当前位置:首页>文档>2025年1月八省联考高考综合改革适应性测试——高三地理(四川卷)Word版含解析_2025年1月_❤2025年高考综合改革适应性演练(八省联考)(1)

2025年1月八省联考高考综合改革适应性测试——高三地理(四川卷)Word版含解析_2025年1月_❤2025年高考综合改革适应性演练(八省联考)(1)

  • 2026-04-10 14:05:49 2026-02-10 18:40:04

文档预览

2025年1月八省联考高考综合改革适应性测试——高三地理(四川卷)Word版含解析_2025年1月_❤2025年高考综合改革适应性演练(八省联考)(1)
2025年1月八省联考高考综合改革适应性测试——高三地理(四川卷)Word版含解析_2025年1月_❤2025年高考综合改革适应性演练(八省联考)(1)
2025年1月八省联考高考综合改革适应性测试——高三地理(四川卷)Word版含解析_2025年1月_❤2025年高考综合改革适应性演练(八省联考)(1)
2025年1月八省联考高考综合改革适应性测试——高三地理(四川卷)Word版含解析_2025年1月_❤2025年高考综合改革适应性演练(八省联考)(1)
2025年1月八省联考高考综合改革适应性测试——高三地理(四川卷)Word版含解析_2025年1月_❤2025年高考综合改革适应性演练(八省联考)(1)
2025年1月八省联考高考综合改革适应性测试——高三地理(四川卷)Word版含解析_2025年1月_❤2025年高考综合改革适应性演练(八省联考)(1)
2025年1月八省联考高考综合改革适应性测试——高三地理(四川卷)Word版含解析_2025年1月_❤2025年高考综合改革适应性演练(八省联考)(1)
2025年1月八省联考高考综合改革适应性测试——高三地理(四川卷)Word版含解析_2025年1月_❤2025年高考综合改革适应性演练(八省联考)(1)
2025年1月八省联考高考综合改革适应性测试——高三地理(四川卷)Word版含解析_2025年1月_❤2025年高考综合改革适应性演练(八省联考)(1)
2025年1月八省联考高考综合改革适应性测试——高三地理(四川卷)Word版含解析_2025年1月_❤2025年高考综合改革适应性演练(八省联考)(1)
2025年1月八省联考高考综合改革适应性测试——高三地理(四川卷)Word版含解析_2025年1月_❤2025年高考综合改革适应性演练(八省联考)(1)
2025年1月八省联考高考综合改革适应性测试——高三地理(四川卷)Word版含解析_2025年1月_❤2025年高考综合改革适应性演练(八省联考)(1)
2025年1月八省联考高考综合改革适应性测试——高三地理(四川卷)Word版含解析_2025年1月_❤2025年高考综合改革适应性演练(八省联考)(1)
2025年1月八省联考高考综合改革适应性测试——高三地理(四川卷)Word版含解析_2025年1月_❤2025年高考综合改革适应性演练(八省联考)(1)
2025年1月八省联考高考综合改革适应性测试——高三地理(四川卷)Word版含解析_2025年1月_❤2025年高考综合改革适应性演练(八省联考)(1)
2025年1月八省联考高考综合改革适应性测试——高三地理(四川卷)Word版含解析_2025年1月_❤2025年高考综合改革适应性演练(八省联考)(1)
2025年1月八省联考高考综合改革适应性测试——高三地理(四川卷)Word版含解析_2025年1月_❤2025年高考综合改革适应性演练(八省联考)(1)

文档信息

文档格式
docx
文档大小
1.169 MB
文档页数
13 页
上传时间
2026-02-10 18:40:04

文档内容

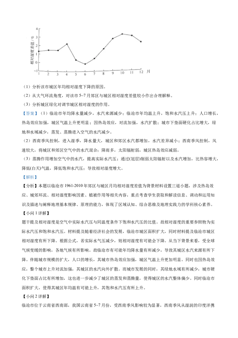
四川省 2025 年普通高中学业水平选择性考试适应性演练 地理试题 注意事项: 1.答卷前,考生务必将自己的姓名、准考证号填写在答题卡上。 2.回答选择题时,选出每小题答案后,用铅笔把答题卡上对应题目的答案标号涂黑。如需改 动,用橡皮擦干净后,再选涂其他答案标号。回答非选择题时,将答案写在答题卡上。写在 本试卷上无效。 3.考试结束后,将本试卷和答题卡一并交回。 一、单项选择题:本题共16小题,每小题3分,共48分。在每小题给出的四个选项中,只 有一项是最符合题目要求的。 梅林村位于浙江省杭州市萧山区沿江平原,是具有城镇景观特征的新型乡村聚落。近年来,该村致力 于构建生产、生活、生态“美好共同体”。图为梅林村1975年、2000年和2020年的土地利用图。完成下 面小题。 1. 影响1975年、2020年该村房屋选址的主要因素分别是( ) A. 道路布局、农田分布 B. 河流分布、农田分布 C. 道路布局、河流分布 D. 农田分布、道路布局 2. 相较于2000年,2020年该村( ) A. 工业用地规模扩大 B. 农业用地规模扩大 C. 居住用地布局分散 D. 公共建筑用地集中 的 3. 在建设“美好共同体” 过程中,该村可采取的合理措施是( ) A. 发展区域商业中心 B. 建设优质商品粮基地 C. 打造大规模工业园 D. 推动用地多功能协同【答案】1. D 2. A 3. D 【解析】 【1题详解】 由图可知,1975年的居住用地零散分布在农田之中,故该村房屋选址的主要因素是农田分布;2020年居住 用地沿主干道分布,该村房屋选址的主要因素是道路布局。综上所述,D正确,ABC错误。故选D。 【2题详解】 由图可知,相较于2000年,2020年该村工业用地规模扩大,A正确;农业用地规模缩小,B错误;居住用 地布局趋于集中分布,C错误;公共建筑用地基本维持不变,面积略有扩大,分布较为分散,D错误。故选 A。 【3题详解】 由材料可知,梅林村位于浙江省杭州市萧山区沿江平原,是具有城镇景观特征的新型乡村聚落,不适宜发 展区域商业中心,A错误;农业用地面积不断减少,且靠近杭州主城区,不适宜建设优质商品粮基地,B错 误;打造大规模工业园会侵占更多农业用地,可能造成环境污染,C错误;推动用地多功能协同,提高土 地的利用效率,符合构建生产、生活、生态“美好共同体”的愿景,D正确。故选D。 【点睛】乡村是以农业经济活动为主的地区。乡村的土地利用形式以农业用地和居住用地为主,其中农业 用地是乡村地区最广泛的土地利用方式。 江汉平原西北高东南低,河湖密布,是重要的水产品生产基地。区内养殖水面分为大水面(湖泊和水 库)和小水面(塘堰、沟渠、精养池、稻田和其它水面),小水面养殖需频繁换水。2001-2020年,湖北 省人均水产品需求快速增长。2012年以来,该省先后实行湖长制、河长制,严格保护水体。下图为江汉平 原2001-2020年养殖水面面积变化图。完成下面小题。 4. 2001~2020年,江汉平原养殖水面结构变化特征是( ) A. 大水面养殖面积占比稳定 B. 稻田养殖面积占比升高 C. 精养池养殖面积占比升高 D. 养殖水面结构多元化5. 江汉平原养殖水面变化的主要原因是( ) ①保护天然水域②平衡区域水产养殖布局 ③满足市场需求④降低区域水资源消耗 A. ①② B. ①③ C. ②④ D. ③④ . 【答案】4 B 5. B 【解析】 【 4题详解】 由图可知,大水面养殖面积变化稳定,但养殖总面积大幅提升,说明大水面养殖面积占比减小,A错误; 由图可知,稻田面积的增幅大于总面积的增幅,说明稻田养殖面积占比升高,B正确;由图可知,精养池 面积的增幅小于总面积的增幅,精养池养殖面积占比不是升高的,C错误;2001~2020年并没有增加新的类 型,养殖水面结构并没有多元化,D错误。故选B。 【5题详解】 由图可知,湖泊的养殖面积占比大幅降低,主要是要保护天然水域,①正确;由图可知,区域不同水产养 殖类型差异加大,并没有起到平衡区域水产养殖布局,②错误;精养池的面积大幅增加,主要是市场对精 品水产产品的需求增加,③正确;总的水域养殖面积大幅增加,区域水资源消耗增加,④错误。B正确, ACD错误。故选B。 【点睛】精养鱼塘的特点包括投资大、成本高、利润高,鱼池配置要求较高,如配备循环水系统、加氧机、 喂饵机等机械设备。精养鱼塘的管理要求科学选放鱼种、合理投饵、定期消毒、经常加注新水以调节水质, 并且产量通常较高。 乌干达是非洲东部的内陆国,经济以农牧业为主,工业产品市场竞争小。在“一带一路”倡议下,中 国和乌干达共建中乌姆巴莱工业园(1°N,34°E),乌干达政府针对入驻企业推出10年免征所得税等政 策。2023年,中国某企业依托当地棉花资源,在此投资建设服装厂。图为中乌姆巴莱工业园区照片。完成 下面小题。 6. 该企业在此投资主要是基于乌干达的( ) ①技术水平②政策因素③市场潜力④劳动力素质A. ①② B. ①④ C. ②③ D. ③④ 7. 该企业在中乌姆巴莱工业园建厂有利于( ) ①增加当地居民就业机会②延长我国服装产业链 ③促进我国原材料出口④助推当地工业化进程 A. ①② B. ①④ C. ②③ D. ③④ 8. 若该照片拍摄于6月22日上午,则根据影子推断拍摄照片时的镜头朝向为( ) A. 东南方向 B. 西南方向 C. 西北方向 D. 东北方向 【答案】6. C 7. B 8. A 【解析】 【6题详解】 根据材料信息可知,乌干达是非洲东部的内陆国,经济以农牧业为主,技术水平较低,①错误;根据材料 信息“乌干达政府针对入驻企业推出10年免征所得税等政策”可知,乌干达政府对入驻的企业政策支持力 度较大,②正确;根据材料信息“工业产品市场竞争小”可知,当地工业产品市场竞争小,市场潜力较大, ③正确;当地人口受教育水平较低,劳动力素质较低,④错误。②③正确,故选C。 【7题详解】 该企业在中乌姆巴莱工业园建厂,能够提供大量就业岗位,促进当地居民就业,①正确;在乌干达建厂不 会延长我国服装产业链,②错误;根据材料信息“中国某企业依托当地棉花资源,在此投资建设服装 厂。”可知,该服装厂是依托当地棉花资源,不会促进我国原材料的出口,③错误;能够促进当地产业结 构的升级,助推当地工业化进程,④正确。故选B。 【8题详解】 6月22日太阳直射点位于北回归线,当地位于太阳直射点以南,正午太阳方位位于正北,当地上午太阳方 位应该位于东北,影子应朝向西南,则拍摄时镜头朝向东南方向,A正确,BCD错误。故选A。 【点睛】工业区位因素:自然因素:地理位置、土地、水源。经济因素:原料、燃料、市场、交通、劳动 力、农业根底、技术。社会因素:政策、个人偏好、工业惯性、社会协作条件、国防平安需要、社会需要、 历史条件。 暗崴岩溶洼地位于广西壮族自治区桂林市境内,洼地流域面积2.3km2,地表、地下水通过落水洞进入 地下河后流出。洼底土壤较厚,以种植农作物为主,洪涝灾害频发;坡地土壤零星分布于岩石沟槽中,植 被以灌丛为主。图1为暗崴岩溶洼地示意图,图2为地下河出口处水文站2023年部分监测时段的流量变化 图。完成下面小题。9. 监测时段的流量变化表明该洼地所在流域( ) A. 河流径流稳定 B. 植被截留作用强 C. 地表蓄水能力差 D. 地下水补给占比高 10. 该洼地洪涝灾害频发的地形原因是( ) A. 裂隙发育 B. 坡地较缓 C. 沟谷密集 D. 洼底狭窄 11. 能够有效减轻该洼地洪涝灾害的措施是( ) A. 拓宽洼底 B. 疏通落水洞 C. 退耕还林 D. 设置蓄洪区 【答案】9. C 10. D 11. B 【解析】 【9题详解】 由图可知,地下河出口处的流量变化很大,说明该河流径流不稳定,植被的截留作用弱,AB错误;地下水 补给占比高,径流稳定,D错误;地表、地下水通过落水洞进入地下河后流出,说明地表蓄水能力差,C正 确。故选C。 【10题详解】 裂隙发育,地表水漏失快,不易产生洪涝灾害,A错误;坡地较缓,不易形成地表径流,不易产生洪涝灾 害,B错误;坡地土壤零星分布于岩石沟槽中,沟谷不是很密集,C错误;由图可知,岩溶洼地的洼地狭窄, 流水不畅,易发生洪涝灾害,D正确。故选D。 【11题详解】 地表、地下水通过落水洞进入地下河后流出,故要从本质上解决该洼地的洪涝灾害要疏通落水洞,B正确; 拓宽洼底,工程量大,不能从根本上减轻洪涝灾害,A错误;该区域的洪涝灾害的洪水主要来源于流域的 坡地上,而坡地土壤零星分布于岩石沟槽中,植被以灌丛为主,坡地土壤浅薄,不是以耕地为主,加之土 层浅薄,不易植树造林,C错误;溶蚀洼地的洼底狭窄,设置蓄洪区意义不大,D错误。故选B。 【点睛】溶蚀洼地指石灰岩区经溶蚀而形成一定面积的闭塞盆地。其内具有孤峰、落水洞、溶蚀漏斗、残 丘等喀斯特地貌,底部平坦,有松散堆积物。一般宽数十米至数百米,长数千米至数十千米。面积较大的溶蚀洼地称“坡立谷”。溶蚀洼地和坡立谷的形成,主要是溶蚀漏斗逐渐扩大,相邻溶洞发生塌落合并而 成,有的则与断层分布有关。 某山地位于我国季风区,山麓海拔约250m,年降水量550~790mm,年均温10.8℃。海拔1000m以下 受人为活动干扰,当前为次生植被。表为该山地不同海拔高度土壤有机碳含量(即土壤有机质中的碳元素 含量)。完成下面小题。 土壤剖面有机碳含量(g·kg-1) 海拔(m) 植被类型 0~10cm 10~20cm 20~40cm 250 灌草丛 6.7 4.5 3.9 700 疏林灌丛 10.1 5.4 4.3 1000 落叶阔叶林 11.7 7.5 5.0 1400 针阔混交林 18.1 13.6 10.1 1800 针叶林 24.4 20.6 17.2 . 2000 草甸 51.7 38.4 237 12. 该山地草甸分布区土壤有机碳含量高的气候原因,是草甸所在地带( ) A. 气温低 B. 降水少 C. 风速大 D. 光照强 13. 若不受人为干扰,该山地海拔250~700m植被演替到成熟阶段的地带性植被是( ) A. 疏林灌丛、疏林灌丛 B. 疏林灌丛、亚热带常绿阔叶林 C. 温带落叶阔叶林、温带落叶阔叶林 D. 亚热带常绿阔叶林、温带落叶阔叶林 【答案】12. A 13. C 【解析】 【12题详解】 根据图示信息可知,草甸分布区主要位于海拔2000m以上,该山地山麓海拔约250m,年均温10.8℃,随着 海拔高度升高,气温降低,则草甸所在海拔高度气温较低,微生物活性较弱,土壤有机碳分解较慢,有机 碳含量高,A正确;无法判断该地降水的相关信息,B错误;风速和光照不是影响土壤有机碳含量的主要因 素,CD错误。故选A。 【13题详解】 根据材料信息可知,海拔1000m以下受人为活动干扰,当前为次生植被。海拔1000m为落叶阔叶林,海拔250~700m热量条件优于1000m,但该地位于我国东部季风区,年均温较低,为温带季风气候,地带性植被 为温带落叶阔叶林,所以若不受人为干扰,该山地海拔250~700m植被演替到成熟阶段的地带性植被都会成 为温带落叶阔叶林,C正确,ABD错误。故选C。 【点睛】 地带性植被 是指在地球表面,与水热条件相适应,呈带状分布的植被类型,能够充分反映一个地 区的气候特点。地带性植被的主要类型包括热带雨林、常绿阔叶林、落叶阔叶林和北方针叶林等。这些植 被类型通常分布在特定的气候区域内,随着地理位置的变化而变化,主要受气候因素的影响。 德国中部罗恩山降雪丰富,坡地分布有冻融作用形成的巨大砾石堆积体。该堆积体10m深度范围内孔 隙度高,当地冬季与夏季平均气温分别是-0.7℃和16.2℃。夏季该堆积体前缘表面存在温度明显较低的 “冷点”现象。图示意该堆积体表面不同观测点冬夏平均温度分布。完成下面小题。 14. 冬季该堆积体表面温度高于气温的原因是( ) A. 积雪保温作用强 B. 砾石导热率低 C. 阳坡太阳辐射强 D. 地面吸热量高 15. “冷点”现象形成的原因是( ) A. 冷点处地表坡度较小 B. 堆积体植被覆盖度高 C. 冷点处堆积体厚度大 D. 堆积体内冷空气下沉 16. 在路基建设和保护中,“冷点”现象可应用于我国( ) A. 东北沼泽区桥梁 B. 西北沙漠区公路 C. 青藏高寒区铁路 D. 东南丘陵区隧道 【答案】14. A 15. D 16. C 【解析】 【14题详解】 结合材料可知,德国中部罗恩山降雪丰富,且当地冬季平均气温是-0.7℃,低于0°C,温度低,积雪不易 融化,积雪覆盖在该堆积体表面,对堆积体起到保温作用,因此堆积体温度受外界大气温度影响较小,冬 季表面温度高于气温,A正确;砾石的导热率低不易使堆积体内部热量向上传递,不是堆积体表面温度高 于气温的主要原因,B错误;该堆积体位于西北坡,不属于阳坡,C错误;冬季太阳高度较小,昼长短,且 该堆积体位于西北坡,地面吸热少,D错误。故选A。【15题详解】 该堆积体10m深度范围内孔隙度高,透气性较好,堆积体内冷空气下沉,受其影响,该堆积体前缘表面存 在温度明显较低的“冷点”现象,D正确;“冷点”现象出现在该堆积体前缘表面,读图可知,该处地表 坡度并不小,堆积体前缘厚度也较薄,AC错误;图中信息没有体现堆积体的植被覆盖度状况,且根据材料 “冻融作用形成的巨大砾石堆积体”可知,该处有明显的冻融作用,不利于植被生长,堆积体植被覆盖度 应较低,B错误。故选D。 【16题详解】 “冷点”现象出现于受冻融作用形成的巨大砾石堆积体的前缘表面,四个选项中,青藏高寒区铁路在路基 建设和保护中也面临着冻土的冻融问题,与冷点处的环境最为相似,因此“冷点”现象可应用于我国青藏 高寒区铁路,C正确;东北沼泽区桥梁面临的主要问题是沼泽的湿陷问题,A错误;西北沙漠区公路主要问 题是风沙,B错误;东南丘陵区隧道面临的主要问题地形起伏和水土流失等问题,D错误。故选C。 【点睛】冻土问题是修建青藏铁路面临的世界性技术难题。冻土的反复冻结、反复融化会影响路基稳定, 因此如何使冻土保持“沉睡”状态不乱动成为关键。青藏铁路采用了“主动冷却”路基的技术,通过调控 辐射、传导和对流,解决了冻土相关的关键科学和技术问题,于2006年通车。 二、非选择题:本题共3小题,共52分。 17. 阅读图文材料,完成下列要求。 玉门市位于甘肃省河西走廊西部,为我国资源型城市转型范例。1957年建成我国第一个石油工业基地; 2009年开始转型,利用本地资源和外地煤炭,发展石油化工和煤化工、太阳能和风能等新能源、新能源装 备制造、绿色有机农产品生产加工、文化旅游五大产业。图为河西走廊地区年太阳辐射总量分布图。 (1)简述河西走廊年太阳辐射空间分布特征及利用的制约条件。 (2)简述太阳能开发利用对玉门市能源产业转型的作用。 (3)概括玉门资源型城市转型采取的主要措施。 【答案】(1)特征:太阳辐射总量空间分布不均,地区差异较大;太阳辐射总量总体上自东南向西北递 增;高值区地处甘肃西北部,低值区地处甘肃东南部;中部、东部太阳辐射空间变率更大。制约条件:远 离市场,输电距离远;经济落后,资金不足;人才不足,技术水平低;交通和基础设施滞后。 (2)调整能源结构,增大清洁能源比重;减轻对化石能源的依赖,延缓资源枯竭;降低能源开发成本,提高经济效益;减轻环境污染,增强能源产业招商引资吸引力;带动新能源相关产业发展,延长产业链; 有利于玉门市继续发挥能源产业优势,维持其能源产业地位。 (3)引入外地资源,弥补本地资源的不足;延长产业链和价值链,提高附加值;积极开发新能源,经济 效益与生态效益并重;调整产业结构,发展新兴第三产业,实现产业结构多元化。 【解析】 【分析】本题以甘肃玉门的太阳辐射分布图及产业转型为材料,涉及太阳辐射的空间分布规律、太阳能的 开发对产业转型的作用、资源型城市转型的措施等相关知识,考查学生调用地理知识的能力和地理学科综 合素养。 【小问1详解】 由图可知,太阳辐射总量空间分布不均,区域内部差异较大;太阳辐射总量整体分布规律为自东南向西北 递增;高值区地区位于甘肃西北部,低值区地区位于甘肃东南部;中部、东部太阳辐射线较为密集,太阳 辐射空间变率更大。 河西走廊发展太阳能的制约条件:远离东部市场,输电距离远,成本较高;该地经济较为落后,供太阳能 光伏发电的资金不足;高科技人才数量较少,技术水平较低;交通不发达,工业基础设施较为落后。 【小问2详解】 太阳能的开发能调整能源消费结构,降低传统能源的比重,增大清洁能源比重;减轻对化石能源等常规能 源的依赖,延缓资源枯竭;太阳能的开发能降低能源开发成本,带来收益,提高经济效益;太阳能属清洁 能源,可减轻化石能源带来的环境污染,增强能源产业招商引资吸引力;带动新能源上下游等相关产业发 展,延长产业链,增加附加值;有利于玉门市继续发挥能源产业的优势,巩固其能源产业资源型城市的地 位。 【小问3详解】 由材料可知,2009年开始转型,利用本地资源和外地煤炭,引入外地资源,弥补本地资源的不足;通过发 展石油化工和煤化工,延长产业链和价值链,提高产品附加值;积极开发太阳能和风能等新能源,绿色有 机农产品生产加工,实现了经济效益与生态效益并重;调整产业结构,发展新兴第三产业,如文化旅游等, 实现产业结构多元化,改变了产业结构单一的经济模式。 18. 阅读图文材料,完成下列要求。 相对湿度是空气中实际水汽压与同温度条件下饱和水汽压的比值。临沧市位于云南省西南部,城区海 拔1850m,多年平均降水量1162mm,干湿季分明。随着经济社会发展,临沧市城区面积逐步扩大。1956 年以来,该市年均降水量、年均温、城区年均相对湿度分别呈下降、上升和下降趋势。下图为临沧市 1961-2010年郊区与城区月均相对湿度差值(相对湿度差值=郊区相对湿度-城区相对湿度)图。(1)分析该市城区年均相对湿度下降的原因。 (2)从大气环流角度,对该市5~7月郊区与城区相对湿度差值较小作出合理解释。 (3)分析城区绿化对调节城区相对湿度的作用。 【答案】(1)临沧市年均降水量减少,水汽来源减少;临沧市年均温上升,饱和水汽压上升;人口增长, 热岛效应加强,城区气温上升更明显;因热岛效应,对流加强,水汽扩散;城市下垫面硬化占比增大,绿 地和水域减少,蒸发、蒸腾进入空气的水汽减少。 (2)西南季风控制,进入湿季,降水量大,城区和郊区水汽都增加,水汽差异减小;西南季风控制,风 速较大,将城区和郊区空气中的水汽混合;降雨多,太阳辐射弱,城区热岛效应减弱。 (3)蒸腾作用增加空气中的水汽,提高实际水汽压;通过(冠层)削弱太阳辐射以及水汽增加,比热容增大, 降低(白天)气温,降低饱和水汽压;导致相对湿度增大。 【解析】 【分析】本题以临沧市1961-2010年郊区与城区月均相对湿度差值为背景材料设置三道小题,涉及热岛效 应、城郊环流、相对湿度影响因素、植被作用等相关内容,重点考查学生获取和解读信息、调动和运用知 识及描述与阐释地理基本规律、原理的能力,体现了区域认知、综合思维及地理实践力的学科核心素养。 【小问1详解】 题干提及相对湿度是空气中实际水汽压与同温度条件下饱和水汽压的比值。故相对湿度的重要参照物为实 际水汽压和饱和水汽压。材料提及随着经济社会的发展,临沧市城区面积扩大,同时材料提及临沧市城区 相对湿度有所下降。根据公式,若实际水气压减少,则相对湿度有可能会下降。从当下背景来看,受全球 气候变暖的影响,各地气候有所影响。故临沧市有可能年均降水量有所减少,导致其城区水汽来源有所下 降。伴随城市规模的扩大,人口的增长,其城市热岛效应加强,城区气温上升更加明显。同时也因热岛效 应,整个城市上升对流加强,其城区的水汽向外扩散。而城市发展的同时,其绿地水域有所减少,城市硬 化下垫面占比有所增加,这也进一步减少了城区的蒸发和蒸腾量,使得城区的水汽整体偏少。同时临沧市 面积扩大,使得其城区年均温有可能上升,其饱和水汽压有所上升。 【小问2详解】 临沧市位于云南省西南部,我国云南省5~7月份,受西南季风影响较为显著,西南季风从湿润的印度洋携带大量水汽,其整体降水量较大,使得城区和郊区空气中的水汽都有所增加,城郊水汽差异有所下降。同 时受西南季风的影响,其整体城郊风力较大,城区和郊区空气当中的水汽容易混合,也使得城郊水汽差异 进一步减小。而5~7月属于湿季、雨季,整体降水多,云层较厚,太阳辐射偏弱,这也使得城区的热岛效 应有所下降。 【小问3详解】 城区绿化的增加使得植被的蒸腾作用增强,进一步增强了空气中的实际水汽,可提高实际的水汽压。植被 的冠层可以有效的阻挡太阳辐射,减少到达地面的太阳辐射量,同时植被让空气中蒸腾水汽增加,也进一 步的使得比热容有所增大,能够有效的使白天的气温有所降低,降低饱和水汽压。实际水汽压上升,饱和 水汽压下降,相对湿度有所上升。 19. 阅读图文材料,完成下列要求。 雅鲁藏布江发源于青藏高原西南部的喜马拉雅山北麓,流域平均海拔4100m以上,是世界上海拔最高 的河流之一。受历次地壳运动影响,河流纵剖面有多处坡度急剧变化。在急剧变化处,河水切割基岩,形 成大规模跌水。其中,有世界著名的雅鲁藏布江大峡谷。图1为该河仲巴-巴昔卡河段纵剖面图,图2为雅 鲁藏布江大峡谷起点附近局部河段河道平面图。(1)相较于甲地,简述乙地的河道平面形态及成因。 (2)指出仲巴—雅鲁藏布江大峡谷起点沿程河道平面形态的分布特点。 (3)根据仲巴—巴昔卡河段纵剖面变化,分析所在地的地壳运动特征。 (4)分别指出甲、乙两地河水的主要利用方式。 【答案】(1)形态:与甲地相比,乙地河道更窄,无分汊。成因:乙地已进入大峡谷, 山高谷深,落差 大,流速快,下切侵蚀作用强,侧蚀和侧向堆积弱,且受两岸地形阻 挡,难以分汊、展宽。 (2)宽谷和峡谷相间分布;以宽谷为主,宽谷段多分汊(多沙洲)。 (3)总体以抬升为主;宽谷段地壳抬升较快(幅度较大);峡谷段地壳抬升较慢(幅度较小); 地壳抬升速度 (幅度)的空间差异大。 (4)甲:灌溉、生活供水。乙:水能开发、探险旅游。 【解析】 【分析】本题以雅鲁藏布江相关图文资料为材料,设置4个小题,涉及河流地貌、流域的开发等相关知识 点,考查学生获取和解读地理信息、调动和运用地理知识的能力,体现区域认知、综合思维的学科素养。 【小问1详解】 读图可知,甲处河道较宽,且河流出现多个分汊,与甲地相比,乙地河道更窄,且无分汊。 成因:结合图中河流流向箭头和雅鲁藏布江大峡谷起点位置可知,乙地已进入雅鲁藏布江大峡谷,左图显 示进入大峡谷后,河流流经山高谷深的地区,落差大,流速快,河流下切侵蚀作用强,强烈的向下切割基 岩,而侧蚀和侧向堆积弱,是河谷窄而深,加之受两岸高大的山地地形阻挡,河道难以分汊、展宽。 【 小问2详解】 读左图可知,仲巴-雅鲁藏布江大峡谷起点段河流总体落差不大,但也有几处(倒三角形所示河段)坡度急 剧变化、河流流速突然加快的地区,这些陡坎处流速较快,下蚀较强,形成峡谷;而其它河段落差较小, 流速较慢,下蚀较弱,侧蚀较强,河流较宽,以宽谷为主,且由于流速较慢,利于泥沙堆积,宽谷段多沙 洲,导致河流多分汊。 【小问3详解】 左图显示仲巴-巴昔卡河段有多处坡度急剧变化,导致河流出现多处跌水,跌水处河流下蚀较强,说明该地 总体以地壳抬升为主;仲巴-雅鲁藏布江大峡谷起点河段宽谷较多,但该河段整体海拔较高,说明宽谷段地 壳抬升较快(幅度较大);而雅鲁藏布江大峡谷起点-巴昔卡河段以峡谷为主,但整体地势较低,因此峡谷段 地壳抬升较慢(幅度较小),不同河段地壳抬升速度(幅度)的空间差异大。 【小问4详解】 甲处河谷较宽,利于泥沙堆积,地形较为平坦,土壤较深厚肥沃,是人口和农业的集中分布区,甲地河水 主要用于灌溉和生活供水。乙处河流流经高山峡谷,落差大,水流急,且风景秀丽,水能资源和旅游资源丰富,河水的主要利用方式是水能开发、探险旅游。