当前位置:首页>文档>高一上数学暑假测试密卷(二)(解析版)_1多考区联考试卷_0813高一上数学暑假测试密卷(三套)

高一上数学暑假测试密卷(二)(解析版)_1多考区联考试卷_0813高一上数学暑假测试密卷(三套)

  • 2026-04-12 05:02:32 2026-02-10 04:53:33

文档预览

高一上数学暑假测试密卷(二)(解析版)_1多考区联考试卷_0813高一上数学暑假测试密卷(三套)
高一上数学暑假测试密卷(二)(解析版)_1多考区联考试卷_0813高一上数学暑假测试密卷(三套)
高一上数学暑假测试密卷(二)(解析版)_1多考区联考试卷_0813高一上数学暑假测试密卷(三套)
高一上数学暑假测试密卷(二)(解析版)_1多考区联考试卷_0813高一上数学暑假测试密卷(三套)
高一上数学暑假测试密卷(二)(解析版)_1多考区联考试卷_0813高一上数学暑假测试密卷(三套)
高一上数学暑假测试密卷(二)(解析版)_1多考区联考试卷_0813高一上数学暑假测试密卷(三套)
高一上数学暑假测试密卷(二)(解析版)_1多考区联考试卷_0813高一上数学暑假测试密卷(三套)
高一上数学暑假测试密卷(二)(解析版)_1多考区联考试卷_0813高一上数学暑假测试密卷(三套)
高一上数学暑假测试密卷(二)(解析版)_1多考区联考试卷_0813高一上数学暑假测试密卷(三套)
高一上数学暑假测试密卷(二)(解析版)_1多考区联考试卷_0813高一上数学暑假测试密卷(三套)
高一上数学暑假测试密卷(二)(解析版)_1多考区联考试卷_0813高一上数学暑假测试密卷(三套)
高一上数学暑假测试密卷(二)(解析版)_1多考区联考试卷_0813高一上数学暑假测试密卷(三套)
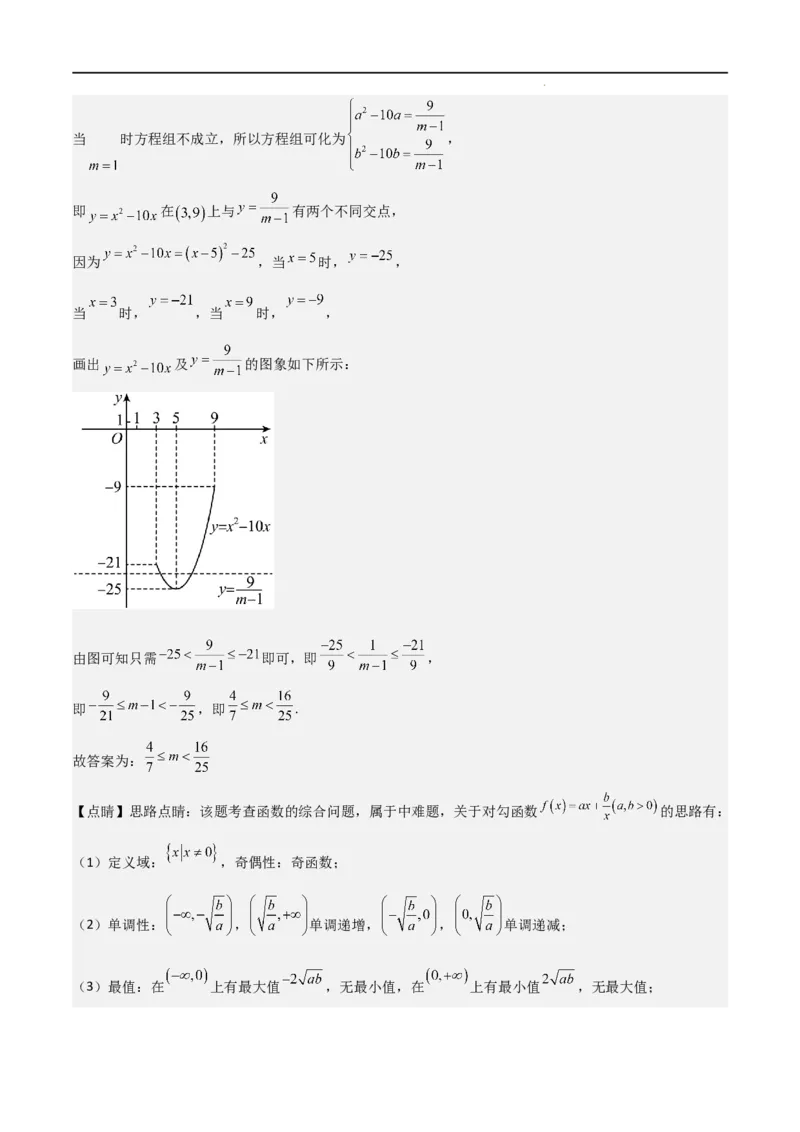
高一上数学暑假测试密卷(二)(解析版)_1多考区联考试卷_0813高一上数学暑假测试密卷(三套)
高一上数学暑假测试密卷(二)(解析版)_1多考区联考试卷_0813高一上数学暑假测试密卷(三套)
高一上数学暑假测试密卷(二)(解析版)_1多考区联考试卷_0813高一上数学暑假测试密卷(三套)
高一上数学暑假测试密卷(二)(解析版)_1多考区联考试卷_0813高一上数学暑假测试密卷(三套)
高一上数学暑假测试密卷(二)(解析版)_1多考区联考试卷_0813高一上数学暑假测试密卷(三套)
高一上数学暑假测试密卷(二)(解析版)_1多考区联考试卷_0813高一上数学暑假测试密卷(三套)
高一上数学暑假测试密卷(二)(解析版)_1多考区联考试卷_0813高一上数学暑假测试密卷(三套)
高一上数学暑假测试密卷(二)(解析版)_1多考区联考试卷_0813高一上数学暑假测试密卷(三套)
高一上数学暑假测试密卷(二)(解析版)_1多考区联考试卷_0813高一上数学暑假测试密卷(三套)
高一上数学暑假测试密卷(二)(解析版)_1多考区联考试卷_0813高一上数学暑假测试密卷(三套)
高一上数学暑假测试密卷(二)(解析版)_1多考区联考试卷_0813高一上数学暑假测试密卷(三套)

文档信息

文档格式
docx
文档大小
0.980 MB
文档页数
19 页
上传时间
2026-02-10 04:53:33

文档内容

高一上数学暑假测试密卷(二) 一、单项选择题:本题共8小题,每小题满分5分,共40分.在每小题给出的四个选项中,只有一项符合 题目要求,选对得5分,选错得0分. 1.设集合 , , ( ) A. B. C. D. 【答案】D 【分析】根据给定条件,利用交集的定义直接求解作答. 【详解】因为集合 , , 所以 . 故选:D 2.角 的终边过点 ,则 ( ) A. B. C. D. 【答案】A 【分析】根据任意角的三角函数的定义计算可得. 【详解】已知角 的终边经过点 ,所以 . 故选:A 3.已知 ,且 则 的值为 A.4 B.0 C. D. 【答案】A 【详解】设 , 本题选择A选项.4.设 , , ,则a,b,c的大小关系是( ) A. B. C. D. 【答案】B 【分析】根据指、对数函数的知识判断出 的范围即可. 【详解】因为 , , 所以 故选:B 5.已知函数 ,则 的零点所在的区间为( ) A. B. C. D. 【答案】D 【分析】根据零点存在定理,只需判断两个端点的函数值,即两个端点函数值异号即可. 【详解】由已知得 , , , , , 所以 ,由零点的存在定理得, 的零点所在的区间为 , 故选:D. 6.酒驾是严重危害交通安全的违法行为.根据国家有关规定:驾驶人血液中的酒精含量大于(或等于) 毫克/毫升,小于 毫克/毫升的情况下驾驶机动车属于饮酒驾车;含量大于(或等于) 毫克/毫升 的情况下驾驶机动车属于醉酒驾车.假设某驾驶员一天晚上 点钟喝了一定量的酒后,其血液中酒精含量 上升到 毫克/毫升.如果在停止喝酒后,他血液中酒精含量以每小时 的速度减少,则他次日上午最早 ( )点(结果取整数)开车才不构成酒驾.(参考数据: , ) A. B. C. D. 【答案】D 【分析】根据题意可得不等式 ,解不等式可求得 ,由此可得结论.【详解】假设经过 小时后,驾驶员开车才不构成酒驾, 则 ,即 , , 则 , , 次日上午最早 点,该驾驶员开车才不构成酒驾. 故选:D. 7.已知 , ,则 的值为( ) A. B. C. D. 【答案】C 【分析】将条件中两式平方相加后整理即可得答案. 【详解】 , , 两式相加得 , . 故选:C. 8.已知函数 ,若方程 有四个不同的根 ,则 的取值范围为 ( ) A. B. C. D. 【答案】B【分析】分析给定的函数性质,画出函数 的部分图象,确定a的取值范围,进而求出 范围 作答. 【详解】函数 ,当 时, 单调递增, , 当 时, 单调递减, , 当 时, 在 上递减,在 上递增, , 作出函数 的部分图象,如图, 方程 有四个不同的根 ,不妨令 ,即直线 与函数 的图象有4 个公共点, 观察图象知, , , 显然有 ,且 ,由 得 , 即 ,则有 ,因此 , 所以 的取值范围为 . 故选:B 【点睛】关键点睛:涉及用分段函数零点特性求参数范围问题,可以先独立分析各段上的零点,再综合考 查所有零点是解决问题的关键.二、多项选择题:本题共4小题,每小题满分5分,共20分. 在每小题给出的四个选项中,有多项符合 题目要求。全部选对得5分,部分选对得2分,有选错的得0分. 9.已知函数 ,则( ) A. 的定义域为 B. 的单调递减区间为 C. 是增函数 D. 的值域为 【答案】ACD 【分析】对于A,由 且 ,求解即可判断;对于B,区间 不在定义域内,即可判断; 对于C,根据复合函数的单调性判断方法即可判断;对于D,可得真数能取遍所有大于0的数,从而可判 断. 【详解】对于A,由 且 ,得 ,故 的定义域为 ,A对; 对于B,区间 不在定义域内,B错; 对于C, 函数 在 为增函数, 函数 在 为增函数 故函数 的单调递增区间为 ,无单调递减区间,C对; 对于D, 在 为增函数, 真数能取遍所有大于0的数,故值域为R,D对. 故选:ACD. 10.下列运算中,结果是1的是( ) A. B. C. D.【答案】BCD 【分析】根据特殊角的三角函数值,结合正切的两角差公式、二倍角的正弦公式、诱导公式逐一计算判断 即可. 【详解】A:因为 ,所以不符合题意; B:因为 ,所以符合题意; C:因为 ,所以符合题意; D: ,符合题意, 故选:BCD 11.下列结论正确的是( ). A.若 ,则 的最大值为 B.若 , ,则 C.若 , ,且 ,则 的最大值为9 D.若 ,则 的最大值为2 【答案】ABD 【解析】利用基本不等式,逐项判断,即可得出结果. 【详解】A选项,由 可得 ,当且仅当 ,即 时,等号成立;即 的最大值为 ;A正确; B选项,由 , ,可得 ,即 ,故B正确; C选项,若 , ,且 ,则 , 当且仅当 ,即 时,等号成立;即 的最小值为9,故C错; D选项,因为 ,所以 ,当且仅当 ,即 时,等号成立, 故D正确. 故选:ABD. 【点睛】易错点睛:利用基本不等式求最值时,要注意其必须满足的三个条件: (1)“一正二定三相等”“一正”就是各项必须为正数; (2)“二定”就是要求和的最小值,必须把构成和的二项之积转化成定值;要求积的最大值,则必须把 构成积的因式的和转化成定值; (3)“三相等”是利用基本不等式求最值时,必须验证等号成立的条件,若不能取等号则这个定值就不 是所求的最值,这也是最容易发生错误的地方. 12.设函数 的定义域为 ,若存在常数 ,使 对一切实数 均成立,则称 为 “倍约束函数”.现给出下列函数是“倍约束函数”的有( ) A. B. ; C. ; D. 是定义在实数集 上的奇函数,且对一切 , 均有 【答案】AD 【分析】结合新定义,逐项证明或举出反例即可得解. 【详解】对于A,函数 ,存在实数 ,使得 恒成立,故A正确; 对于B,函数 ,若要使 恒成立,则当 时, 恒成立,不存在这样的实数 ,故B错误; 对于C, , 由 恒成立,可得 不是“倍约束函数”,故C错误; 对于D,由函数 是定义在R上的奇函数,得 , 当 时,可得 成立,所以该函数是“倍约束函数”,故D正确. 故选:AD. 三、填空题:本题共4小题,每小题5分,共20分。 13.计算 . 【答案】 【分析】直接利用对数的运算性质及指数幂的运算可得答案. 【详解】 . 故答案为: . 14.已知 , ,则 . 【答案】 【分析】根据诱导公式结合条件即得. 【详解】因为 , 所以 . 故答案为: . 15.《乐府诗集》辑有晋诗一组,属清商曲辞吴声歌曲,标题为《子夜四时歌七十五首》.其中《夏歌二十首》的第五首曰:叠扇放床上,企想远风来.轻袖佛华妆,窈窕登高台、诗里的叠扇,就是折扇.折扇展开后 可看作是半径为 的扇形,是圆面的一部分,如图所示.设某扇形的面积为 ,该扇形所在圆面的面积为 , 当 与 的比值为 时,该扇面为“黄金美观扇面”.若某扇面为“黄金美观扇面”,扇形的半径 ,则此时的扇形面积为 . 【答案】 【分析】利用 与 比值,列出方程即可. 【详解】 , 扇形所在圆面的面积为: 且: ; 故答案为: 16.若存在实数 ,使得函数 在区间 上单调递减,且 在区间上的取值范围为 ,则 的取值范围为 . 【答案】 【分析】根据 ,去绝对值符号化简 ,根据对勾函数的性质,判断 的单调性,根据题意 建立 之间的等式关系,将 消掉后化简可得 ,代入到方程组中可建立 与 和 与 的等 式关系,通过移项变形,将两式形式化为统一,构造函数画出图象,列出不等式解出即可. 【详解】解:因为 , 因为 ,所以 , ,所以 , 取 ,根据对勾函数性质可知: 在 上, 单调递减,在 上, 单调递增, 所以 在 上, 单调递增,在 上, 单调递减, 因为 区间 上单调递减,所以 , 因为 区间 上单调递减,所以 , 即 ,即 , 即 ,化简可得 , 因为 ,所以 ,代入 中, 化简可得: ,当 时方程组不成立,所以方程组可化为 , 即 在 上与 有两个不同交点, 因为 ,当 时, , 当 时, ,当 时, , 画出 及 的图象如下所示: 由图可知只需 即可,即 , 即 ,即 . 故答案为: 【点睛】思路点睛:该题考查函数的综合问题,属于中难题,关于对勾函数 的思路有: (1)定义域: ,奇偶性:奇函数; (2)单调性: , 单调递增, , 单调递减; (3)最值:在 上有最大值 ,无最小值,在 上有最小值 ,无最大值;(4)渐近线: 轴和 . 四、解答题:本题共6小题,共70分。解答应写出文字说明、证明过程或演算步骤。 17.已知角α的始边与x轴的非负半轴重合,终边过点 . (1)求 的值; (2)求 的值. 【答案】(1) ; (2) . 【分析】(1)根据给定条件,利用三角函数定义计算作答. (2)利用诱导公式化简,结合(1)的结论,用齐次式法计算作答. 【详解】(1)角 的始边与x轴的非负半轴重合,终边过点 , 所以 . (2)由(1)知, , 所以 . 18.已知函数 . (1)若 ,求 的最小值; (2)若 ,求关于 的不等式 的解集. 【答案】(1) (2)【分析】(1)利用代入法,结合基本不等式进行求解即可; (2)利用代入法,结合一元二次不等式的解法进行求解即可. 【详解】(1)由 可得: , 因为 ,所以 , 所以 , 当且仅当 时取等号,即当且仅当 时取得最小值为 ; (2)由 可得: , 则 化为: 因为 ,所以 , 则解不等式可得 或 , 则不等式的解集为 . 19.已知函数 为定义在 上的奇函数. (1)若当 时, ,求 在 上的解析式; (2)若 在 上单调递增, ,且 ,求实数m的取值范围.. 【答案】(1)(2) 【分析】(1)利用奇函数的定义,定义域关于原点对称以及 ,可以求出函数表达式; (2)利用偶函数的性质及函数的单调性,得到 在定义区间上是增函数,自变量越大,函数值也越大, 得到不等式组,然后求解. 【详解】(1)当 时, , 当 时, , 则 , ∴ , ∴ (2)∵ 为奇函数,∴ , , ∴ 为偶函数,且 在 上为增函数, , ∴ ∴ ∴ , ∴m的取值范围为 . 20.为宣传2022年北京冬奥会,某公益广告公司拟在一张矩形海报纸(记为矩形 ,如图)上设计 三个等高的宣传栏(栏面分别为一个等腰三角形和两个全等的直角梯形),宣传栏(图中阴影部分)的面积之和为 .为了美观,要求海报上所有水平方向和竖直方向的留空宽度均为 .设直角梯形的高为 . (1)当 时,求海报纸的面积; (2)为节约成本,应如何选择海报纸的尺寸,可使用纸量最少(即矩形 的面积最小)? 【答案】(1) (2)当海报纸宽为 ,长为 ,可使用纸量最少. 【分析】(1)根据已知条件,先求出梯形长的底边 ,再分别求出 , ,即可 求解; (2)根据已知条件,结合基本不等式的公式,即可求解. 【详解】(1) 宣传栏(图中阴影部分)的面积之和为 ,直角梯形的高为 , 则梯形长的底边 , 海报上所有水平方向和竖直方向的留空宽度均为 , , , 故海报面积为 . (2) 直角梯形的高为 ,宣传栏(图中阴影部分)的面积之和为 , ,海报上所有水平方向和竖直方向的留空宽度均为 , 海报宽 ,海报长 , 故 , 当且仅当 ,即 , 故当海报纸宽为 ,长为 ,可使用纸量最少. 21.已知函数 , . (1)若 在区间 上是单调函数,则 的取值范围; (2)在(1)的条件下,是否存在实数 ,使得函数 与函数 的图象在区间 上有唯一的交点,若 存在,求出 的范围,若不存在,请说明理由. 【答案】(1) 或 ; (2)存在,且 的取值范围是 . 【分析】(1)分 、 两种情况讨论,根据函数 在区间 上单调可出关于 的不等式,综 合可得出实数 的取值范围; (2)分 、 、 、 四种情况讨论,分析两个函数在区间 上的单调性,根据已知条 件可得出关于实数 的不等式(组),综合可解得实数 的取值范围. 【详解】(1)解:当 时 在 上单调递减. 当 时, 是二次函数,其对称轴为直线 , 在区间 上是单调函数, 或 ,即 或 , 解得: 或 或 . 综上: 或 .(2)解:①当 时, 单调递减, 单调递增, 则函数 单调递增, 因为 , , 由零点存在定理可知,存在唯一的 使得 , 此时,函数 与函数 在区间 上的图象有唯一的交点,合乎题意; ②当 时,二次函数 的图象开口向下,对称轴为直线 , 所以, 在 上单调递减, 单调递增, 则函数 在 上单调递增, 要使得函数 与函数 的图象在区间 上有唯一的交点, 则 ,解得 ,此时 ; ③当 时,二次函数 的图象开口向上,对称轴 , 则 在 上单调递减, 在 上单调递增, 则函数 在 上单调递增, 要使得函数 与函数 的图象在区间 上有唯一的交点, 则 ,解得 ,此时 ; ④当 时,二次函数 的图象开口向上,对称轴 , 所以, 在 上单调递增, 在 上单调递增,则 , ,所以, 在 上恒成立, 此时,函数 与函数 的图象在区间 上没有交点. 综上所述,实数 的取值范围是 . 【点睛】方法点睛:已知函数有零点(方程有根)求参数值(取值范围)常用的方法: (1)直接法:直接求解方程得到方程的根,再通过解不等式确定参数范围; (2)分离参数法:先将参数分离,转化成求函数的值域问题加以解决; (3)数形结合法:先对解析式变形,进而构造两个函数,然后在同一平面直角坐标系中画出函数的图象, 利用数形结合的方法求解. 22.已知函数 满足 ,当 时, 成立,且 . (1)求 ,并证明函数 的奇偶性; (2)当 ,不等式 恒成立,求实数 的取值范围. 【答案】(1) ,证明见解析; (2) . 【分析】(1)令 ,可得 ,令 , ,从而即可证明; (2)由已知条件,可得 为增函数,又原不等式等价于 恒成立,则 在 上恒成立,令 ,分离参数 即可求解. 【详解】(1)解:令 ,可得 , 令 ,则 ,所以 , 所以 ,所以 为奇函数; (2)解: ,即 , 所以 , 又当 时, 成立,所以 为增函数, 所以 在 上恒成立, 令 ,可得 在 上恒成立, 又 , ,所以当 时, , 所以 ,即 .