当前位置:首页>文档>高一上数学暑假测试密卷(一)(原卷版)_1多考区联考试卷_0813高一上数学暑假测试密卷(三套)

高一上数学暑假测试密卷(一)(原卷版)_1多考区联考试卷_0813高一上数学暑假测试密卷(三套)

  • 2026-04-04 07:23:57 2026-02-10 04:51:02

文档预览

高一上数学暑假测试密卷(一)(原卷版)_1多考区联考试卷_0813高一上数学暑假测试密卷(三套)
高一上数学暑假测试密卷(一)(原卷版)_1多考区联考试卷_0813高一上数学暑假测试密卷(三套)
高一上数学暑假测试密卷(一)(原卷版)_1多考区联考试卷_0813高一上数学暑假测试密卷(三套)
高一上数学暑假测试密卷(一)(原卷版)_1多考区联考试卷_0813高一上数学暑假测试密卷(三套)
高一上数学暑假测试密卷(一)(原卷版)_1多考区联考试卷_0813高一上数学暑假测试密卷(三套)
高一上数学暑假测试密卷(一)(原卷版)_1多考区联考试卷_0813高一上数学暑假测试密卷(三套)
高一上数学暑假测试密卷(一)(原卷版)_1多考区联考试卷_0813高一上数学暑假测试密卷(三套)
高一上数学暑假测试密卷(一)(原卷版)_1多考区联考试卷_0813高一上数学暑假测试密卷(三套)
高一上数学暑假测试密卷(一)(原卷版)_1多考区联考试卷_0813高一上数学暑假测试密卷(三套)

文档信息

文档格式
docx
文档大小
0.230 MB
文档页数
5 页
上传时间
2026-02-10 04:51:02

文档内容

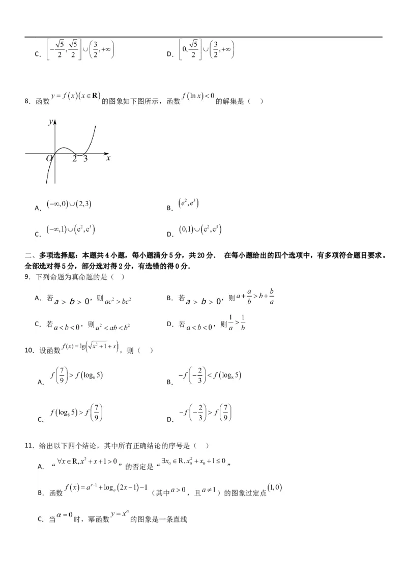
高一上数学暑假测试密卷(一) 一、单项选择题:本题共8小题,每小题满分5分,共40分.在每小题给出的四个选项中,只有一项符合题目要 求,选对得5分,选错得0分. 1.已知命题 ,都有 ,则命题p的否定为( ) A. ,都有 B. ,使得 C. ,使得 D. ,使得 2.若不等式 的解集为 ,则 的取值范围是( ) A. B. C. D. 3.已知集合 , ,则 ( ) A. B. C. D. 4.已知函数 的值域为R,则实数 的取值范围是( ) A. B. C. D. 5.已知 ,则a,b,c的大小关系是( ) A. B. C. D. 6.为提高生产效率,某公司引进新的生产线投入生产,投入生产后,除去成木,每条生产线生产的产品可获得的 利润s(单位:万元)与生产线运转时间t(单位:年), ,满足二次函数关系: ,现在要 使年平均利润最大,则每条生产线运行的时间t为( )年. A.5 B.6 C.7 D.8 7.设函数 若 存在最小值,则实数a的取值范围为( ) A. B.C. D. 8.函数 的图象如下图所示,函数 的解集是( ) A. B. C. D. 二、多项选择题:本题共4小题,每小题满分5分,共20分. 在每小题给出的四个选项中,有多项符合题目要求。 全部选对得5分,部分选对得2分,有选错的得0分. 9.下列命题为真命题的是( ) A.若 ,则 B.若 ,则 C.若 ,则 D.若 ,则 10.设函数 ,则( ) A. B. C. D. 11.给出以下四个结论,其中所有正确结论的序号是( ) A.“ ”的否定是“ ” B.函数 (其中 ,且 )的图象过定点 C.当 时,幂函数 的图象是一条直线D.若函数 ,则 12.已知定义域为R的奇函数 ,当 时, 下列说法中正确的是( ) A.当 时,恒有 B.若当 时, 的最小值为 ,则m的取值范围为 C.不存在实数k,使函数 有5个不相等的零点 D.若关于x的方程 所有实数根之和为0,则 三、填空题:本题共4小题,每小题5分,共20分。 13.计算: . 14.已知函数 ,若 有两个零点,且 在 上单调递增,则实数m的取 值范围为 . 15.已知函数 ,则不等式 的解集是 . 16.已知函数 有两个零点分别为a,b,则 的取值范围是 . 四、解答题:本题共6小题,共70分。解答应写出文字说明、证明过程或演算步骤。 17.集合 ,集合 . (1)当 时,求 , ;(2)若 ,求实数m的取值范围. 18.已知函数 ( 且 )为定义在R上的奇函数,且 . (1)求函数 的解析式; (2)若实数t满足 ,求实数t的取值范围. 19.一家货物公司计划租地建造仓库储存货物,经过市场调查了解到下列信息:每月土地占地费 (单位:万 元)与仓库到车站的距离x(单位: )成反比,每月库存货物费 (单位:万元)与x成正比;若在距离车站 处建仓库,则 和 分别为2万元和8万元,这家公司应该把仓库建在距离车站多少千米处,才能使两项费 用之和最小?并求出该值. 20.已知函数 是定义在 上的偶函数,且当 时, ,函数 在y轴左侧的图象如图所示. (1)求函数 的解析式; (2)讨论关于x的方程 的根的个数.21.已知函数 是定义在 上的奇函数,且 . (1)求实数a的值; (2)对于 , 成立,求实数m的取值范围. 22.已知函数 为偶函数. (1)求实数 的值; (2)解关于 的不等式 ; (3)设 ,若函数 与 图象有 个公共点,求实数 的取值范围.