 4 后,得到产品17.92g。 回答下列问题: (1)步骤Ⅰ中液体A可以选择_______。 a.乙醇 b.水 c.甲苯 d.液氨 第6页 | 共10页(2)噻吩沸点低于吡咯( )的原因是_______。 (3)步骤Ⅱ的化学方程式为_______。 (4)步骤Ⅲ中反应放热,为防止温度过高引发副反应,加入环氧乙烷溶液的方法是_______。 (5)步骤Ⅳ中用盐酸调节pH的目的是_______。 (6)下列仪器在步骤Ⅴ中无需使用的是_______(填名称):无水MgSO 的作用为_______。 4 (7)产品的产率为_______(用Na计算,精确至0.1%)。 18. 硫酸工业在国民经济中占有重要地位。 (1)我国古籍记载了硫酸的制备方法——“炼石胆(CuSO ·5H O)取精华法”。借助现代仪器分析,该制备 4 2 过程中CuSO ·5H O分解的TG曲线(热重)及DSC曲线(反映体系热量变化情况,数值已省略)如下图所 4 2 示。700℃左右有两个吸热峰,则此时分解生成的氧化物有SO 、_______和_______(填化学式)。 2 (2)铅室法使用了大容积铅室制备硫酸(76%以下),副产物为亚硝基硫酸,主要反应如下: NO +SO +H O=NO+H SO 2 2 2 2 4 2NO+O =2NO 2 2 (ⅰ)上述过程中NO 的作用为_______。 2 (ⅱ)为了适应化工生产的需求,铅室法最终被接触法所代替,其主要原因是_______(答出两点即可)。 (3)接触法制硫酸的关键反应为SO 的催化氧化: 2 1 SO 2 (g)+ 2 O 2 (g)SO 3 (g) ΔH=-98.9kJ·mol-1 第7页 | 共10页(ⅰ)为寻求固定投料比下不同反应阶段的最佳生产温度,绘制相应转化率(α)下反应速率(数值已略去)与温度 的关系如下图所示,下列说法正确的是_______。 a.温度越高,反应速率越大 b.α=0.88的曲线代表平衡转化率 c.α越大,反应速率最大值对应温度越低 d.可根据不同α下的最大速率,选择最佳生产温度 (ⅱ)为提高钒催化剂的综合性能,我国科学家对其进行了改良。不同催化剂下,温度和转化率关系如下图所 示,催化性能最佳的是_______(填标号)。 (ⅲ)设O 的平衡分压为p,SO 的平衡转化率为α ,用含p和α 的代数式表示上述催化氧化反应的 2 2 e e K =_______(用平衡分压代替平衡浓度计算)。 p 19. 加兰他敏是一种天然生物碱,可作为阿尔茨海默症的药物,其中间体的合成路线如下。 第8页 | 共10页回答下列问题: (1)A中与卤代烃成醚活性高的羟基位于酯基的_______位(填“间”或“对”)。 (2)C发生酸性水解,新产生的官能团为羟基和_______(填名称)。 (3)用O 代替PCC完成D→E的转化,化学方程式为_______。 2 (4)F的同分异构体中,红外光谱显示有酚羟基、无N-H键的共有_______种。 (5)H→I的反应类型为_______。 (6)某药物中间体的合成路线如下(部分反应条件已略去),其中M和N的结构简式分别为_______和 _______。 第9页 | 共10页第10页 | 共10页