当前位置:首页>文档>数学(全解全析)_2数学总复习_赠送:2024中考模拟题数学_一模_数学(广西卷)-2024年中考第一次模拟考试

数学(全解全析)_2数学总复习_赠送:2024中考模拟题数学_一模_数学(广西卷)-2024年中考第一次模拟考试

  • 2026-04-07 11:05:58 2026-02-05 22:34:16

文档预览

数学(全解全析)_2数学总复习_赠送:2024中考模拟题数学_一模_数学(广西卷)-2024年中考第一次模拟考试
数学(全解全析)_2数学总复习_赠送:2024中考模拟题数学_一模_数学(广西卷)-2024年中考第一次模拟考试
数学(全解全析)_2数学总复习_赠送:2024中考模拟题数学_一模_数学(广西卷)-2024年中考第一次模拟考试
数学(全解全析)_2数学总复习_赠送:2024中考模拟题数学_一模_数学(广西卷)-2024年中考第一次模拟考试
数学(全解全析)_2数学总复习_赠送:2024中考模拟题数学_一模_数学(广西卷)-2024年中考第一次模拟考试
数学(全解全析)_2数学总复习_赠送:2024中考模拟题数学_一模_数学(广西卷)-2024年中考第一次模拟考试
数学(全解全析)_2数学总复习_赠送:2024中考模拟题数学_一模_数学(广西卷)-2024年中考第一次模拟考试
数学(全解全析)_2数学总复习_赠送:2024中考模拟题数学_一模_数学(广西卷)-2024年中考第一次模拟考试
数学(全解全析)_2数学总复习_赠送:2024中考模拟题数学_一模_数学(广西卷)-2024年中考第一次模拟考试
数学(全解全析)_2数学总复习_赠送:2024中考模拟题数学_一模_数学(广西卷)-2024年中考第一次模拟考试
数学(全解全析)_2数学总复习_赠送:2024中考模拟题数学_一模_数学(广西卷)-2024年中考第一次模拟考试
数学(全解全析)_2数学总复习_赠送:2024中考模拟题数学_一模_数学(广西卷)-2024年中考第一次模拟考试
数学(全解全析)_2数学总复习_赠送:2024中考模拟题数学_一模_数学(广西卷)-2024年中考第一次模拟考试
数学(全解全析)_2数学总复习_赠送:2024中考模拟题数学_一模_数学(广西卷)-2024年中考第一次模拟考试
数学(全解全析)_2数学总复习_赠送:2024中考模拟题数学_一模_数学(广西卷)-2024年中考第一次模拟考试
数学(全解全析)_2数学总复习_赠送:2024中考模拟题数学_一模_数学(广西卷)-2024年中考第一次模拟考试
数学(全解全析)_2数学总复习_赠送:2024中考模拟题数学_一模_数学(广西卷)-2024年中考第一次模拟考试
数学(全解全析)_2数学总复习_赠送:2024中考模拟题数学_一模_数学(广西卷)-2024年中考第一次模拟考试
数学(全解全析)_2数学总复习_赠送:2024中考模拟题数学_一模_数学(广西卷)-2024年中考第一次模拟考试
数学(全解全析)_2数学总复习_赠送:2024中考模拟题数学_一模_数学(广西卷)-2024年中考第一次模拟考试
数学(全解全析)_2数学总复习_赠送:2024中考模拟题数学_一模_数学(广西卷)-2024年中考第一次模拟考试
数学(全解全析)_2数学总复习_赠送:2024中考模拟题数学_一模_数学(广西卷)-2024年中考第一次模拟考试
数学(全解全析)_2数学总复习_赠送:2024中考模拟题数学_一模_数学(广西卷)-2024年中考第一次模拟考试

文档信息

文档格式
docx
文档大小
0.695 MB
文档页数
19 页
上传时间
2026-02-05 22:34:16

文档内容

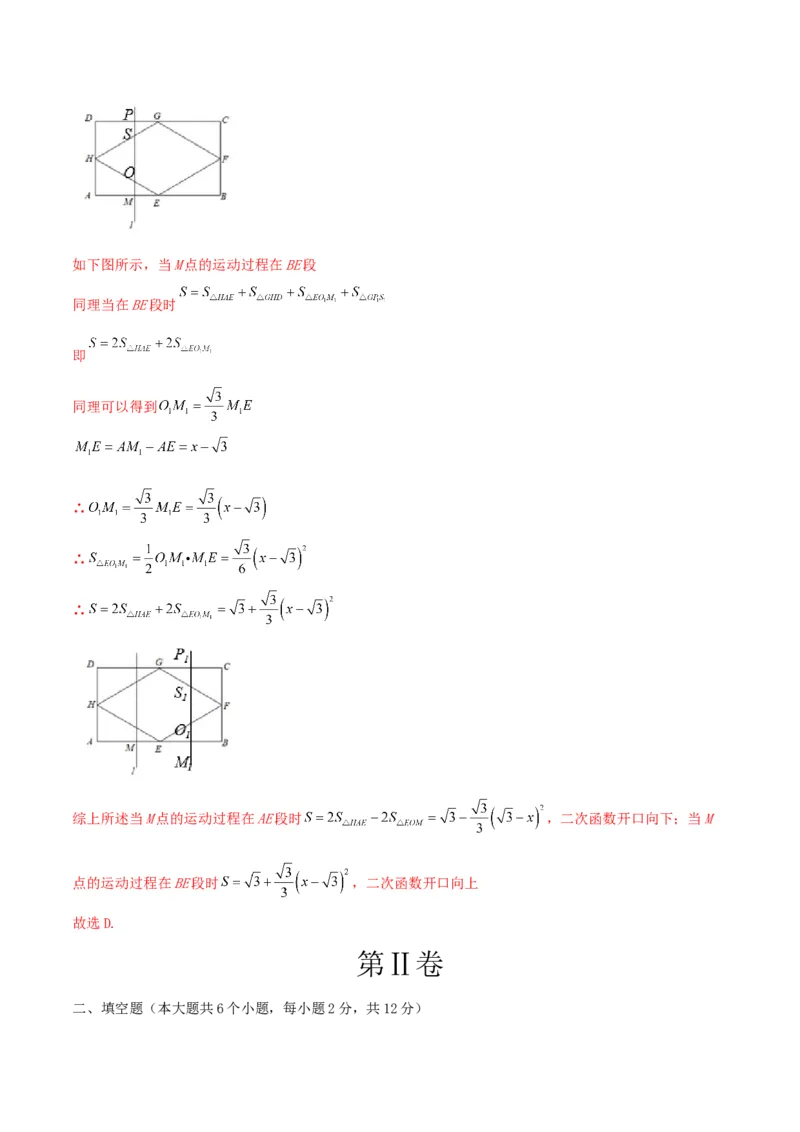
2024 年中考第一次模拟考试 数学·全解全析 第Ⅰ卷 一、选择题(本大题共12个小题,每小题3分,共36分.在每个小题给出的四个选项中,只有一项符合 题目要求,请选出并在答题卡上将该项涂黑) 1. 如果将“收入50元”记作“+50元”,那么“支出20元”记作 A.+20元 B.﹣20元 C.+30元 D.﹣30元 1.B 【分析】在一对具有相反意义的量中,先规定其中一个为正,则另一个就用负表示. 【详解】解:“正”和“负”相对, 所以如果+50元表示收入50元, 那么支出20元表示为﹣20元. 故选:B. 2.下列交通标志中,是轴对称图形的是 A. B. C. D. 2.D 【分析】根据轴对称图形的概念进行判断即可. 【详解】A不是轴对称图形,故此选项不合题意; B不是轴对称图形,故此选项不合题意; C不是轴对称图形,故此选项不合题意; D是轴对称图形,故此选项符合题意. 故选:D. 3.一元一次方程4x+1=0的解是 1 1 A. B.- C.4 D.-4 4 4 3.B 【详解】试题分析: ,所以 .故选B.4.以下调查中,最适合用来全面调查的是 A.调查柳江流域水质情况 B.了解全国中学生的心理健康状况 C.了解全班学生的身高情况 D.调查春节联欢晚会收视率 4.C 【分析】逐项分析,找出适合全面调查的选项即可. 【详解】A.调查柳江流域水质情况,普查不切实际,适用采用抽样调查,不符合题意; B.了解全国中学生的心理健康状况,调查范围广,适合抽样调查,不符合题意; C.了解全班学生的身高情况,适合普查,符合题意; D.调查春节联欢晚会收视率,调查范围广,适合抽样调查,不符合题意. 故选C. 5.如图,直线a,b被直线c所截,若a∥b,∠1=70°,则∠2的度数是 A.50° B.60° C.70° D.110° 5.C 【分析】由 ,∠1=70°,可得 从而可得答案. 【详解】解:∵ ,∠1=70°, ∴ 故选C 6.下列计算正确的是 A.a3+a4=a7 B.a3 ⋅a4=a7 C.a4÷a3=a7 D.(a3) 4 =a7 6.B 【分析】根据合并同类项,同底数幂的乘法,同底数幂的除法,幂的乘方进行计算即可. 【详解】A. ,故该选项不符合题意; B. ,故该选项符合题意; C. ,故该选项不符合题意; D. ,故该选项不符合题意; 故选:B. x−2 7.若分式 的值等于0,则x的值是 x+3 A.2 B.﹣2 C.3 D.﹣3 7.A 【分析】根据分式的值为0的条件:分子为0,分母不为0性质即可求解.【详解】由题意可得: 且 ,解得 . 故选A. 8.篮球裁判员通常用抛掷硬币的方式来确定哪一方先选场地,那么抛掷一枚均匀的硬币一次,正面朝上 的概率是 1 1 1 A.1 B. C. D. 2 4 6 8.B 【分析】根据概率的公式计算即可. 【详解】解:抛掷一枚均匀的硬币一次,可能出现两种可能的结果,正面朝上,反面朝上, ∴正面朝上的概率为: 故选:B 9.如图,某博物馆大厅电梯的截面图中,AB的长为12米,AB与AC的夹角为α,则高BC是 12 12 A.12sinα米 B.12cosα米 C. 米 D. 米 sinα cosα 题5图 题9图 题11图 题12图 9.A 【分析】在Rt△ACB中,利用正弦定义,sinα= ,代入AB值即可求解. 【详解】解:在Rt△ACB中,∠ACB=90°, ∴sinα= , ∴BC= sinαAB=12 sinα(米), 故选:A. 10.甲、乙二人做某种零件,已知甲每小时比乙多做6个,甲做90个所用的时间与乙做60个所用的时间 相等,若设乙每小时做x个,则可列方程90 60 90 60 90 60 90 60 A. = B. = C. = D. = x+6 x x−6 x x x−6 x x+6 10.A 【分析】设乙每小时做 个零件,则甲每小时做 个零件,根据题意可得,甲做90个所用的时间与乙 做60个所用的时间相等,据此列方程. 【详解】解:设乙每小时做 个零件,则甲每小时做 个零件, 由题意得: , 故选:A. 11.已知二次函数y=ax2+bx+c(a≠0)的图象如图所示,下列说法错误的是 A.图象关于直线x=1对称 B.函数y=ax2+bx+c(a≠0)的最小值是﹣4 C.﹣1和3是方程ax2+bx+c(a≠0)=0的两个根 D.当x<1时,y随x的增大而增大 11.D 【分析】根据函数图象确定对称轴、最小值、增减性、二次函数与一元二次方程的关系判断即可. 【详解】A.观察图象,可知抛物线的对称轴为直线x=1,则图象关于直线x=1对称,正确,故本选项不符 合题意; B.观察图象,可知抛物线的顶点坐标为(1,﹣4),又抛物线开口向上,所以函数ax2+bx+c(a≠0)的 最小值是﹣4,正确,故本选项不符合题意; C.由图象可知抛物线与x轴的一个交点为(﹣1,0),而对称轴为直线x=1,所以抛物线与x轴的另外一 个交点为(3,0),则﹣1和3是方程ax2+bx+c(a≠0)的两个根,正确,故本选项不符合题意; D.由抛物线的对称轴为x=1,所以当x<1时,y随x的增大而减小,错误,故本选项符合题意. 故选D. 12.如图,矩形ABCD各边中点分别是E、F、G、H,AB=2√3,BC=2,M为AB上一动点,过点M作直线 l⊥AB,若点M从点A开始沿着AB方向移动到点B即停(直线l随点M移动),直线l扫过矩形内部和 四边形EFGH外部的面积之和记为S.设AM=x,则S关于x的函数图象大致是 A. B. C. D. 12.D 【分析】把M点的运动过程分为AE段( )和BE段( )两个过程,然后根据题意可知在AE段 ,分别表示出四个三角形的面积即可用x表示出S;同理当在 BE段时 ,分别表示出四个三角形的面积即可用x表示出S;最后根据x 与S的函数关系式对图像进行判断即可 【详解】解:如下图所示,当M点的运动过程在AE段 则由题意可知 ∵四边形ABCD是矩形,直线l⊥AB,H、E、F、G为AD、AB、BC、CD的中点 ∴ , ∴ ∵ , , ∴ ∵直线l⊥AB ∴∠OME=∠A=90° ∴△HAE∽△OME ∴ ∴ 又∵ ∴ ∴ ∴如下图所示,当M点的运动过程在BE段 同理当在BE段时 即 同理可以得到 ∴ ∴ ∴ 综上所述当M点的运动过程在AE段时 ,二次函数开口向下;当M 点的运动过程在BE段时 ,二次函数开口向上 故选D. 第Ⅱ卷 二、填空题(本大题共6个小题,每小题2分,共12分)13.要使二次根式√x+1在实数范围内有意义,x的取值范围是 . 13. 【分析】根据二次根式有意义的条件列出关于 的不等式,求出 的取值范围即可. 【详解】 二次根式 有意义 故答案为: 14.分解因式:m2−4= . 14. 【分析】直接根据平方差公式进行因式分解即可. 【详解】 , 故填 15.在一个不透明的袋中装有大小和质地都相同的5个球:2个白球和3个红球.从中任意取出1个球, 取出的球是红球的概率是 . 15. 【分析】根据概率公式即可求解. 【详解】2个白球和3个红球.从中任意取出1个球,取出的球是红球的概率是 故答案为: . k 16.已知反比例函数y= 经过点(1,5),则k的值是 . x 16.5 【详解】试题分析:依题意,得x=1时,y=5,所以,k=xy=5,故答案为5. 17.一条公路弯道处是一段圆弧A´B,点O是这条弧所在圆的圆心,点C是A´B的中点,OC与AB相交于点 D.已知AB=120m,CD=20m,那么这段弯道的半径为 . 17.100m 【分析】连接OA,由垂径定理求出AD的长,判断出△AOD的形状,在设OA=r,利用勾股定理即可得出r的 长.【详解】连接OA, ∵C是 的中点,OC与AB相交于点D, ∴AB⊥OC, ∴AD= AB= ×120=60m, ∵△AOD是直角三角形, 设OA=r,则OD=r-CD=OC-CD=r-20, 在Rt△AOD中, OA2=AD2+OD2,即r2=602+(r-20)2, 解得r=100m. 故答案为100m 题17图 题18图 18.已知抛物线y=ax2+bx+c(a≠0)的对称轴是直线x=1,其部分图象如图所示,下列说法中:①abc<0; ②a−b+c<0;③3a+c=0;④当−10,正确的是 (填写序号 18.①③④. 【分析】首先根据二次函数图象开口方向可得 ,根据图象与y轴交点可得 ,再根据二次函数的对 称轴 ,结合a的取值可判定出b>0,根据a,b,c的正负即可判断出①的正误;把 代入函数 关系式 ,再根据对称性判断出②的正误;把 中即可判断 出③的正误;利用图象可以直接看出④的正误. 【详解】解:根据图象可得: ,对称轴: , 故①正确; 把 代入函数关系式 由抛物线的对称轴是直线 ,可得当 故②错误; 即: 故③正确; 由图形可以直接看出④正确. 故答案为①③④. 三、解答题(本大题共8个小题,共72分.解答应写出文字说明,证明过程或演算步骤) 19.(本题满分6分) 计算: . (−1+2)×3+22+(−4) 19.3 【分析】先计算括号内的,并计算乘方,再计算乘法,最后计算加减即可. 【详解】解:原式=1×3+4-4 =3+4-4 =3. 20.(本题满分6分) 解不等式2x+3≥-5,并把解集在数轴上表示出来. 20.原不等式的解集为 ;见解析 【分析】通过移项,合并同类项及不等式的两边同时除以2,进行求解并把解集在数轴上表示出来即可. 【详解】移项,得 , 合并同类项,得 , 不等式的两边同时除以2,得 , 所以,原不等式的解集为 . 如图所示:. 21.(本题满分10分) 如图,∠CAD是△ABC的外角. (1)尺规作图:作∠CAD的平分线AE (不写作法,保留作图痕迹,用黑色墨水笔将痕迹加黑); (2)若AE//BC,求证:AB=AC. 题21 图 21.(1)作图见解析;(2)证明见解析 【分析】(1)正确地利用尺规作出AE即可; (2)利用平行线的性质和角平分线的性质即可证明求解. 【详解】解:(1)如图所示,以A为圆心,以任意长为半径画弧,分别交直线AC于M,直线AD于N,连 接MN,分别以M、N为圆心,以大于MN的一半为半径画弧,两弧交于E,连接AE即为所求; (2)∵AE∥BC, ∴∠C=∠CAE,∠B=∠EAD, ∵AE是∠CAD的角平分线, ∴∠CAE=∠EAD, ∴∠B=∠C, ∴AB=AC. 22.(本题满分10分) 为了加强对青少年防溺水安全教育,5月底某校开展了“远离溺水,珍爱生命”的 防溺水安全知识比赛.下面是从参赛学生中随机收集到的20名学生的成绩(单位:分): 87 99 86 89 91 91 95 96 87 97 整理数据: 91 97 96 86 9 8 9 成绩(分) 86 89 91 95 97 99 100 6 89 100 91 9 7 6 9 97 学生人数(人) 2 2 2 a 1 3 b 2 1 分析数据: 平均数 众数 中位数93 c d 解决问题: (1)直接写出上面表格中的a,b,c,d的值; (2)若成绩达到95分及以上为“优秀”等级,求“优秀”等级所占的百分率; (3)请估计该校1500名学生中成绩达到95分及以上的学生人数. 22.(1)a=4;b=3;c=91;d=93; (2)“优秀”等级所占的百分率为50%; (3)估计该校1500名学生中成绩达到95分及以上的学生人数为750人. 【分析】(1)直接根据学生成绩的数据得出a、b的值;由众数的定义确定c的值;根据中位数的计算方 法确定d的值即可; (2)先求出优秀的总人数,然后求所占百分比即可; (3)用总人数乘以(2)中结论即可. 【详解】(1)解:根据学生的成绩得出:得91分的学生人数为4人, ∴a=4; 得97分的学生人数为4人, ∴b=3; 得91分的学生人数最多,出现4次, ∴众数为91, ∴c=91; 共有20名学生,所以中位数为第10、11位学生成绩的平均数, ∵2+2+2+4=10,2+2+2+4+1=11, ∴第10、11位学生成绩分别为91,95, ∴d= ; (2)解:95分及以上的人数为:1+3+3+2+1=10, ∴ , “优秀”等级所占的百分率为 ; (3)解:1500×50%=750, 估计该校1500名学生中成绩达到95分及以上的学生人数为750人. 1 23.(本题满分10分) 如图,已知抛物线y= x2+bx+c 2与x轴相交于A(−6,0),B(1,0),与y轴相交于点C,直线l⊥AC,垂足为C. (1)求该抛物线的表达式: (2)若直线l与该抛物线的另一个交点为D,求点D的坐标; (3)设动点P(m,n)在该抛物线上,当∠PAC=45°时,求m的值. 题23图 23.(1) ;(2)点 的坐标为 ;(3) 的值为 或-5 【分析】(1)将 和 ,代入抛物线解析式即可; (2)过点 作 轴于点 ,而 , 轴,由相似三角形的判定与性质解题; (3)分类讨论,当点 在 轴上方时,或当点 在 轴下方时,设直线AP与直线L的交点为M,结合全等 三角形的判定与性质解题即可. 【详解】解:(1)∵抛物线 经过 和 , ∴ ,∴ , , ∴抛物线的表达式为 . (2)如图,过点 作 轴于点 ,而 , 轴. ∴ ,则 , ∵ , ,设 , ∴ , , 又 , ∴ ,即 , , (舍去), 从而 ,∴点 的坐标为 (3)①如图,当点 在 轴上方时,设直线 与 交于点 , ∵ , ,∴ 是等腰直角三角形, ,作 轴于点 ,则 ,∴ , , , ∴ , , , ∴点 的坐标为 , ∴直线 的表达式为 , 又∵ ∴ ,解得 , (舍去); ②如图,当点 在 轴下方时,设直线 与 交于点 ,作 轴于点 ,则 ,同理可得:点 的坐标为 ,∴直线 的表达式为 , 又 , ,解得 , (舍去); 综上所述, 的值为 或-5. 24.(本题满分10分) 如图,AB为⊙O的直径,AD为弦,∠DBC=∠A. (1)求证:BC是⊙O的切线; (2)连接OC,如果OC恰好经过弦BD的中点E, 1 且tanC= ,AD=3,求直径AB的长. 2 题24图24.(1)证明见试题解析;(2) . 【详解】试题分析:(1)由AB为⊙O的直径,得到∠D=90°,∠ABD+∠A=90°,又由∠DBC=∠A,可得 ∠DBC+∠ABD=90°,则可证得BC是⊙O的切线; (2)由OE是△ABD的中位线,得到AD∥OE,则∠A=∠BOC,再由(1)∠D=∠OBC=90°,故∠C=∠ABD,由 tanC= 可知tan∠ABD= = ,由此可得出结论. 试题解析:(1)∵AB为⊙O的直径,∴∠D=90°,∴∠ABD+∠A=90°,∵∠DBC=∠A, ∴∠DBC+∠ABD=90°,即AB⊥BC,∴BC是⊙O的切线; (2)∵点O是AB的中点,点E时BD的中点,∴OE是△ABD的中位线,∴AD∥OE,∴∠A=∠BOC.∵由 (1)∠D=∠OBC=90°,∴∠C=∠ABD,∵tanC= ,∴tan∠ABD= = = ,解得BD=6,∴AB= = = . 25.(本题满分10分) 某数学学习小组利用卷尺和自制的测角仪测量魁星阁顶端距离地面的高度,如图所 示,他们在地面一条水平步道FB上架设测角仪,先在点F处测得魁星阁顶端A的仰角是26°,朝魁星阁方 向走20米到达G处,在G处测得魁星阁顶端A的仰角是45°.若测角仪CF和DG的高度均为1.5米,求魁 星阁顶端距离地面的高度(图中AB的值).(参考数据:sin26°≈0.44,cos24°≈0.90, tan26°≈0.49,√2≈1.41,结果精确到0.1米) 题25图 25.魁星阁顶端距离地面的高度约为 米 【分析】解直角三角形求出 即可解决问题.【详解】解:由题意知, 米, 米,设 米, 在 中, 米, , 米, 米, 在 中, , , 即 , 解得 米, 米, 故魁星阁顶端距离地面的高度约为 米. 26.(本题满分10分) 初步探究:如图1,在四边形ABCD中,AB=AD,∠B=∠ADC=90°,E,F分 别是BC,CD上的点,且EF=BE+FD.探究图中∠BAE、∠FAD、∠EAF之间的数量关系,小王同 学探究此问题的方法是:延长FD到点G,使DG=BE,连接AG,先证明△ABE≌△ADG,再证明 △AEF≌△AGF,可得出结论是 . 灵活运用:如图2,在四边形ABCD中,AB=AD,∠B+∠D=180°,E,F分别是BC、CD上的点,且 EF=BE+FD,上述结论是否仍然成立,并说明理由. 拓展延伸:如图3,在四边形ABCD中,AB=AD,∠ABC+∠ADC=180°,若点E在CB的延长线上, 点F在CD的延长线上,仍然满足EF=BE+FD,请直接写出∠EAF与∠DAB的数量关系.题26图 26.初步探究: ;灵活应用:成立,见解析;拓展延伸: 【分析】初步探究:延长 到点G,使 ,连接 ,可判定 ,进而得出 , ,再判定 ,可得出 , 据此得出结论; 灵活运用:延长 到点G,使 ,连接 ,先判定 ,进而得出 , ,再判定 ,可得出 ; 拓展延伸:在 延长线上取一点G,使得 ,连接 ,先判定 ,再判定 ,得出 ,最后根据 ,推导得到 , 即可得出结论. 【详解】解:初步探究:结论: , 理由:如图1,延长 到点G,使 ,连接 , , , 在 和 中, , , , , , ,在 和 中, , , , , ; 故答案为: ; 灵活运用:仍成立, 理由:如图2,延长 到点G,使 ,连接 , , , , 在 和 中, , , , , , , , 在 和 中,, , , , ; 拓展延伸:结论: , 理由:如图3,在 延长线上取一点G,使得 ,连接 , , , , 在 和 中, , , , , , , , 在 和 中,, , , , , , 即 , .