当前位置:首页>文档>5易错字音字形_一年级语文下册(统编版)_老课标资料_复习资料_一下语文期末复习_期末专项训练卷_字汉字书写专训卷

5易错字音字形_一年级语文下册(统编版)_老课标资料_复习资料_一下语文期末复习_期末专项训练卷_字汉字书写专训卷

  • 2026-03-20 13:06:39 2026-01-30 16:26:44

文档预览

5易错字音字形_一年级语文下册(统编版)_老课标资料_复习资料_一下语文期末复习_期末专项训练卷_字汉字书写专训卷
5易错字音字形_一年级语文下册(统编版)_老课标资料_复习资料_一下语文期末复习_期末专项训练卷_字汉字书写专训卷
5易错字音字形_一年级语文下册(统编版)_老课标资料_复习资料_一下语文期末复习_期末专项训练卷_字汉字书写专训卷
5易错字音字形_一年级语文下册(统编版)_老课标资料_复习资料_一下语文期末复习_期末专项训练卷_字汉字书写专训卷
5易错字音字形_一年级语文下册(统编版)_老课标资料_复习资料_一下语文期末复习_期末专项训练卷_字汉字书写专训卷
5易错字音字形_一年级语文下册(统编版)_老课标资料_复习资料_一下语文期末复习_期末专项训练卷_字汉字书写专训卷

文档信息

文档格式
doc
文档大小
0.871 MB
文档页数
3 页
上传时间
2026-01-30 16:26:44

文档内容

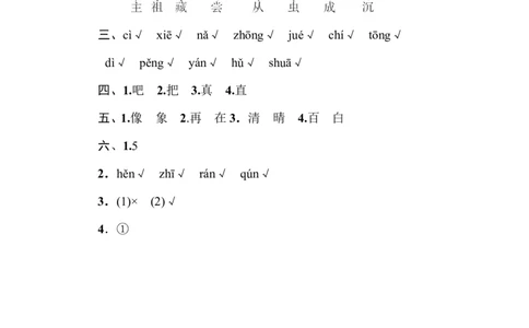
5 易错字音字形 班级__________ 姓名__________ 得分__________ 时间:40分钟 满分:100分 1 / 32 / 35 易错字音字形 一、 二、 三、cì√ xiē√ nǎ√ zhōng√ jué√ chí√ tōng√ dì√ pěng√ yán√ hǔ√ shuā√ 四、1.吧 2.把 3.真 4.直 五、1.像 象 2.再 在 3.清 晴 4.百 白 六、1.5 2.hěn√ zhī√ rán√ qún√ 3.(1)× (2)√ 4.① 3 / 3