当前位置:首页>文档>河南省安阳市2025届高三上学期第一次模拟考试(安阳一模)化学答案_2025年1月_250125河南省安阳市2025届高三上学期第一次模拟考试(安阳一模)(全科)

河南省安阳市2025届高三上学期第一次模拟考试(安阳一模)化学答案_2025年1月_250125河南省安阳市2025届高三上学期第一次模拟考试(安阳一模)(全科)

  • 2026-03-18 16:30:38 2026-02-11 10:57:04

文档预览

河南省安阳市2025届高三上学期第一次模拟考试(安阳一模)化学答案_2025年1月_250125河南省安阳市2025届高三上学期第一次模拟考试(安阳一模)(全科)
河南省安阳市2025届高三上学期第一次模拟考试(安阳一模)化学答案_2025年1月_250125河南省安阳市2025届高三上学期第一次模拟考试(安阳一模)(全科)
河南省安阳市2025届高三上学期第一次模拟考试(安阳一模)化学答案_2025年1月_250125河南省安阳市2025届高三上学期第一次模拟考试(安阳一模)(全科)
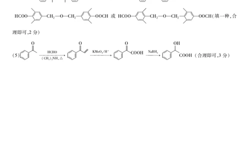
河南省安阳市2025届高三上学期第一次模拟考试(安阳一模)化学答案_2025年1月_250125河南省安阳市2025届高三上学期第一次模拟考试(安阳一模)(全科)

文档信息

文档格式
pdf
文档大小
0.411 MB
文档页数
2 页
上传时间
2026-02-11 10:57:04

文档内容

!"!# !"#$%&’()*+, -.!/0 $%$&1"231’4"5&!4# $() !(* ’(+ &() #(, -() .(, /(+ 0() $"(, $$() $!(, $’(* $&(, $#(!$")#1!!!"2"#$%&’()*,+,345 -.!/012$!!" ! ! !!"’35 675!!!!766!358635!!!" ! ! ’ !’"3)*+435&56()*9+’789!/012$!!" !&":;<=3>?@A+4-.BCDEF!/012$!!" !#"3435 GH&+4I&IJ!/012$!!" ! !-"!KLMNO!$!" "0$(#!!!" ’: $-(!$":;!$!"2"#"#"#"# " !$!" !!"EP-.QR!$!"2ST5 4UV$WXIJYZ![\]H&^_‘aB4Fb"!/012$!!" ! !’"cB+de9<’66’75$%9!57" &86)=!66578!!!+>!57" #6)=!57" #!!!" & ’ ! !#"$0(’!!!"275!xyz{|}$~(cid:127)i!x(cid:128)/!/012$!!" ! $.(!$" 8’(!!!!" !!"!?!!!" " !7" "@!!!"2(cid:129)(cid:130)(cid:129)(cid:131)(cid:132)(cid:133)(cid:131)(cid:134)+$(cid:135)(cid:136)(cid:137)X(cid:138)N$" !7" 6" !)5"(cid:138)N$ " ! W(cid:139)$1(cid:140)(cid:141))5 !(cid:137)$ " ! " ! " !)5" ! " ! W(cid:139)7 !(cid:137)$lmnopq$(cid:142))5 4lmtJR’4(cid:143)@A(cid:143)!/012$!!" ! ! !’"!:!!!" "h(cid:130)(cid:144)(cid:145)-.#u(cid:146)$(cid:147)T(cid:130)V$-.#(cid:148)opq$)5 4lmtJR(cid:140)(cid:141)!$!"$(cid:130)V(cid:149)T(cid:150)$(cid:145)-.$u ! (cid:146)$(cid:147)T(cid:130)V$-.$nopq$)5 4lmtJR(cid:147)T!$!"!/012$!!" ! . % !!!" !&"" ( $ ( {#{QQABQYCEogiAABIAARgCQQEiCgEQkACCAagGAFAUMAAASQNABAA=}#} 书书书$/(!$"(cid:151)(cid:152)!!!"2(cid:153)(cid:154)#(cid:155)(cid:154)(cid:156)(cid:157)}!’!" && 5)7))&&&& ! ’’ )) && !!" ’’&&(( 57 !!!" ’’ )) )) 755) )557 && 5)7))&&&& ! ’’ )) && U(cid:158)(cid:159) !’" ’’&&(( 57 ))) * + 67 ! 5!!!" ’’ )) )) 755) &&))&&’’ ’’&&))&& &&))&& &&))&& !&"7)55)) ))))5)))) ))55)7#!)7" )7)55)) ))5)) ))55))7!)7" # ’’ ’’ ’ ! ’ ! ,, ,, ,, ,, &&))&& &&))&& &&))&& &&))&& 7)55)) )))7))5)))7)) ))55)7[ 7)55)) )))7))5)))7)) ))55)7!(cid:160)(cid:138)¡$/ ! ! ! ! ,, ,, ,, ,, 012$!!" && !#"’’&&(( !! 5 && 7)75 )))))+’’&&(( !)7"37$* ’ ! !! 5 !! BCD5E76 && ))))& +’’&&(( !! 5 57 ’’ )557 ) 3 ) 4 ) *7 +& ’’&& && (( )557!/012$’!" ( ! ( {#{QQABQYCEogiAABIAARgCQQEiCgEQkACCAagGAFAUMAAASQNABAA=}#}