当前位置:首页>文档>信息必刷卷01(新高考Ⅱ卷专用)参考答案_2025年4月_2504162025年高考考前信息必刷卷(新高考Ⅰ卷+ⅠⅠ卷专用)_2025年高考考前数学信息必刷卷(新高考ⅠⅠ卷专用)

信息必刷卷01(新高考Ⅱ卷专用)参考答案_2025年4月_2504162025年高考考前信息必刷卷(新高考Ⅰ卷+ⅠⅠ卷专用)_2025年高考考前数学信息必刷卷(新高考ⅠⅠ卷专用)

  • 2026-03-27 14:53:07 2026-02-10 22:08:18

文档预览

信息必刷卷01(新高考Ⅱ卷专用)参考答案_2025年4月_2504162025年高考考前信息必刷卷(新高考Ⅰ卷+ⅠⅠ卷专用)_2025年高考考前数学信息必刷卷(新高考ⅠⅠ卷专用)
信息必刷卷01(新高考Ⅱ卷专用)参考答案_2025年4月_2504162025年高考考前信息必刷卷(新高考Ⅰ卷+ⅠⅠ卷专用)_2025年高考考前数学信息必刷卷(新高考ⅠⅠ卷专用)
信息必刷卷01(新高考Ⅱ卷专用)参考答案_2025年4月_2504162025年高考考前信息必刷卷(新高考Ⅰ卷+ⅠⅠ卷专用)_2025年高考考前数学信息必刷卷(新高考ⅠⅠ卷专用)
信息必刷卷01(新高考Ⅱ卷专用)参考答案_2025年4月_2504162025年高考考前信息必刷卷(新高考Ⅰ卷+ⅠⅠ卷专用)_2025年高考考前数学信息必刷卷(新高考ⅠⅠ卷专用)
信息必刷卷01(新高考Ⅱ卷专用)参考答案_2025年4月_2504162025年高考考前信息必刷卷(新高考Ⅰ卷+ⅠⅠ卷专用)_2025年高考考前数学信息必刷卷(新高考ⅠⅠ卷专用)
信息必刷卷01(新高考Ⅱ卷专用)参考答案_2025年4月_2504162025年高考考前信息必刷卷(新高考Ⅰ卷+ⅠⅠ卷专用)_2025年高考考前数学信息必刷卷(新高考ⅠⅠ卷专用)
信息必刷卷01(新高考Ⅱ卷专用)参考答案_2025年4月_2504162025年高考考前信息必刷卷(新高考Ⅰ卷+ⅠⅠ卷专用)_2025年高考考前数学信息必刷卷(新高考ⅠⅠ卷专用)
信息必刷卷01(新高考Ⅱ卷专用)参考答案_2025年4月_2504162025年高考考前信息必刷卷(新高考Ⅰ卷+ⅠⅠ卷专用)_2025年高考考前数学信息必刷卷(新高考ⅠⅠ卷专用)
信息必刷卷01(新高考Ⅱ卷专用)参考答案_2025年4月_2504162025年高考考前信息必刷卷(新高考Ⅰ卷+ⅠⅠ卷专用)_2025年高考考前数学信息必刷卷(新高考ⅠⅠ卷专用)
信息必刷卷01(新高考Ⅱ卷专用)参考答案_2025年4月_2504162025年高考考前信息必刷卷(新高考Ⅰ卷+ⅠⅠ卷专用)_2025年高考考前数学信息必刷卷(新高考ⅠⅠ卷专用)
信息必刷卷01(新高考Ⅱ卷专用)参考答案_2025年4月_2504162025年高考考前信息必刷卷(新高考Ⅰ卷+ⅠⅠ卷专用)_2025年高考考前数学信息必刷卷(新高考ⅠⅠ卷专用)
信息必刷卷01(新高考Ⅱ卷专用)参考答案_2025年4月_2504162025年高考考前信息必刷卷(新高考Ⅰ卷+ⅠⅠ卷专用)_2025年高考考前数学信息必刷卷(新高考ⅠⅠ卷专用)

文档信息

文档格式
docx
文档大小
0.709 MB
文档页数
8 页
上传时间
2026-02-10 22:08:18

文档内容

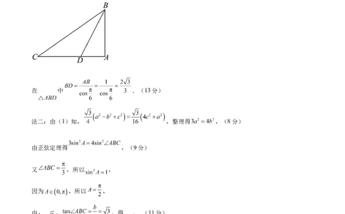
2025 年高考考前信息必刷卷 01(新高考Ⅱ卷) 数 学·参考答案 一、单项选择题:本题共8小题,每小题5分,共40分.在每小题给出的四个选项中,只有一项是符合题 目要求的. 1 2 3 4 5 6 7 8 C B A C D C A D 二、多项选择题:本题共3小题,每小题6分,共18分.在每小题给出的选项中,有多项符合题目要求, 全部选对的得6分,部分选对的得部分分,有选错的得0分. 9 10 11 BC ABD ACD 三、填空题:本题共3小题,每小题5分,共15分. 12. 13.2 14. 四、解答题:本题共5小题,共77分.解答应写出文字说明、证明过程或演算步骤. 15.(13分) 【详解】(1)由题意 , , ,(2分) 则 . 由余弦定理得 ,所以 ,(4分) 又 , 所以 ,(5分) 则 ,又 ,所以 .(6分) 1 / 8 学科网(北京)股份有限公司(2)法一:由(1)知 ,又 , 所以 ,所以 ,所以 .(8分) 由余弦定理可得 ,得 , ,(10分) 所以 ,所以 , 在 中 .(13分) 法二:由(1)知, ,整理得 ,(8分) 由正弦定理得 ,(9分) 又 ,所以 , 因为 ,所以 , 由 , ,得 .(11分) 在 中, .(13分) 16.(15分) 【详解】(1)设 , 解法一:在平面四边形 中,由 , 得 , 2 / 8 学科网(北京)股份有限公司由 , , ,得 ,解得 ,即 ,(1分) 所以 为 的中点且 ,如图,取 的中点 ,连接 , 则 , ,所以 , , 所以四边形 为平行四边形,所以 ,(3分) 因为 平面 , 平面 ,所以 平面 .(5分) 解法二:因为 平面 , ,所以 两两垂直, 以 为坐标原点, 所在直线分别为 , 轴建立如图所示的空间直角坐标系 , 则A(0,0,0), , , , ,(2分) 所以 ,又 ,所以 , 解得 ,故 .(3分) 易知平面 的一个法向量为 , 因为 ,所以 , 3 / 8 学科网(北京)股份有限公司又 平面 ,所以 平面 .(5分) (2)由(1)中解法二,则 , , , ,(7分) 所以 , . 设异面直线 与 所成的角为 , 则 ,得 .(9分) 则 , ,所以 , , . 设平面 的法向量为⃗n =(x ,y ,z ), 1 1 1 1 则 ,得 ,取 ,得 .(11分) 设平面 的法向量为 , 则 ,得 ,取 ,得 .(13分) 设二面角 的平面角为 ,观察图形可知 为锐角, 所以 , 即二面角 的余弦值为 .(15分) 17.(15分) 【详解】(1)由题知 ,则 ,(2分) 又 , 所以曲线y=f (x)在点(1,f (1))处的切线方程为 ,即 ,(3分) 因为该切线与 的图象有且只有一个交点, 4 / 8 学科网(北京)股份有限公司所以方程 仅有一个解,即 仅有一个解,(5分) 当 时,方程可化为 ,仅有一个解,满足题意; 当 时,由 ,得 ,解得 或 .(7分) 综上, 的值为0或 或4.(8分) (2)因为 在(0,+∞)上单调递增,所以f'(x)≥0恒成立, 由(1)知 ,故 恒成立,所以 ,(11分) 令 , ,则 ,(12分) 当 时, , 单调递增,当 时, , 单调递减, 所以 ,(14分) 则 ,解得 , 所以实数 的取值范围为 .(15分) 18.(17分) 【详解】(1)当 时, ①集合 的所有3划分为 ; ; ; ; ; .(4分) ②集合 的2划分的个数为 ;3划分的个数为6;4划分只有1个, 所以集合 的所有划分共有14个.(7分) 设从集合 的所有划分中任取一个,这个划分恰好为3划分为事件 ,则 .(9分) (2)集合 的非空子集的个数为 ,所以集合 共有 种可能. 当 时,最大元素 为 的子集可视为集合 的子集与集合 的并集, 5 / 8 学科网(北京)股份有限公司而集合 的子集个数为 ,所以 , 所以 ,(11分) 可得 ,解得 .(12分) 所以随机变量 的所有可能取值为 , 则 , , , , ,(15分) 随机变量 的分布列为 1 2 3 4 5 故 .(17分) 19.(17分) 【详解】(1)因为双曲线 的右焦点为 ,所以 , 所以 的离心率为 ,所以 , ,(3分) 故 的标准方程为 .(4分) (2)由(1)知 ,由题意知 的斜率不为0, 设 的方程为 , , , 6 / 8 学科网(北京)股份有限公司联立方程,得 ,得 , 所以 , , , (7分) 所以 ,得证.(9分) (3)由题意知 ,显然 在点 处的切线的斜率存在, 设 在点 处的切线方程为 ,即 , 代入 ,消去 得 , 因为 与 相切,所以 ,解得 . 所以 在点 处的切线方程为 .(11分) 易知直线 的斜率 , 可设直线 的方程为 , , . 7 / 8 学科网(北京)股份有限公司由方程组 ,解得 , 所以点 的坐标为 ,所以 .(13分) 由方程组 ,消去 可得 , 则 , 所以 , , 所以 , 同理可得 ,(15分) 所以 ,(16分) 所以 ,即 .(17分) 8 / 8 学科网(北京)股份有限公司