当前位置:首页>文档>高二数学(答案及评分标准)(上海专用)-2024年新高二开学摸底考试卷_1多考区联考_0914黄金卷:2024-2025学年高二上学期入学摸底考试数学试卷21套(含答题卡)

高二数学(答案及评分标准)(上海专用)-2024年新高二开学摸底考试卷_1多考区联考_0914黄金卷:2024-2025学年高二上学期入学摸底考试数学试卷21套(含答题卡)

  • 2026-04-14 10:21:21 2026-02-11 03:06:20

文档预览

高二数学(答案及评分标准)(上海专用)-2024年新高二开学摸底考试卷_1多考区联考_0914黄金卷:2024-2025学年高二上学期入学摸底考试数学试卷21套(含答题卡)
高二数学(答案及评分标准)(上海专用)-2024年新高二开学摸底考试卷_1多考区联考_0914黄金卷:2024-2025学年高二上学期入学摸底考试数学试卷21套(含答题卡)
高二数学(答案及评分标准)(上海专用)-2024年新高二开学摸底考试卷_1多考区联考_0914黄金卷:2024-2025学年高二上学期入学摸底考试数学试卷21套(含答题卡)
高二数学(答案及评分标准)(上海专用)-2024年新高二开学摸底考试卷_1多考区联考_0914黄金卷:2024-2025学年高二上学期入学摸底考试数学试卷21套(含答题卡)
高二数学(答案及评分标准)(上海专用)-2024年新高二开学摸底考试卷_1多考区联考_0914黄金卷:2024-2025学年高二上学期入学摸底考试数学试卷21套(含答题卡)
高二数学(答案及评分标准)(上海专用)-2024年新高二开学摸底考试卷_1多考区联考_0914黄金卷:2024-2025学年高二上学期入学摸底考试数学试卷21套(含答题卡)
高二数学(答案及评分标准)(上海专用)-2024年新高二开学摸底考试卷_1多考区联考_0914黄金卷:2024-2025学年高二上学期入学摸底考试数学试卷21套(含答题卡)
高二数学(答案及评分标准)(上海专用)-2024年新高二开学摸底考试卷_1多考区联考_0914黄金卷:2024-2025学年高二上学期入学摸底考试数学试卷21套(含答题卡)

文档信息

文档格式
docx
文档大小
0.477 MB
文档页数
4 页
上传时间
2026-02-11 03:06:20

文档内容

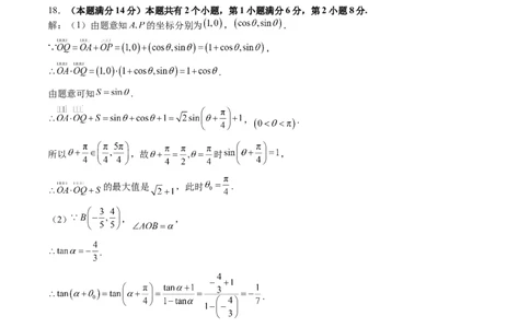
新高二年级开学摸底考试卷(上海专用) 数学·答案及评分标准 一、填空题(本大题共有12题,满分54分,第1-6题每题4分,第7-12题每题5分) 1. 2.2 3. / 4. 5. / 6. 7.3.2 8. / 9.①④ 10. 11.45° 12. 二、选择题(本题共有4题,满分18分,第13-14题每题4分,第15-16题每题5分;每题有且只有一个正 确选项)考生应在答题纸的位置,将代表正确选项的小方格涂黑. 13 14 15 16 C B B A 三、解答题(本大题共有5题,满分76分)解答下列各题必须在答题纸的相应位置写出必要的步骤. 17.(本题满分14分)本题共有2个小题,第1小题满分6分,第2小题8分. 解:(1)因为 ,则 ,且 . 由正弦定理,得 ,即 , 即 , , 因为 ,所以 , 因此 , ;(2)由 得 , 于是 . 当 时,由余弦定理,得 . 当 时,由余弦定理,得 . 所以, 或 . 18.(本题满分14分)本题共有2个小题,第1小题满分6分,第2小题8分. 解:(1)由题意知 的坐标分别为 , . , . 由题意可知 . , . 所以 ,故 时 , 的最大值是 ,此时 . (2) , , . . , 所以 ,故 的周长为 . 19.(本题满分14分)本题共有2个小题,第1小题满分6分,第2小题8分. 解:(1)证明:取线段 、 的中点分别为 、 ,连接 、 、 , 则 , , 又底面 是正方形,即 , 则 ,即四边形 为平行四边形,则 ,又 在平面 外, 平面 , 故 平面 . (2)取线段 的中点为 点,连接 、 , 又 ,底面 是边长为 的正方形, 则 ,且 , , 又二面角 的大小为 , 即平面 平面 , 又 平面 ,平面 平面 , 则 平面 , 则 是直线 与平面 所成角, 在 中, , 即 , 故直线 与平面 所成角的大小为 . 20.(本题满分1分)本题共有2个小题,第1小题满分6分,第2小题10分. 解:(1)因为 ,所以 , 在 中, , , 由余弦定理得 , 即 ,解得 或 (舍去), 所以 的长为 米; (2)因为 , ,设 , ,则 , 在 中,由正弦定理得 , 所有 , 则 , 当 ,即 时, 面积取得最大值,最大值为 平方米. 21.(本题满分18分)本题共有3个小题,第1小题满分4分,第2小题6分,第3小题满分10分. 解:(1)证明:取非零常数 , 则对任意的 ,都有 , 因为 ,即 成立, 故 , 是“ 函数”. (2)函数 是“ 函数”, , 则 ,即 , 整理得 ,而 , 故 , 即 的取值范围为 ; (3)因为对于任意 ,对任意的 ,都有 成立, 则 在R上为单调增函数, 令 , ,由题意知 为奇函数, 因为 , , 所以 , 所以 ,则 .