科研小记 | XRD标准卡片 PDF#00-080-1098、PDF#00-043-1003和#00-041-1487
温馨提醒:最好用电脑打开公众号查看
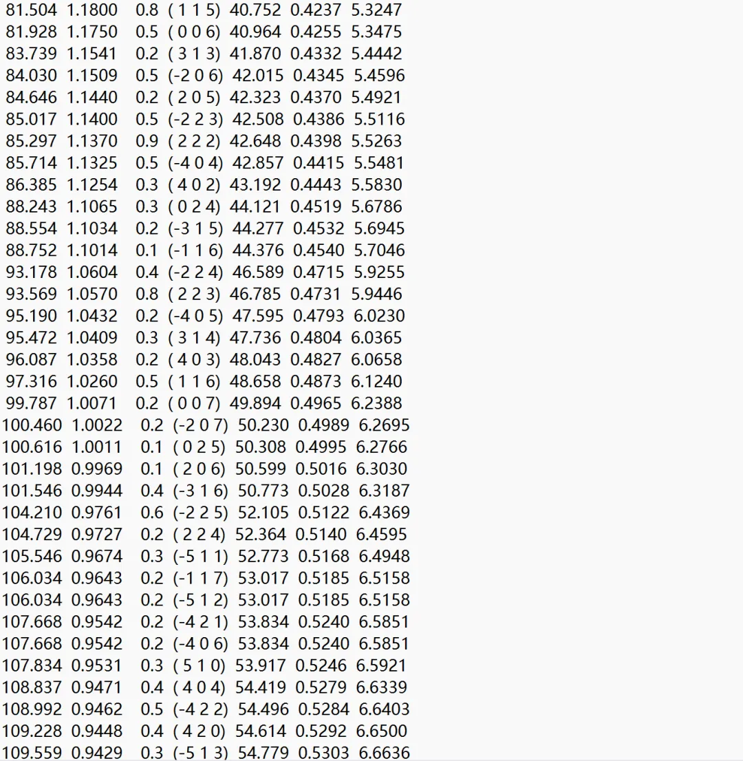
PDF#01-080-1098(RDB):质标=空白(B);d=计算值;I=计算值
Potassium Manganese Oxide Hydrate
K0.46 Mn1.54 Mn0.46 O4 ( H2 O )1.6
射线=CuKa1 波长=1.5406 滤波法=
校准= 2θ=12.546-147.337 I/Ic(K值)=5.9
文献: Post, J.E., Veblen, D.R.
Am. Mineral., v75 p477(1990)
单斜晶系-粉末衍射,C2/m(12) Z=1
晶胞: 5.149×2.843×7.176 <90.0×100.76×90.0> P.S=mC11.26
密度(计算)=3.551 密度(测量)= 分子量=220.68 体积=103.20 F(30)=637.8(0.0015,32/0)
文献: 出处同上
强峰线: 7.05/X 3.52/3 2.41/1 2.12/1 2.25/1 1.79/1
ANX: AB4X12.
Analysis: H3.2 K0.46 Mn2 O5.6.
Formula from original source: K.46 Mn1.54 Mn.46 O4 (H2 O)1.6.
ICSD Collection Code: 68918.
Calculated Pattern Original Remarks: Structure related to chalcophanite.
Minor Warning: Density calculated using chemical formula and refined composition differ by 1.3807%.
Significant Warning: ICSD Warning on inter-atomic distances exist.
Wyckoff Sequence: i2 c a(C12/M1).
Unit Cell Data Source: Powder Diffraction.
2θ d(埃) I(f) ( h k l) θ 1/(2d) 2π/d n^2
12.546 7.0498 100.0 ( 0 0 1) 6.273 0.0709 0.8913
25.245 3.5249 27.2 ( 0 0 2) 12.623 0.1418 1.7825
35.367 2.5359 3.7 (-2 0 1) 17.683 0.1972 2.4777
35.463 2.5292 4.3 ( 2 0 0) 17.732 0.1977 2.4842
36.215 2.4784 3.8 ( 1 1 0) 18.108 0.2017 2.5352
37.312 2.4081 12.4 (-1 1 1) 18.656 0.2076 2.6092
38.270 2.3499 0.2 ( 0 0 3) 19.135 0.2128 2.6738
39.601 2.2739 1.4 ( 1 1 1) 19.801 0.2199 2.7631
39.764 2.2650 0.9 (-2 0 2) 19.882 0.2208 2.7740
40.025 2.2508 10.7 ( 2 0 1) 20.013 0.2221 2.7915
42.596 2.1207 11.4 (-1 1 2) 21.298 0.2358 2.9627
46.651 1.9454 2.4 ( 1 1 2) 23.326 0.2570 3.2297
47.612 1.9084 2.0 (-2 0 3) 23.806 0.2620 3.2925
47.988 1.8943 3.2 ( 2 0 2) 23.994 0.2640 3.3169
51.010 1.7889 8.8 (-1 1 3) 25.505 0.2795 3.5123
51.832 1.7625 1.0 ( 0 0 4) 25.916 0.2837 3.5650
56.315 1.6323 2.1 ( 1 1 3) 28.157 0.3063 3.8492
57.869 1.5921 1.1 (-2 0 4) 28.935 0.3140 3.9464
58.329 1.5807 2.5 ( 2 0 3) 29.165 0.3163 3.9750
61.675 1.5027 1.7 (-1 1 4) 30.838 0.3327 4.1813
63.309 1.4678 2.2 (-3 1 1) 31.654 0.3406 4.2807
64.165 1.4503 3.3 ( 3 1 0) 32.082 0.3448 4.3324
65.492 1.4241 2.7 (-3 1 2) 32.746 0.3511 4.4122
65.625 1.4215 2.7 ( 0 2 0) 32.812 0.3517 4.4201
66.230 1.4100 0.2 ( 0 0 5) 33.115 0.3546 4.4563
67.118 1.3935 1.1 ( 0 2 1) 33.559 0.3588 4.5091
67.972 1.3780 3.2 ( 3 1 1) 33.986 0.3628 4.5596
67.972 1.3780 3.2 ( 1 1 4) 33.986 0.3628 4.5596
70.013 1.3428 1.1 (-2 0 5) 35.007 0.3724 4.6793
70.566 1.3336 0.5 (-3 1 3) 35.283 0.3749 4.7116
70.566 1.3336 0.5 ( 2 0 4) 35.283 0.3749 4.7116
71.506 1.3183 1.3 ( 0 2 2) 35.753 0.3793 4.7660
73.514 1.2872 0.1 (-4 0 1) 36.757 0.3884 4.8812
74.217 1.2768 0.8 (-1 1 5) 37.108 0.3916 4.9212
74.590 1.2713 0.5 ( 3 1 2) 37.295 0.3933 4.9424
74.820 1.2680 0.9 (-4 0 2) 37.410 0.3943 4.9554
75.051 1.2646 0.6 ( 4 0 0) 37.525 0.3954 4.9684
76.810 1.2400 0.6 ( 2 2 0) 38.405 0.4032 5.0672
76.810 1.2400 0.6 (-2 2 1) 38.405 0.4032 5.0672
78.296 1.2201 0.5 (-3 1 4) 39.148 0.4098 5.1496
78.591 1.2163 0.3 ( 0 2 3) 39.296 0.4111 5.1659
78.920 1.2120 0.5 (-4 0 3) 39.460 0.4125 5.1840
79.375 1.2062 0.1 ( 4 0 1) 39.687 0.4145 5.2089
79.719 1.2019 1.4 ( 2 2 1) 39.860 0.4160 5.2278
81.504 1.1800 0.8 ( 1 1 5) 40.752 0.4237 5.3247
81.928 1.1750 0.5 ( 0 0 6) 40.964 0.4255 5.3475
83.739 1.1541 0.2 ( 3 1 3) 41.870 0.4332 5.4442
84.030 1.1509 0.5 (-2 0 6) 42.015 0.4345 5.4596
84.646 1.1440 0.2 ( 2 0 5) 42.323 0.4370 5.4921
85.017 1.1400 0.5 (-2 2 3) 42.508 0.4386 5.5116
85.297 1.1370 0.9 ( 2 2 2) 42.648 0.4398 5.5263
85.714 1.1325 0.5 (-4 0 4) 42.857 0.4415 5.5481
86.385 1.1254 0.3 ( 4 0 2) 43.192 0.4443 5.5830
88.243 1.1065 0.3 ( 0 2 4) 44.121 0.4519 5.6786
88.554 1.1034 0.2 (-3 1 5) 44.277 0.4532 5.6945
88.752 1.1014 0.1 (-1 1 6) 44.376 0.4540 5.7046
93.178 1.0604 0.4 (-2 2 4) 46.589 0.4715 5.9255
93.569 1.0570 0.8 ( 2 2 3) 46.785 0.4731 5.9446
95.190 1.0432 0.2 (-4 0 5) 47.595 0.4793 6.0230
95.472 1.0409 0.3 ( 3 1 4) 47.736 0.4804 6.0365
96.087 1.0358 0.2 ( 4 0 3) 48.043 0.4827 6.0658
97.316 1.0260 0.5 ( 1 1 6) 48.658 0.4873 6.1240
99.787 1.0071 0.2 ( 0 0 7) 49.894 0.4965 6.2388
100.460 1.0022 0.2 (-2 0 7) 50.230 0.4989 6.2695
100.616 1.0011 0.1 ( 0 2 5) 50.308 0.4995 6.2766
101.198 0.9969 0.1 ( 2 0 6) 50.599 0.5016 6.3030
101.546 0.9944 0.4 (-3 1 6) 50.773 0.5028 6.3187
104.210 0.9761 0.6 (-2 2 5) 52.105 0.5122 6.4369
104.729 0.9727 0.2 ( 2 2 4) 52.364 0.5140 6.4595
105.546 0.9674 0.3 (-5 1 1) 52.773 0.5168 6.4948
106.034 0.9643 0.2 (-1 1 7) 53.017 0.5185 6.5158
106.034 0.9643 0.2 (-5 1 2) 53.017 0.5185 6.5158
107.668 0.9542 0.2 (-4 2 1) 53.834 0.5240 6.5851
107.668 0.9542 0.2 (-4 0 6) 53.834 0.5240 6.5851
107.834 0.9531 0.3 ( 5 1 0) 53.917 0.5246 6.5921
108.837 0.9471 0.4 ( 4 0 4) 54.419 0.5279 6.6339
108.992 0.9462 0.5 (-4 2 2) 54.496 0.5284 6.6403
109.228 0.9448 0.4 ( 4 2 0) 54.614 0.5292 6.6500
109.559 0.9429 0.3 (-5 1 3) 54.779 0.5303 6.6636
110.337 0.9384 0.3 ( 3 1 5) 55.168 0.5328 6.6954
111.578 0.9315 0.1 ( 1 3 0) 55.789 0.5368 6.7455
112.286 0.9276 0.3 (-1 3 1) 56.143 0.5390 6.7737
113.095 0.9232 0.5 ( 5 1 1) 56.548 0.5416 6.8056
113.273 0.9223 0.4 (-4 2 3) 56.637 0.5421 6.8126
113.833 0.9193 0.2 ( 1 3 1) 56.917 0.5439 6.8344
113.833 0.9193 0.2 ( 4 2 1) 56.917 0.5439 6.8344
116.004 0.9083 0.4 (-5 1 4) 58.002 0.5505 6.9176
116.004 0.9083 0.4 (-1 3 2) 58.002 0.5505 6.9176
116.543 0.9056 0.5 ( 0 2 6) 58.272 0.5521 6.9378
116.755 0.9046 0.1 ( 1 1 7) 58.377 0.5527 6.9457
118.247 0.8975 0.2 (-3 1 7) 59.124 0.5571 7.0008
118.900 0.8945 0.3 (-2 2 6) 59.450 0.5590 7.0246
119.218 0.8930 0.2 ( 1 3 2) 59.609 0.5599 7.0361
119.603 0.8912 0.2 ( 2 2 5) 59.801 0.5610 7.0499
120.834 0.8858 0.4 (-4 2 4) 60.417 0.5645 7.0936
121.617 0.8824 0.4 ( 4 2 2) 60.808 0.5667 7.1209
121.737 0.8818 0.4 ( 5 1 2) 60.868 0.5670 7.1250
121.881 0.8812 0.3 ( 0 0 8) 60.940 0.5674 7.1300
121.881 0.8812 0.3 ( 2 0 7) 60.940 0.5674 7.1300
123.052 0.8763 0.4 (-1 3 3) 61.526 0.5706 7.1701
124.341 0.8710 0.1 (-4 0 7) 62.171 0.5740 7.2134
125.979 0.8646 0.1 ( 4 0 5) 62.989 0.5783 7.2671
126.338 0.8632 0.4 (-5 1 5) 63.169 0.5792 7.2787
128.024 0.8569 0.2 (-6 0 2) 64.012 0.5835 7.3321
128.236 0.8562 0.3 ( 1 3 3) 64.118 0.5840 7.3387
128.236 0.8562 0.3 (-6 0 1) 64.118 0.5840 7.3387
130.351 0.8487 0.3 ( 3 1 6) 65.175 0.5891 7.4031
131.363 0.8453 0.1 (-6 0 3) 65.681 0.5915 7.4331
132.035 0.8431 0.2 ( 6 0 0) 66.018 0.5931 7.4527
132.668 0.8410 0.2 (-4 2 5) 66.334 0.5945 7.4709
133.894 0.8371 0.2 ( 4 2 3) 66.947 0.5973 7.5055
134.436 0.8355 0.2 (-1 3 4) 67.218 0.5985 7.5205
135.035 0.8337 0.3 ( 5 1 3) 67.517 0.5998 7.5369
136.502 0.8293 0.3 (-3 3 1) 68.251 0.6029 7.5762
137.629 0.8261 0.4 ( 3 3 0) 68.814 0.6052 7.6056
138.887 0.8227 0.1 (-6 0 4) 69.443 0.6078 7.6375
139.225 0.8218 0.3 ( 0 2 7) 69.612 0.6084 7.6459
139.442 0.8212 0.4 (-3 3 2) 69.721 0.6089 7.6513
140.249 0.8191 0.5 (-2 2 7) 70.125 0.6104 7.6710
140.249 0.8191 0.5 ( 6 0 1) 70.125 0.6104 7.6710
141.397 0.8162 0.1 ( 2 2 6) 70.699 0.6126 7.6984
142.576 0.8133 0.6 (-5 1 6) 71.288 0.6148 7.7257
142.576 0.8133 0.6 (-3 1 8) 71.288 0.6148 7.7257
143.084 0.8121 0.6 ( 1 3 4) 71.542 0.6157 7.7372
143.084 0.8121 0.6 ( 3 3 1) 71.542 0.6157 7.7372
145.161 0.8073 0.1 ( 1 1 8) 72.580 0.6193 7.7828
147.337 0.8027 0.1 (-3 3 3) 73.669 0.6229 7.8277
请在微信客户端打开
附图:





PDF#00-043-1003(RDB):质标=计算(C);d=计算值;I=计算值
Cobalt Oxide
Co3 O4
射线=CuKa1 波长=1.54056 滤波法=
校准= 2θ=19.000-137.999 I/Ic(K值)=4.3
文献: Grier, D., McCarthy, G., North Dakota State University, Fargo, North Dakota, USA.
ICDD Grant-in-Aid(1991)
立方晶系-(未知),Fd-3m(227) Z=8
晶胞: 8.084×8.084×8.084 <90.0×90.0x90.0> P.S=cF56.00
密度(计算)=6.055 密度(测量)= 分子量=240.8 体积=528.30 F(30)=319.1(0.0031,30/0)
文献: 出处同上
强峰线: 2.44/X 1.43/4 2.86/3 1.56/3 2.02/2 4.67/2 1.05/1 0.83/1
General Comments: Calculation of diffractometer peak intensities done with MICRO-POWD v.
2.2 (D.
Smith and K.
Smith) using default instrument broadening function (NBS Table), diffracted beam monochromator polarization correction, and atomic scattering factors corrected for anomalous dispersion.
Cell parameters from 9-418.
Atomic positions from Roth, W., J.
Phys.
Chem.
Solids, 25 1-10 (1964): Co(1) in 8a, Co(2) in 16d, O in 32e with x=.3881.
Isotropic thermal parameters from same source: Co(1), Co(2), and O, B=.413.
2θ d(埃) I(f) ( h k l) θ 1/(2d) 2π/d n^2
19.000 4.6670 16.0 ( 1 1 1) 9.500 0.1071 1.3463 3
31.272 2.8580 33.0 ( 2 2 0) 15.636 0.1749 2.1985 8
36.846 2.4374 100.0 ( 3 1 1) 18.423 0.2051 2.5778 11
38.547 2.3337 9.0 ( 2 2 2) 19.273 0.2143 2.6924 12
44.809 2.0210 20.0 ( 4 0 0) 22.405 0.2474 3.1089 16
49.082 1.8546 <1 ( 3 3 1) 24.541 0.2696 3.3879 19
55.656 1.6501 9.0 ( 4 2 2) 27.828 0.3030 3.8078 24
59.354 1.5558 32.0 ( 5 1 1) 29.677 0.3214 4.0386 27
65.232 1.4291 38.0 ( 4 4 0) 32.616 0.3499 4.3966 32
68.630 1.3664 1.0 ( 5 3 1) 34.315 0.3659 4.5984 35
69.742 1.3473 <1 ( 4 4 2) 34.871 0.3711 4.6635 36
74.118 1.2782 3.0 ( 6 2 0) 37.059 0.3912 4.9157 40
77.340 1.2328 8.0 ( 5 3 3) 38.670 0.4056 5.0967 43
78.405 1.2187 4.0 ( 6 2 2) 39.202 0.4103 5.1556 44
82.627 1.1668 2.0 ( 4 4 4) 41.313 0.4285 5.3850 48
85.761 1.1320 1.0 ( 5 5 1) 42.881 0.4417 5.5505 51
90.965 1.0803 4.0 ( 6 4 2) 45.483 0.4628 5.8161 56
94.099 1.0524 11.0 ( 7 3 1) 47.049 0.4751 5.9703 59
99.333 1.0105 4.0 ( 8 0 0) 49.667 0.4948 6.2179 64
102.515 0.9876 <1 ( 7 3 3) 51.258 0.5063 6.3621 67
103.585 0.9803 <1 ( 6 4 4) 51.792 0.5100 6.4095 68
107.907 0.9527 2.0 ( 8 2 2) 53.953 0.5248 6.5951 72
111.211 0.9335 7.0 ( 7 5 1) 55.606 0.5356 6.7308 75
112.339 0.9273 2.0 ( 6 6 2) 56.169 0.5392 6.7758 76
116.922 0.9038 3.0 ( 8 4 0) 58.461 0.5532 6.9520 80
120.485 0.8873 <1 ( 9 1 1) 60.242 0.5635 7.0812 83
121.701 0.8820 <1 ( 8 4 2) 60.850 0.5669 7.1238 84
126.715 0.8618 1.0 ( 6 6 4) 63.357 0.5802 7.2908 88
130.738 0.8474 6.0 ( 9 3 1) 65.369 0.5900 7.4147 91
137.999 0.8251 10.0 ( 8 4 4) 69.000 0.6060 7.6151 96
附图:


PDF#00-041-1487(RDB):质标=定胞(I);d=衍射仪;I=衍射仪
Graphite-2H(Carbon)
C Black
射线=CuKa1 波长=1.54051 滤波法=Ni
校准=外部(Si) 2θ=26.381-93.597 I/Ic(K值)=7.78
文献: Sanc, I., Polytechna, Foreign Trade Corporation, Panska, Czechoslovakia.
ICDD Grant-in-Aid(1990)
六方晶系-粉末衍射,P63/mmc(194) Z=4
晶胞: 2.4704×2.4704×6.7244 <90.0×90.0x120.0> P.S=hP4.00
密度(计算)=2.245 密度(测量)=2.16 分子量=12.01 体积=35.54 F(10)=18.5(0.042,13/0)
文献: 出处同上
Aust. J. Chem., v42 p479(1989)
强峰线: 3.38/X 2.04/1
Additional Patterns: To replace 00-001-0640, 00-001-0646, 00-002-0456, 00-003-0401, 00-023-0064, 00-025-0284 and 00-034-0567 and validated by calculated pattern 00-025-0284.
Color: Black.
Sample Source or Locality: Specimen from Netolice, Czechoslovakia.
Temperature of Data Collection: Pattern taken at 298(1) K.
Unit Cell Data Source: Powder Diffraction.
2θ d(埃) I(f) ( h k l) θ 1/(2d) 2π/d n^2
26.381 3.3756 100.0 ( 0 0 2) 13.191 0.1481 1.8613
42.222 2.1387 2.0 ( 1 0 0) 21.111 0.2338 2.9379
44.392 2.0390 6.0 ( 1 0 1) 22.196 0.2452 3.0815
50.453 1.8074 <1 ( 1 0 2) 25.226 0.2766 3.4764
54.543 1.6811 4.0 ( 0 0 4) 27.272 0.2974 3.7375
59.693 1.5478 1.0 ( 1 0 3) 29.847 0.3230 4.0595
77.245 1.2341 3.0 ( 1 1 0) 38.622 0.4052 5.0914
83.185 1.1604 3.0 ( 1 1 2) 41.593 0.4309 5.4148
86.825 1.1208 <1 ( 0 0 6) 43.413 0.4461 5.6058
93.597 1.0567 <1 ( 2 0 1) 46.798 0.4732 5.9459
附图:

感谢你读到这里
七七想与你分享每一个前进的脚印🌼
夜雨聆风