当前位置:首页>文档>2024考研数学三真题答案解析公众号:小乖考研免费分享_06.数学三历年真题_普通版本数学三

2024考研数学三真题答案解析公众号:小乖考研免费分享_06.数学三历年真题_普通版本数学三

  • 2026-03-17 15:20:57 2026-02-06 18:19:16

文档预览

2024考研数学三真题答案解析公众号:小乖考研免费分享_06.数学三历年真题_普通版本数学三
2024考研数学三真题答案解析公众号:小乖考研免费分享_06.数学三历年真题_普通版本数学三
2024考研数学三真题答案解析公众号:小乖考研免费分享_06.数学三历年真题_普通版本数学三
2024考研数学三真题答案解析公众号:小乖考研免费分享_06.数学三历年真题_普通版本数学三
2024考研数学三真题答案解析公众号:小乖考研免费分享_06.数学三历年真题_普通版本数学三
2024考研数学三真题答案解析公众号:小乖考研免费分享_06.数学三历年真题_普通版本数学三
2024考研数学三真题答案解析公众号:小乖考研免费分享_06.数学三历年真题_普通版本数学三
2024考研数学三真题答案解析公众号:小乖考研免费分享_06.数学三历年真题_普通版本数学三
2024考研数学三真题答案解析公众号:小乖考研免费分享_06.数学三历年真题_普通版本数学三
2024考研数学三真题答案解析公众号:小乖考研免费分享_06.数学三历年真题_普通版本数学三
2024考研数学三真题答案解析公众号:小乖考研免费分享_06.数学三历年真题_普通版本数学三
2024考研数学三真题答案解析公众号:小乖考研免费分享_06.数学三历年真题_普通版本数学三
2024考研数学三真题答案解析公众号:小乖考研免费分享_06.数学三历年真题_普通版本数学三
2024考研数学三真题答案解析公众号:小乖考研免费分享_06.数学三历年真题_普通版本数学三
2024考研数学三真题答案解析公众号:小乖考研免费分享_06.数学三历年真题_普通版本数学三
2024考研数学三真题答案解析公众号:小乖考研免费分享_06.数学三历年真题_普通版本数学三
2024考研数学三真题答案解析公众号:小乖考研免费分享_06.数学三历年真题_普通版本数学三
2024考研数学三真题答案解析公众号:小乖考研免费分享_06.数学三历年真题_普通版本数学三
2024考研数学三真题答案解析公众号:小乖考研免费分享_06.数学三历年真题_普通版本数学三

文档信息

文档格式
pdf
文档大小
0.388 MB
文档页数
15 页
上传时间
2026-02-06 18:19:16

文档内容

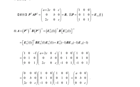
2024 考研数学(三) 真题 试卷及解析 一、选择题:1~10小题,每小题5分,共50分.下列每题给出的四个选项中,只有一个选 项是符合题目要求的. 1x 1.设函数 f(x)lim ,则 f(x) n1nx2n A.在x1,x  1处都连续. B.在x1处连续,在x  1处不连续. C.在x1,x  1处都不连续. D.在x1处不连续,在x  1处连续. 1.【答案】D 1x 【解析】当 x 1时,lim 1x, n1nx2n 1x 当 x 1时,lim 0 , n1nx2n 2 当x1时,lim 0, n1n 0 当x1时,lim 0, n1n 1x, 1 x1, 故 f  x  故在x1时,连续;x1时不连续.选D. 0, 其他. ak 2. 设I   sinxdx ,k 为整数,则I 的值 a A.只与a有关 B.只与k 有关 C.与a,k均有关D.与a,k 均无关 2.【答案】B akπ 【解析】I   |sinx|dx a kπ π   |sinx|dx k sinxdx2k. 0 0 选B.  1 3. 设 f(x,y)是连续函数,则2dx f(x,y)dy   sinx 6 1 arcsiny A.  dy f(x,y)dx. 1  2 6  1 B.  dy2 f(x,y)dx. 1 arcsiny 2 1 arcsiny C. 2dy f(x,y)dx.  0 6 1  D. 2dy2 f(x,y)dx. 0 arcsiny 3.【答案】A  1 1 arcsiny 【解析】2dx f(x,y)dy  dy f(x,y)dx.  1  sinx 6 2 6 选A.   4. 幂级数a xn 的和函数为ln(2x),则na  n 2n n0 n0 1 1 A. B. 6 3 1 1 C. D. 6 34.【答案】A n  x    x  2 【解析】ln  2x ln1  ln2ln2 (1)n1  2 n n1 2 3 4 6  x  x  x  x           x 2 2 2 2 ln2        2 2 3 4 6  na 0a 2a 3a 4a  2n 2 4 6 8 n0 1  1  1  2    3  222  244 26 6  1 1 1       23 25 27   1  1  23  8 1 4 1      . 1 3 8 3 6 1   22  4 5. 设二次型 f  x ,x ,x  xTAx在正交变换下可化成 y2 2y2 3y2 ,则二次型 f 的 1 2 3 1 2 3 矩阵A的行列式与迹分别为 A.6,2 B.6,2 C.6,2 D.6,2 5.【答案】C 【解析】 f  x ,x ,x  xTAx正交变换下化为 y2 2y2 3y2  A的特征值为1,2,3 1 2 3 1 2 3  A 12 36,tr  A 12 32. 1 0 0 a2c 0 c     6. 设A为3阶矩阵,P  0 1 0 ,若PTAP2  0 b 0 ,则A=         1 0 1  2c 0 cc 0 0 b 0 0     A. 0 a 0 . B. 0 c 0 .         0 0 b 0 0 a a 0 0 c 0 0     C. 0 b 0 . D. 0 b 0 .         0 0 c 0 0 a 6.【答案】 C a2c 0 c 1 0 0     【解析】PTAP2  0 b 0 B, 且P  0 1 0  E  1      31      2c 0 c 1 0 1 故A  PT1 B  P21   ET(1) 1 B E2 (1) 1 31  31   E1(1) T BE1(1)E1(1) ET(1)BE (1)E (1)  31  31 31 31 31 31 1 0 1a2c 0 c 1 0 0 1 0 0       0 1 0 0 b 0 0 1 0 0 1 0           0 0 1  2c 0 c 1 0 1 1 0 1 0 0 0 1 0 0 1 0 0  a 0 0        0 b 0 0 1 0 0 1 0  0 b 0 .             2c 0 c 1 0 1 1 0 1 0 0 c a1 b 3   b 1 7. 设矩阵A a 1  ,M 表示A的行 j列元素的余子式, 若| A| .且  2  ij 2   1 1 2   M M M 0. 则 21 22 23 3 A.a 0或a  23 B.a 0或a  2 1 C.b1或b 2 1 D.b1或b 2 7.【答案】B b b 1 2 0 1 0 a1 b 3 2 2 b b b 【解析】 A  a 1  a 1  a 1 2 2 2 1 1 2 1 1 2 1 1 2 b  a 1   1 (1)12 2  1 2 b  1 1  1(2a1) 2  2 b  1   1(2a1) 2  2 b 1 ab2a 1 2 2 又 0M M M  A  A  A 21 22 23 21 22 23 a1 b 3 a1 b 3 a1 b  1 1 1  1 1 1  a1b0, 1 1 1 1 2 0 0 1a1 1 ba1代入(1)中, 得 a(a1)2a  0 2 2 3 5 a0或a  b1或 . 2 2 6x  1x  , 0 x1, 8. 设随机变量 X 的概率密度为 f  x  则 X 的三阶中心矩  0, 其他, E  X EX 3  1 1 1 A.  B.0 C. D. 32 16 2 8.【答案】B 1 1 1 1 1 【解析】EX   6x2(1x)dx 6    6  0 3 4 12 2 1  1 3 1  1 3 令x t 1  1 1  EX     6x(1x)x  dx 2  2 6t    t t 3dt  0 . 1  2 0  2   2  2  2 9. 随机变量X,Y 相互独立,且X ~ N(0,2),Y ~ N(1,1),设 p  P  2X Y  ,p  P  X 2Y 1 ,则 1 2 1 1 A.p  p  B.p  p  1 2 2 2 1 2 1 1 C.p  p  D.p  p  1 2 2 2 1 2 9.【答案】B 【解析】E(2X Y)2EX EY 011,D(2X Y)4DX DY 4219 , 所以2X Y ~ N(1,9); E(X 2Y)EX 2EY 022,D(X 2Y)DX 4DY 246, 所以X 2Y ~ N(2,6);2X Y 1 01  1 1 p  P  1       1  3 3   3 3 X 2Y 2 12  1   1  p  P  1       , 2  6 6   6  6 1 所以 p  p  ,故选B. 2 1 2 10. 设随机变量X,Y 相互独立,且均服从参数为的指数分布,令Z  X Y ,则下列随机 变量中与Z 同分布的是 X Y A. X Y B. 2 C. 2X D. X 10.【答案】D 2e(xy), x0, y 0 【解析】X与Y的联合概率密度为 f(x,y) f (x) f (y)  X Y  0, 其他 设Z 的分布函数为F (z),则F (z) P  Z  z  P  X Y  z  Z Z 1 当z 0时,F (z)0; Z 2 当z 0时,F (z) P z  X Y  z 2P  0 X Y  z  Z  yz 2 eydy exdx. 0 y 2  ey ey e(yz) dy 0   2 e2ydy2ez e2ydy 0 0 1ez. 所以Z  E  1 ,从而Z与X服从相同的分布,选D. 二、填空题:11~16小题,每小题5分,共30分.   1t2 sint2 x 11. 当x0时, dt与xk是同阶无穷小,则k  . 0 1cos2t11.【答案】3 【解析】当x0时,  1x2 sinx2 x2 ~ , 1cos2 x 2  1t2 sint2 x 则 dt ~ Ax3. 从而 k 3. 0 1cos2t  5 12.  dx . 2 x4 3x2 4 1 π 12.【答案】 ln3 2 8  5  5 【解析】 dx  dx 2 x4 3x2 4 2  x2 1  x2 4   1  1   dx dx 2 x2 1 2 x2 4  1 1   1    dx dx 2  x1 x1 2 x2 4 1 x1  1 x2    ln  arctan  2 x1 2  2  2 2 1 1 1π π 1 π  0ln       ln3 . 2 3 22 4 2 8 13. 函数 f  x,y 2x39x2 6y4 12x24y的极值点是 . 13.【答案】 1,1  f6x2 18x120, 【解析】 x  f y 24y3240, 解得 (1,1) ,(2,1). A f 12x18,B  f 0,C  f 72y2, xx xy yy 代入(1,1)得ACB2 4320,A6,故(1,1)是极大值点, f(1,1)23.代入(2,1)得ACB2 4320, 不是极值. 250.25Q, Q20, 14.某产品的价格函数是 p  ( p为单价,单位:万元;Q为产量, 350.75Q, Q20 单位:件),总成本函数为C 1505Q0.25Q2(万元),则经营该产品可获得的最大 利润为 (万元). 14.【答案】50 (250.25Q)Q  1505Q0.25Q2 ,Q20,  【解析】L PQC     350.75Q  Q  1505Q0.25Q2 ,Q20.  0.5(Q20)250,Q20, 整理得:L (Q15)275,Q20. 所以Q 20时,L50为最大利润. 15. 设A为3阶矩阵,A为的A伴随矩阵,E为3阶单位矩阵,若 r(2EA)1,r(E+ A)2,则 A = . 15.【答案】16 【解析】 r  2EA 13, r  E+ A 23 A有特征值2,1. 又3r  2EA 22有 2个线性无关的特征向量 2至少有两重根. 3r  E+ A 11有1个线性无关特征向量1至少有一重根. 又A为3阶 A的特征值为2,2,1,故 A 221 4, A*  A|n1 A|216. 16. 设随机试验每次成功的概率为 p,现进行3次独立重复试验,在至少成功1次的条件下, 4 3次试验全部成功的概率为 ,则 p  . 132 16.【答案】 p  3 【解析】A:全成功,B:至少成功一次. P(AB) P(A) p3 4   P A B     , P(B) P(B) 1(1 p)3 13 13p3 44(1 p)3 2 整理得 p(3p2)(3p6)0 p  . 3 三、解答题:17~22小题,共70分.解答应写出文字说明、证明过程或演算步骤. 1 1 17. 设平面有界区域D位于第一象限由曲线xy  ,xy 3与直线y  x, y 3x围成,计 3 3 算 1x y  dxdy . D y 17.【解】令u  xy,v , x  u x (1) v  y  uv x x u v 1 (2)J   y y 2v u v 3 3  u  1 8 故原式  du 1  uv dv  ln3. 1 1  v 2v 3   3 3 2z 2z 18.设函数z  z(x,y)由方程zex  yln(1z2)0确定,求   . x2 y2  (0,0) 2z 2z 18.【解】将 y 0代入得z ex,则 ex,代x0 1. x2 x2 0,0 将x0代入得z1 yln  1z2  ,得 z ln  1 z2  2yz  z . y 1z2 yz 代x0,y 0,z 1得 ln2. y 0,0 又   z z     2z 2z z 2z z  1z2 y      2y , y2 1z2 y 1z2 y  y      z 代x0,y 0,z 1, ln2得 y 2z 2ln2. y2 0,0 故原式为12ln2. 19. 设t 0,平面有界区域D由曲线 y  xe-2x与直线xt ,x2t及x轴围成,D的面积 为S(t),求S(t)的最大值. 19.【解】S  t 2txe2xdx,则S t 4te4t te2t te4t  4e2t  , t 令 4e4t e2t 0tln2. 当 0t ln2时,S t 0;当t ln2时,S t 0.故t ln2时,S  t 取最大值,有 ln4 S  ln2   ln4 xe2xdx  1 xe2x  1 e2x    1 ln2 3 . ln2 2 2  16 64 ln2 20. 设函数 f  x 具有2阶导数,且 f 0  f 1  , f x  1.证明:x  1x  (1)当x 0,1 时, f  x  f  0  1x  f  1  x  ; 2 (2)  1 f  x  dx f  0  f  1   1 . 0 2 12 20. 证明:(1) f f(x) f(0) f (0)x 1 x2① 2 f  f(x) f(1) f (1)  x1  2 (x1)2② 2 ① 1x ②x f f   f(x) f(0)(1x) f(1)x f (0)x  1x  f (1)  x1  x 1 x 2 1x  2 (x1)2x 2 2 , 1 1 1 1 f(x) f(0)(1x) f(1)x„ x2(1x) x(1x)  x(1x)(x1x) x(1x). 2 2 2 2 0 (2)  1 f(x) f(0)(1x) f(1)x  dx   1 f(x)dx f(0) (1x)2  f(1) 1 0 0 2 2 1 1 f(0) f(1) 1 x(1x) 1   f(x)dx „  dx . 0 2 0 2 12 1 1 0 1 1 0 1 2  0  1          21. 设矩阵A 1 1 0 3 , B  1 1 a a1 , 向量 2 , 0 .                 2 1 2 6  2 3 2 2  3  1 (1)证明:方程组Ax 的解均为方程组Bx 的解; (2)若方程组Ax 与方程组Bx 不同解,求a的值. 21. 证明:(1) x  Ax (A,)   0 1  x  Bx  β (B,β)  0 1 又 1 1 0 1 0  1 1 0 1 0      1 1 0 3 2 0 2 0 4 2     A α 2 1 2 6 3  0 3 2 8 3       B β 1 0 1 2 1  0 1 1 3 1   1 1 a a1 0   0 0 a a 0          2 3 2 2 1 0 1 2 0 1 1 1 0 1 0 1 1 0 1 0     0 1 0 2 1 0 1 0 2 1     0 0 2 2 0 0 0 1 1 0    ,故 0 0 1 1 0 0 0 0 0 0     0 0 a a 0 0 0 0 0 0         0 0 2 2 0 0 0 0 0 0 A α r(A,α) r  3. B β  x   x  即(A,)  0的解是(B,β)  0的解. 1 1 即Ax 的解是Bx 的解 (2) Ax  与方程组Bx 不同解, 即Ax 与Bx 不等价 又 Ax 的解是Bx 的解,故Bx 的解不是Ax 的解.A α 即r(B,β)r  3,故 B β 1 0 1 2 1  1 0 1 2 1      B,β  1 1 a a1 0  0 1 a1 a3 1         2 3 2 2 1 0 3 0 6 3 1 0 1 2 1 1 0 1 2 1      0 1 0 2 1  0 1 0 2 1         0 1 1a 3a 1 0 0 1a 1a 0 故1a0即a 1. 22.X 服从 0,上的均匀分布, 0,为未知参数,X ,X ,,X 为总体X 的简单 1 2 n 随机样本,记为X max  X ,X ,,X  ,T cX . n 1 2 n c n (1)求c使得E  T ; c (2)记h  c  E  T 2 ,求c使得 f  c 最小. c 22.【解】(1)E  cX   cEX cEmax  X ,X X  (n) (n) 1 2 n 0 x0 1   0 x x f (x) F (x) , 0„x X X   0 其他    1, x  0, x0  xn max  X ,X X  ~ F (x)  ,0„x  1 2 n Xn  n  1, x   n  xn1 0 x f (x)n Xn   0 其他. nx 1 n n Emax  X ,,X   xn1d  xn1  , 1 n 0 n n n1 n1  n1 所以c . n   (2)h(c) E T222T  ET2E22ET c c c c  2    E cX 22E cX c2EX2 2 2cEX n n n n nx2 1 n  n 因为EX2   xn1dx  xn2 2 n 0 n n n2 n2 0   nx 1 n n EX    xn1dx   xn1   n 0 n n n1 n1 0 n n  nc2 n  所以h(c) c2222c  = 12c 2 n2 n1 n 2 n1 n n 2n 2n 令 f(x) x212 x, f(x) x 0 n2 n1 n2 n1 n2 n2 解得x ,即c 时,h  c 取最小值. n1 n1