当前位置:首页>文档>湖南省长沙市2024年新高考适应性考试物理试卷答案_2024届湖南省长沙市高三上学期新高考适应性考试_2024届湖南省长沙市高三上学期新高考适应性考试物理

湖南省长沙市2024年新高考适应性考试物理试卷答案_2024届湖南省长沙市高三上学期新高考适应性考试_2024届湖南省长沙市高三上学期新高考适应性考试物理

  • 2026-04-09 11:16:39 2026-02-09 06:04:13

文档预览

湖南省长沙市2024年新高考适应性考试物理试卷答案_2024届湖南省长沙市高三上学期新高考适应性考试_2024届湖南省长沙市高三上学期新高考适应性考试物理
湖南省长沙市2024年新高考适应性考试物理试卷答案_2024届湖南省长沙市高三上学期新高考适应性考试_2024届湖南省长沙市高三上学期新高考适应性考试物理
湖南省长沙市2024年新高考适应性考试物理试卷答案_2024届湖南省长沙市高三上学期新高考适应性考试_2024届湖南省长沙市高三上学期新高考适应性考试物理
湖南省长沙市2024年新高考适应性考试物理试卷答案_2024届湖南省长沙市高三上学期新高考适应性考试_2024届湖南省长沙市高三上学期新高考适应性考试物理
湖南省长沙市2024年新高考适应性考试物理试卷答案_2024届湖南省长沙市高三上学期新高考适应性考试_2024届湖南省长沙市高三上学期新高考适应性考试物理
湖南省长沙市2024年新高考适应性考试物理试卷答案_2024届湖南省长沙市高三上学期新高考适应性考试_2024届湖南省长沙市高三上学期新高考适应性考试物理
湖南省长沙市2024年新高考适应性考试物理试卷答案_2024届湖南省长沙市高三上学期新高考适应性考试_2024届湖南省长沙市高三上学期新高考适应性考试物理
湖南省长沙市2024年新高考适应性考试物理试卷答案_2024届湖南省长沙市高三上学期新高考适应性考试_2024届湖南省长沙市高三上学期新高考适应性考试物理

文档信息

文档格式
pdf
文档大小
0.812 MB
文档页数
4 页
上传时间
2026-02-09 06:04:13

文档内容

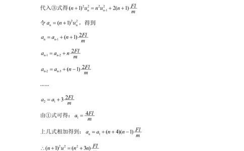
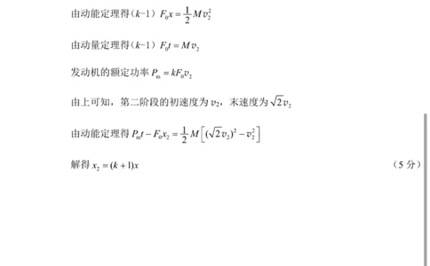
{#{QQABaQYAggiIQABAAAgCUwF4CAIQkBCAAKoGgAAEsAAACBNABAA=}#}{#{QQABaQYAggiIQABAAAgCUwF4CAIQkBCAAKoGgAAEsAAACBNABAA=}#}{#{QQABaQYAggiIQABAAAgCUwF4CAIQkBCAAKoGgAAEsAAACBNABAA=}#}{#{QQABaQYAggiIQABAAAgCUwF4CAIQkBCAAKoGgAAEsAAACBNABAA=}#}