当前位置:首页>文档>2009年广州市中考物理试题(含答案)_中考真题_4.物理中考真题2015-2024年_地区卷_广东省_广东广州中考物理2008---2022年

2009年广州市中考物理试题(含答案)_中考真题_4.物理中考真题2015-2024年_地区卷_广东省_广东广州中考物理2008---2022年

  • 2026-04-11 12:02:11 2026-02-05 11:30:33

文档预览

2009年广州市中考物理试题(含答案)_中考真题_4.物理中考真题2015-2024年_地区卷_广东省_广东广州中考物理2008---2022年
2009年广州市中考物理试题(含答案)_中考真题_4.物理中考真题2015-2024年_地区卷_广东省_广东广州中考物理2008---2022年
2009年广州市中考物理试题(含答案)_中考真题_4.物理中考真题2015-2024年_地区卷_广东省_广东广州中考物理2008---2022年
2009年广州市中考物理试题(含答案)_中考真题_4.物理中考真题2015-2024年_地区卷_广东省_广东广州中考物理2008---2022年
2009年广州市中考物理试题(含答案)_中考真题_4.物理中考真题2015-2024年_地区卷_广东省_广东广州中考物理2008---2022年
2009年广州市中考物理试题(含答案)_中考真题_4.物理中考真题2015-2024年_地区卷_广东省_广东广州中考物理2008---2022年
2009年广州市中考物理试题(含答案)_中考真题_4.物理中考真题2015-2024年_地区卷_广东省_广东广州中考物理2008---2022年
2009年广州市中考物理试题(含答案)_中考真题_4.物理中考真题2015-2024年_地区卷_广东省_广东广州中考物理2008---2022年
2009年广州市中考物理试题(含答案)_中考真题_4.物理中考真题2015-2024年_地区卷_广东省_广东广州中考物理2008---2022年
2009年广州市中考物理试题(含答案)_中考真题_4.物理中考真题2015-2024年_地区卷_广东省_广东广州中考物理2008---2022年
2009年广州市中考物理试题(含答案)_中考真题_4.物理中考真题2015-2024年_地区卷_广东省_广东广州中考物理2008---2022年
2009年广州市中考物理试题(含答案)_中考真题_4.物理中考真题2015-2024年_地区卷_广东省_广东广州中考物理2008---2022年
2009年广州市中考物理试题(含答案)_中考真题_4.物理中考真题2015-2024年_地区卷_广东省_广东广州中考物理2008---2022年

文档信息

文档格式
doc
文档大小
0.974 MB
文档页数
9 页
上传时间
2026-02-05 11:30:33

文档内容

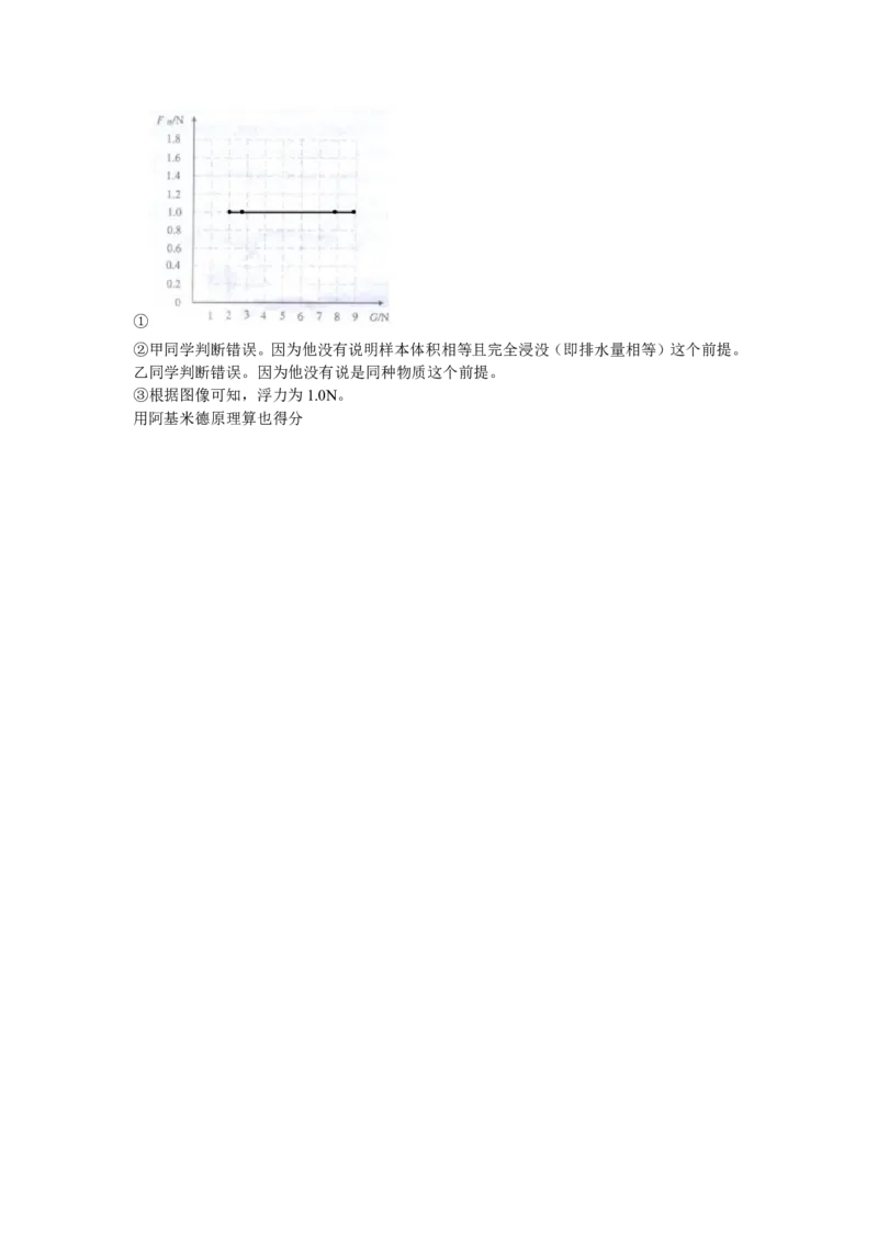
秘密★启用前 2009 年广州市初中毕业生学业考试 物 理 本试卷分第一部分(选择题)和第二部分(非选择题).第一部分1到3页,第二部分3至8 页,共8页。总分100分。考试时间80分钟。 注意事项: 1.答题前,考生务必在答题卡上用黑色字迹的钢笔或签字笔填写自己的考生号、姓名; 填写考场试室号、座位号;再用2B铅笔把对应该两号码的标号涂黑。 2.选择题每小题选出答案后,用2B铅笔把答题卡上对应题目的答案标号涂黑;如需改动, 用橡皮擦干净后,再选涂其他答案;不能答在试卷上。 3.非选择题答案必须写在答题卡各题目指定区域内的相应位置上;如需改动,先划掉原 来的答案,然后再写上新的答案,改动的答案也不能超出指定的区域;除作图题可用2B铅笔 作图外,其他各题必须用黑色字迹钢笔或签字笔作答.不准使用涂改液.不按以上要求作答 的答案无效。 4.考生必须保持答题卡的整洁.考试结束后,将本试卷和答题卡一并交回。 5.全卷共25小题,请考生检查题数。 第一部分 (选择题 共 36 分) 一、选择题(每小题3分,共36分) 每小题给出的四个选项中,只有一项符合题意。 1.下表是国家标准鞋码与脚长对照表,表中“光脚长度”的单位是 鞋的尺码 36 37 38 39 40 光脚长度 230 235 240 245 250 A. m B.cm C.nm D.mm 2.原子的中心是原子核,周围有电子绕核运动,图1是四种原子的结构示意图.由图中信 息可知 A.质子、电子的带电荷不等 B.所有原子核的中子数与质子数相等 C.中性原子的电子数与质子数相等 D.所有的原子都是由电子、质子、中子组成 质子 铁钉 +1 1 +2 2 +3 2 1 +4 2 2 绝缘层 电池 中子 He Li Be 铜芯 图2 图1 3.下列控制噪声的措施中,属于防止噪声产生的是 A.关闭房间的门窗 B.会场内把手机调到无声状态 C.紧靠高速公路旁的房子装隔音窗 D.机场跑道工作人员使用防噪声耳罩4.如图2,把一根包有绝缘层的导线绕在铁钉上,把导线两端的绝缘层刮去,接上干电池后, 铁钉 A.有磁性 B.会熔化 C.有电流流过 D.两端对小磁针北极都有吸引力 5.密闭的房间里打开香水瓶的盖子,一会儿整个房间都能闻到香味.以下说法正确的是 A.温度越高,香味扩散得越慢 B.若温度低于0℃,这个现象就消失 C. 这个现象能说明分子间有相互作用力 D.这个现象能说明分子运动是无规则的 6.红外线与可见光 A.频率相等 B.波长相等 C.都是电磁波 D.在真空中的传播速度不等 图3 7. 图3是利用透明玻璃板探究平面镜成像特点的实验示意图,下列说法正 确的是 A.像的大小与蜡烛到玻璃板的距离有关 B.蜡烛远离玻璃过程中,蜡烛的像始终与蜡烛等大 C.把光屏放在玻璃后像所在的位置, 像会成在光屏上 A D.用玻璃板代替平面镜是为了能在玻璃板后成一实像 B 8.如图4所示,忽略空气阻力,由空中A处释放的小球经过B、C两位置时具有相同的 C A.速度 B.动能 图4 C.机械能 D.重力势能 9.如图5所示,将一木块放在压缩了的弹簧旁,释放弹簧,木块沿水平地面向右运动,离 开弹簧后,木块运动一段距离后停下来.下列说法正确的是 A.木块所受摩擦力使木块由静止开始运动 B.弹簧对木块的弹力使木块由静止开始运动 C.木块所受摩擦力不会改变木块的运动状态 D.木块最终停止运动是由于失去弹簧的弹力作用 图5 10. 甲升降机比乙升降机的机械效率高,它们分别把相同质量的物体匀速提升相同的高 度. 两者相比,甲升降机 A.电动机做的总功较少 B.电动机做的总功较多 C.提升重物做的有用功较少 D.提升重物做的有用功较多 11. 探究烛焰通过焦距是10cm的凸透镜成像规律时,蜡烛、透镜、 凸透镜 光屏位置如图6所示.此时 光屏 烛焰 A. a为物距 B. b为焦距 a b C.凸透镜成放大的烛焰像 0 10 20 30 40 50 60 70 cm D.若蜡烛、透镜不动,仅移动光屏,烛焰可在光屏上成清晰的像 图612.用图7所示的方法测量同一只鞋在不同水平路面滑动时的摩擦力,下列说法正确的是 A.在柏油路面和冰面上测得摩擦力都相同 B.同一路面,无论鞋内是否放上铁块,摩擦力都一样 C.只要鞋被拉动了,测力计的读数就等于鞋受到的摩擦力大小 D.在同一路面鞋以不同速度做匀速运动,测力计的示数都相同 图7 第二部分(非选择题 共 64 分) 二、填空题 (共16分) 13.百米赛跑过程中的某时刻甲、乙两运动员位置的示意图如图8所示. (1)两运动员中,___________的速度较快,因为在相等的时间内该运动员_____较大. (2)乙运动员的成绩是10s,他的速度是______m/s. (3)运动员跑到终点时,不能马上停下来,是因为_________. 14.探究产生感应电流条件的实验步骤如图9、10、11所示. 电流表 左 右 电流表 上 电流表 左 右 B B B 下 A A A 图9:AB棒垂直磁感线左右运动. 图10: AB棒沿着磁感线上下运动 图11:AB棒垂直磁感线左右运动. (1)本实验,我们通过观察什么现象来判断电路是否有感应电流? . (2)通过对比图______与图_____可知,产生感应电流的一个条件是电路要闭合;通过对 比图______与图_____可知,产生感生电流的另一个条件是导体要在磁场中做切割磁感线运 动. (3)若图9中AB棒不动,磁铁左右水平运动,电路____感应电流.(选择 “有”或“无”) 15.如图12甲,一容积为0.5m3、底面积为0.5m2的容器装满水后密封, P 容器内水的质量是____kg,液体对容器底部的压力为_______N,压强为 ______Pa. 如图12乙,若在容器侧壁处开一小孔P,发现水不会从小孔流 出,这是因为_________,.(ρ =1.0×103kg/m3,g=10N/kg 大气压约为 水 甲 乙 1.01×105Pa) 图12 16.(1)小明家电路电压为220V、电线允许通过的最大电流30A,他家允许同时使用的用电器最大总功率是 ,若同时使用一台“220V 7.2kW”电热水器和一台“220V 2.8kW”电暖器,它们的总功率将是 ,超过线路允许使用的最大功率. (2)已知天然气热值为 8.0×107J/m3,若用天然气热水器替换 7.2kW 的电热水器, ________m3的天然气完全燃烧放出的能量与电热水器工作30s消耗的电能相等. 三、作图题(共9分) 17. 在虚框内画出图13所示实物电路的电路图. - + 图13 18.如图14所示,粗细均匀的棒一端搁在地上,另一端与支点O连接.要求 (1)作出地面对棒的支持力和棒所受重力的示意图. (2)画出重力的力臂. 眼 A 1 O 空气 水 H 图14 A 图15 2 19.如图15所示水面上方有一发光点A,水中另有一发光点A.人在空气中看到A 在水中 1 2 2 的位置就是A 在水中像的位置.画出 1 (1)A 发出的光经水面反射进入人眼的光路图 1 (2)A 发出的光进入人眼的光路图 2 四、计算题(共15分) 解答应写出必要的文字说明、公式和重要演算步骤.只写出最后答案的不能得分.有数 值计算的题,演算过程及结果都要在数字的后面写上正确的单 位. 20.(8分)图16中两灯泡L L 在盒内的连接方式未知,电 1、 2 源电压为6V.开关闭合,两灯均发光,电流表读数为0.9A;若把L 1 取下,L 仍发光,电流表读数变为0.3A. 2 (1)L 和L 是并联还是串联的? 1 2(2)取下L 后, 5秒内L 消耗多少电能? 1 2 (3)L 的电阻多大? 1 21.(7分)甲、乙两人分别用不同的方法把重100N的物体A从地面匀速提到三楼. (1)甲用图17所示的方法,直接用绳把物体提到三楼.判断该过程绳对物体的拉力F是否 做功时,有两种分析如下表,若分析正确,在表中同一行的空格画“√”. N 甲 物体在力F的方向上移动了距离,所 分析一 以拉力F对物体有做功 h N F A A 6m 分析二 物体匀速上升,其M 能量的转化过程,是通过做功的过程 动能不变,重力势 来实现的.因为物体的机械能增加 能增加 了,所以拉力F对物体有做功 M 图17 (2) 甲用时20s把物体由M提到N,,他对物体做功的功率多大? (3)乙用图18所示的方法,通过滑轮把物体提到三楼,滑轮重10N,人对绳的拉力60N.有 人计算乙做的总功过程如下 W=F s ① 乙 乙 N F = = =50N ② 乙 A 6m S=6m ③ M 联立①②③求出W 图18 请改正②③错误之处. 五、问答题(5分) 22. 如图19,从温度与室温(24℃)相同的酒精里取出温度计.请你分析为什么取出后,它的 示数会先减少,过了一段时间又升回24℃? 六、实验 探究题(共19分) 23.(5分)用图20所示的仪器测电阻R的电阻值 图19(1)将图20的电路,连成正确的测量电路. (2)电路中的滑动变阻器对电路起保护作用,因此开关闭合前,其滑片应移到最___端(填 “左”或“右”);实验过程中,滑动变阻器还有另一个作用是__________. (3)如果电路中电流表、电压表的读数如图21,电流表的读数为 ,电压表的读数为 . 24.(7分)用图22的实验装置探究烧杯内的某种物质熔化的温度变化规律. (烧杯内物质在相同时间内吸收的热量相同.) (1)某时刻温度计示数如图22,此刻杯内物质温度是_____________. (2)根据实验数据描出加热过程中杯内物质的温度随时间变化图象如图23. 该物质的熔点是__________. (3)t 时刻,该物质处于__________态.(选填“固”、“液”、“固、液混合”) 2 (4) t 与t 相比,哪一时刻杯内物体内能较大? ,理由是 . 2 3 (5)已知0~ t 与t~ t 的时间相等,从图23可知两段时间内温度升高不同,由此可以做出: 1 5 6 “这种物质固态时的比热容小于液态时的比热容”的判断.请写出做出此判断的依据. 10 温度/ºC º C 0 10 10 0 t t t t t t 1 2 3 4 5 6 时间/min 20 -20 图23 隔热材料 电热棒 图22 25.(7分)做研究浮力的实验中 (1)测量浸没在水中物体所受浮力大小步骤如下: ①用细线把一物体挂在弹簧测力计上如图20所示,测出该物体所受重力G=1.2N; ②把物体浸没在水中如图25所示, ,此时弹簧测力计示数F=_____;③物体所受浮力F =________ 浮 (2)按上述方法测定两组共8个实心物体浸没在水中所受浮力的实验数据如表1、表2 请回答下列的问题 表1 体积均为100cm3石块、铝块、铁块、铜块. 表2 四块质量不等、密度相同的石块 物体 石块 铝块 铁块 铜块 物体所受重力 物体 石块1石块2石块3石块4物体所受重力G G(N)22.77.98.9物体所受浮力F 浮 (N)1111 (N)0.71.42.84.2物体所受浮力F 浮 (N)0.5123 ①为了研究体积相同的不同物体,浸没在水中时所受浮力与重力的关系,根据表1数据,在 以G为横坐标、F 为纵坐标的方格纸上描点,再把这些点连起来. 浮 F /N 浮 1.4 1.2 1.0 0.8 0.6 0.4 0.2 G/N 0 1 2 3 4 5 6 7 8 9 ②甲同学根据图线得“一切浸没在水中的物体所受的浮力皆相等”的结论. 乙同学根据表2数据得出“一切浸没在水中的物体所受浮力与其所所受重力成正比” 的结论. 请你从两位同学的结论中任选一个判断其是否正确,并说出理由. ③假如将体积为100cm3的铅块浸没在水中,它将受到多大的浮力?2009年广州市初中毕业生学业考试物理答案 一、选择题: 1—5、D C B A D 6—10、C B C B A 11—12、C D 二、填空题:13(1)、乙 乙跑过的路程 (2)、10 (3)运动员具有惯性 14(1) 电流表指针的偏转 (2) 9、 11; 9 、10 (3) 有 15、 500 5×103 1×104 大气压强的作用 16(1) 6600 1×104 W (2)2 . 7×10-3 三、作图题 17、 18、 19、 四、计算题 20、解:(1) L 和L 是并联 1 2 (2) U= U= U= 6V 1 2 L 消耗的电能为 W= U I t=6V×0.3A×5 S=9 J 2 2 2 2 (3) 通过L 的电流为 I= I—I = 0.9A—0.3A= 0.6A 1 1 2 L 的阻值为 R= U / I = 6V/ 0.6A=10Ω 1 1 1 1 答:略 21、(1)分析一 (√ );分析二 (√ ) (2)对物体所做的功为 W= Gh = 100N×6m = 600 J 功率为 P= W/t = 600 J /20 s = 30W (3) F = 60N S = nh =2 × 6m =12m 乙 22、答:温度计被取出,液泡上的酒精蒸发吸热,液泡温度降低,从 而使温度计的示数减少;待酒精蒸发完毕后,外界空气 温度高,将热量传给液泡,直到空气与液泡温差为0,所 以温度计的温度又回到与室内相同的温度24℃。 23、(1) 如图 (2) 左 改变电阻两端的电压大小和通过电流的大小,从而多次测量 取平均值减小误差 (3) 0.4 A 2.4 V 24、(1)—8℃ (2)0℃ (3)固液混合 (4) t 熔化过程要吸收热量 3 (5)答:烧杯内物质在相同时间内吸收的热量相同,在0~t 时间里升高的温度为△t=20℃ 1 1 在t~t 时间里升高的温度为△t =10℃, 故△T △T 由 Q=Cm△t 可知,当吸收的热量和质 5 6 2 1 > 2 量都相同时,△t越大比热容C就越小。所以这种物质固态时的比热容小于液态时的比热容。 25、(1)②0.4 N ③0.8 N (2)① ②甲同学判断错误。因为他没有说明样本体积相等且完全浸没(即排水量相等)这个前提。 乙同学判断错误。因为他没有说是同种物质这个前提。 ③根据图像可知,浮力为1.0N。 用阿基米德原理算也得分