当前位置:首页>文档>清远一中2025-2026学年度10月期中考试地理试卷_2025年10月_251031广东省清远市第一中学2025-2026学年高三上学期10月期中

清远一中2025-2026学年度10月期中考试地理试卷_2025年10月_251031广东省清远市第一中学2025-2026学年高三上学期10月期中

  • 2026-03-22 08:54:46 2026-02-11 14:34:34

文档预览

清远一中2025-2026学年度10月期中考试地理试卷_2025年10月_251031广东省清远市第一中学2025-2026学年高三上学期10月期中
清远一中2025-2026学年度10月期中考试地理试卷_2025年10月_251031广东省清远市第一中学2025-2026学年高三上学期10月期中
清远一中2025-2026学年度10月期中考试地理试卷_2025年10月_251031广东省清远市第一中学2025-2026学年高三上学期10月期中
清远一中2025-2026学年度10月期中考试地理试卷_2025年10月_251031广东省清远市第一中学2025-2026学年高三上学期10月期中
清远一中2025-2026学年度10月期中考试地理试卷_2025年10月_251031广东省清远市第一中学2025-2026学年高三上学期10月期中
清远一中2025-2026学年度10月期中考试地理试卷_2025年10月_251031广东省清远市第一中学2025-2026学年高三上学期10月期中
清远一中2025-2026学年度10月期中考试地理试卷_2025年10月_251031广东省清远市第一中学2025-2026学年高三上学期10月期中
清远一中2025-2026学年度10月期中考试地理试卷_2025年10月_251031广东省清远市第一中学2025-2026学年高三上学期10月期中
清远一中2025-2026学年度10月期中考试地理试卷_2025年10月_251031广东省清远市第一中学2025-2026学年高三上学期10月期中
清远一中2025-2026学年度10月期中考试地理试卷_2025年10月_251031广东省清远市第一中学2025-2026学年高三上学期10月期中
清远一中2025-2026学年度10月期中考试地理试卷_2025年10月_251031广东省清远市第一中学2025-2026学年高三上学期10月期中
清远一中2025-2026学年度10月期中考试地理试卷_2025年10月_251031广东省清远市第一中学2025-2026学年高三上学期10月期中
清远一中2025-2026学年度10月期中考试地理试卷_2025年10月_251031广东省清远市第一中学2025-2026学年高三上学期10月期中
清远一中2025-2026学年度10月期中考试地理试卷_2025年10月_251031广东省清远市第一中学2025-2026学年高三上学期10月期中
清远一中2025-2026学年度10月期中考试地理试卷_2025年10月_251031广东省清远市第一中学2025-2026学年高三上学期10月期中
清远一中2025-2026学年度10月期中考试地理试卷_2025年10月_251031广东省清远市第一中学2025-2026学年高三上学期10月期中

文档信息

文档格式
docx
文档大小
2.841 MB
文档页数
12 页
上传时间
2026-02-11 14:34:34

文档内容

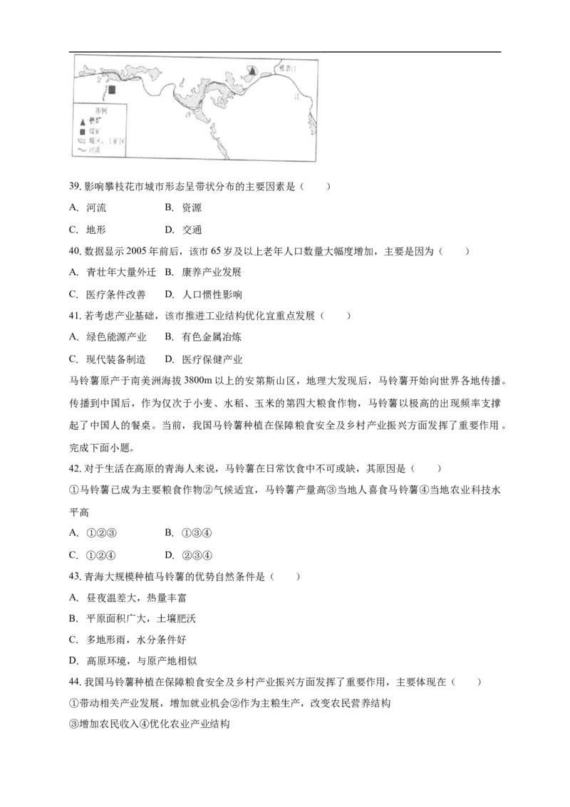
清远一中2025-2026学年度10月期中考试 地理试卷 一、选择题:本题共16题,每题3分,共48分。在每题给出的四个选项中,只有一 项是符合题目要求的。 台湾省地处我国东南边陲,是拱卫我国东南海疆的天然屏障,物产丰富。位于岛屿南部的垦丁国 家公园,植被以低矮灌木和草地为主,树木稀少且个头不高。下图为台湾地形与水系图以及垦丁 国家公园植被景观图。完成下面小题。 1.垦丁国家公园老龄树木稀少且个头不高,主要影响因素是( ) A. 热量 B. 降水 C. 风力 D. 土壤 2.台湾全岛降水较多,但西侧河流多季节性断流,主要原因有( ) ①产业活动用水的周期性②季风气候,降水变率大 ③位于背风坡,雨影效应显著④植被覆盖度低,涵养水源能力差 A. ①② B. ②③ C. ①④ D. ③④ 西关大屋是我国广州西关一带兴建的富有岭南特色的传统民居。某小说里有一段关于西关大屋的 描写:“水磨青砖高墙,学士门口。黑漆大门,酸枝趟栊,红木雕花矮门……”下图为“西关大 屋三重门示意图”。据此完成以下各题。3.西关大屋的外立面为青砖石脚,即正面外墙砌一层光滑的水磨青砖,并铺贴花岗岩墙裙和台阶。 铺设青砖石脚主要考虑的因素是( ) A. 地质 B. 气候 C. 成本 D. 地形 4.三重门中矮门的主要作用是( ) A. 防霉防潮,降低湿度 B. 防火和防盗,便于逃生 C. 夜晚时便于通风散热 D. 提高白天生活的隐秘性 大青山坐落在阴山山脉中段,是阴山山脉中山地森林、灌丛—草原镶嵌景观最为完好的一部分, 生物多样性丰富。下图为大青山地理位置及其垂直自然带示意图。据此完成下列小题。 5.大青山P坡的针阔叶混交林带分布上限海拔较低,其原因是P坡为( ) A. 阳坡,蒸发旺盛 B. 迎风坡,降水多 C. 阴坡,气温较低 D. 背风坡,降水少 6.大青山生物多样性丰富的原因可能是( ) ①垂直自然带谱较多②受人类活动干扰小③地处自然环境的过渡地带④水源充足 A. ①②③ B. ①②④ C. ①③④ D. ②③④ 7.大青山是横亘在内蒙古中西部的一道天然生态屏障,其生态意义体现在( ) ①矿产丰富②涵养水源③保持水土④防阻风沙 A. ①②③ B. ①③④ C. ②③④ D. ①②④ 土壤干层是位于多年平均降雨入渗深度以下,因土壤水分流失,形成的含水率低于10%的干燥化土 层。宁夏云雾山地处黄土高原腹地,当地自1980年代开始封山禁牧,自然植被逐步恢复,对土壤 干层产生了一定影响。下图示意云雾山放牧草地的土壤干层分布特征。读图,完成下面小题。8.云雾山放牧草地土壤水分的垂直分布特征的描述,正确的是( ) A. 图示深度范围,土壤含水量随深度加深先缓慢下降后迅速上升 B. 图示深度范围,越靠近地表,土壤含水量变化幅度越大 C. 140cm左右深度处土壤含水量达到最低 D. 100~500cm深度范围,随深度增加,土壤含水量持续增加 9.下列不属于云雾山黄土干层特征形成的自然原因是( ) A. 黄土高原气候较干旱,降水较少,蒸发旺盛 B. 植被稀疏,涵养水源能力弱,地下水埋藏浅 C. 土质疏松,土壤水分易下渗至土壤深层 D. 地形破碎,地表水易损失 10.恢复自然植被若干年后,推测云雾山草原土壤干层可能发生的变化是( ) A. 土壤干层持水能力减弱 B. 土壤干层厚度逐渐加厚 C. 土壤干层保水能力减弱 D. 土壤干层厚度逐渐变薄 蒙古国地处亚欧大陆内部。甲地位于蒙古国中东部一平坦河谷,植被覆盖率较高,但年输沙量很 大。下图为“甲地近地面一年中风沙流输沙量随高度变化的累积分布图”。据此完成以下各题。 11.甲地防控风沙流的关键高度是( ) A. 0~20 cm B. 21~40 cm C. 41~60 cm D. 61 cm以上 12.甲地防控风沙流的有效生态措施是大量种植( ) A. 灌木和乔木 B. 草本和灌木C. 草本和乔木 D. 藤本和水生 13.甲地植被覆盖率较高,但年输沙量很大,表明其( ) A. 气候极为干旱 B. 土壤表层含水量较大 C. 水土流失严重 D. 植物生长季与风沙季不一致 马铃薯原产于南美洲海拔3800m以上的安第斯山区,地理大发现后,马铃薯开始向世界各地传播。 传播到中国后,作为仅次于小麦、水稻、玉米的第四大粮食作物,马铃薯以极高的出现频率支撑 起了中国人的餐桌。当前,我国马铃薯种植在保障粮食安全及乡村产业振兴方面发挥了重要作用。 完成下面小题。 14.对于生活在高原的青海人来说,马铃薯在日常饮食中不可或缺,其原因是( ) ①马铃薯已成为主要粮食作物②气候适宜,马铃薯产量高③当地人喜食马铃薯④当地农业科技水 平高 A. ①②③ B. ①③④ C. ①②④ D. ②③④ 15.青海大规模种植马铃薯的优势自然条件是( ) A. 昼夜温差大,热量丰富 B. 平原面积广大,土壤肥沃 C. 多地形雨,水分条件好 D. 高原环境,与原产地相似 16.我国马铃薯种植在保障粮食安全及乡村产业振兴方面发挥了重要作用,主要体现在( ) ①带动相关产业发展,增加就业机会②作为主粮生产,改变农民营养结构③增加农民收入④优化 农业产业结构 A. ①②④ B. ①③④ C. ②③④ D. ①②③ 山东省菏泽市曹县地处鲁豫两省交界处。早在二十世纪八九十年代,在曹县就有村民以制作影楼 服饰为业。2013年起,曹县电商蓬勃发展。2018年曹县汉服产业开始零星生产,2020年迈入阔步 前进阶段,直至2024年汉服中的马面裙爆火,标志着汉服真正从小众领域转型为大众认可的服饰 目前,全县演出服占全国市场的80%以上,汉服占全国市场的40%以上。长久以来,曹县的马面裙 企业将重要原料提花布料的生产环节放在浙江等地,布料做好后运回,本地企业则负责裁剪、缝 纫、熨烫和包装环节。据此完成下面三题。 17. 与浙江和广东等地相比,菏泽市曹县汉服产业兴起的主要优势是( ) A. 地理位置优越 B. 生态环境优良 C. 产业基础较好 D. 劳动力丰富18. 2024年马面裙爆火给曹县汉服产业带来的不利影响主要是( ) A. 上游生产能力不足 B. 供应能力过剩 C. 本地劳动力不足 D. 市场价格上涨 19. 下列措施中有利于曹县汉服产业可持续发展的有( ) ①引进设计团队,培育品牌②举办汉服文化节,提升影响力 ③吸引浙江布料企业落户④以拓展线下市场为主 A. ①②③ B. ②③④ C. ①②④ D. ①③④ 吉林省梨树县的“梨树模式”是以玉米秸秆覆盖为核心,建立了秸秆覆盖、免耕播种、施肥、除 草、防病及收获全程机械化技术体系,减少土壤退化,有效保护了黑土层(如图)。据此完成下 面小题。 20.吉林省广泛推广“梨树模式”的主要目的是( ) A. 增加单位面积的产量 B. 减轻降水对土壤的侵蚀 C. 满足农民增收的需求 D. 抑制农田里杂草的生长 21.“梨树模式”中采用收获全程机械化技术体系的意义是( ) A. 提高农业生产规模 B. 提高农业生产效率 C. 提高农产品商品率 D. 增加黑土层的厚度 22.春季免耕机械在覆满秸秆的试验田间播种,这些特意保留的高茬,主要的作用是( ) A. 防风 B. 保肥 C. 保墒 D. 保土 方言是语言的地方变体。历史上,广东省是我国多次大规模南下移民的重要目的地,移民与当地 居民融合,形成了不同的方言区(下图)。据此完成下面两题。23.就广东省方言而言,其 ( ) A. 闽语区分布范围最广 B. 类型较为单一 C. 韶关语集中在平原区 D. 分布相互交错 24.客家语方言区内分布有许多中心城镇粤语岛,其形成的主要原因最可能为 ( ) A. 文化交流的需要 B. 居民爱好的差异 C. 行政干预的作用 D. 人口迁移的结果 地处湘黔交界武陵山脉中的锦屏县是我国著名的杉木之乡,锦屏杉木外观通直、纹理优美、蕴含 香气,自明朝初期开始供应京城修筑皇宫成为“皇木”。此后数百年吸引了外部林农大量涌入, 发展杉木产业。经过500多年的探索,因地制宜形成了“人工营林”、“杉粮间作”(幼杉空隙套 种农作物)的种植与管理系统。据此完成下面小题。 25.明初锦屏得以成为“皇木”采办基地,主要是因为当地杉木( ) ①产量少 ②品质优 ③知名度高 ④外运便利 A. ①③ B. ②④ C. ②③ D. ①④ 26.当地杉农发展“林粮间作”最初的目的是( ) A. 缓解粮食压力 B. 拓展收入来源 C. 减少杉木病害 D. 增加土壤肥力 27.锦屏县的杉木产业虽历经500多年,却依然“青山似锦、清水如屏”,反映了当地自然环境的 ( ) A. 供给服务功能强 B. 调节服务功能强C. 支撑服务功能强 D. 文化服务功能强 1973年,湖南长沙发掘了著名的马王堆汉墓,其中三号墓出土了帛绘古地图三幅(其中一幅为驻 军图),是目前世界上已知的最早通过实测的真正意义上的地图。驻军图主区为今湖南零陵地区 南部六县地域,海拔多在1500米以上。下图为驻军图略图。据此完成下面两题。 28.关于驻军图所在区域的自然环境描述正确的是( ) A. 地形以高原山地为主 B. 地势总体北高南低 C. 河流水位季节变化大 D. 夏季凉爽冬季温和 29.图中驻军指挥中心的选址原因最可能是( ) A. 地形平坦,便于军队驻扎 B. 交通便利,便于军令传达 C. 农业发达,便于军粮筹集 D. 河谷地区,便于军队隐蔽 20世纪90年代以来,西藏自治区以分批次、整村搬迁方式进行区内人口迁移,其中南部的林芝市 是主要迁入地之一。迁入的居民以少数民族为主,在迁入地组成新村落。下图示意西藏自治区区 内人口迁移主要方向。据此完成下面三题。30.西藏自治区以分批次、整村搬迁方式进行区内人口迁移,其主要目的是( ) A. 放缓人口增长速度 B. 均衡区域人口分布 C. 促进城乡产业融合 D. 推进生态环境建设 31.林芝市成为人口主要迁入地,主要得益于( ) A. 环境承载力高 B. 距离迁出地近 C. 人口分布较少 D. 民族构成多样 32.对于搬迁后的居民,当地政府最需要( ) A. 保持居民原生产方式 B. 提高当地城镇化水平 C. 解决居民的就业问题 D. 复原搬迁前生活环境 2018年8月18日前后,台风“温比亚”进入安徽境内,18日风速达到最大,在巢湖引起强烈的风 浪过程,同时对巢湖流域生产生活产生较大影响。下面图 1为巢湖水深分布,图2为台风过境时湖 面三个测站风速、风向变化。据此完成以下各题。 33.台风过境时下列四地中风浪最大的是( ) A. ① B. ② C. ③ D. ④ 34.台风“温比亚”对巢湖流域生产生活的影响是( ) ①缓解旱情 ②减轻酷暑 ③加重雾霾 ④诱发风暴潮 A. ①② B. ②③ C. ①④ D. ③④35.根据三个测站风速、风向变化可推测此次台风中心( ) A. 从北边由西向东掠过 B. 从南边由西向东掠过 C. 从北边由东向西掠过 D. 从南边由东向西掠过 三明某中学内(约25°30'N)教学楼间有两颗木棉树,树上有许多骨碎补(寄生植物),甲树 (高20米)的骨碎补比乙树(高30米)少。图左为校园植被分布示意图,图右为寄生骨碎补景观 图。完成下面小题。(注:tan40∘≈0.84,tan65∘≈2.14,Tan88°≈28.64) 36.甲树骨碎补比乙树少的主要原因( ) A. 光照 B. 水分 C. 热量 D. 养分 37.一年内正午树影最长时,乙树的树影顶部正好落在甲树树干地面处,两树距约( ) A. 14米 B. 23米 C. 34米 D. 52米 38.元旦,甲树树影运动方向及影子长短变化( ) A. 顺时针转,长-短-长 B. 顺时针转,短-长-短 C. 逆时针转,长-短-长 D. 逆时针转,短-长-短 四川省攀枝花市原为横断山脉腹地一个不知名的小乡村,1958年起因丰富的煤、铁等矿产资源而 备受瞩目,1965年开始建市,并逐步发展成为西南地区规模最大的钢铁生产基地。自2005年起, 攀枝花市持续推动工业转型升级,同时致力打造集“阳光花城”与“康养胜地”于一体的现代化 城市。下图为攀枝花市城区分布图。完成下面小题。39.影响攀枝花市城市形态呈带状分布的主要因素是( ) A. 河流 B. 资源 C. 地形 D. 交通 40.数据显示2005年前后,该市65岁及以上老年人口数量大幅度增加,主要是因为( ) A. 青壮年大量外迁 B. 康养产业发展 C. 医疗条件改善 D. 人口惯性影响 41.若考虑产业基础,该市推进工业结构优化宜重点发展( ) A. 绿色能源产业 B. 有色金属冶炼 C. 现代装备制造 D. 医疗保健产业 马铃薯原产于南美洲海拔3800m以上的安第斯山区,地理大发现后,马铃薯开始向世界各地传播。 传播到中国后,作为仅次于小麦、水稻、玉米的第四大粮食作物,马铃薯以极高的出现频率支撑 起了中国人的餐桌。当前,我国马铃薯种植在保障粮食安全及乡村产业振兴方面发挥了重要作用。 完成下面小题。 42.对于生活在高原的青海人来说,马铃薯在日常饮食中不可或缺,其原因是( ) ①马铃薯已成为主要粮食作物②气候适宜,马铃薯产量高③当地人喜食马铃薯④当地农业科技水 平高 A. ①②③ B. ①③④ C. ①②④ D. ②③④ 43.青海大规模种植马铃薯的优势自然条件是( ) A. 昼夜温差大,热量丰富 B. 平原面积广大,土壤肥沃 C. 多地形雨,水分条件好 D. 高原环境,与原产地相似 44.我国马铃薯种植在保障粮食安全及乡村产业振兴方面发挥了重要作用,主要体现在( ) ①带动相关产业发展,增加就业机会②作为主粮生产,改变农民营养结构 ③增加农民收入④优化农业产业结构A. ①②④ B. ①③④ C. ②③④ D. ①②③ 二、非选择题:本大题共3小题,共52分。 45.阅读图文材料,完成下列要求。 材料一 俄罗斯亚马尔半岛及周边的大陆架蕴藏着丰富的油气资源。目前我国已经参与俄北极地区 油气资源开发,开采的油气资源大部分借助北极航道用 LNG(液化天然气)运输船运输到江苏启 东港。 材料二 计划2024年开工的“西伯利亚力量2号”天然气管道有东西两条线路方案:西线计划从 亚马尔半岛出发,向南进入俄罗斯的阿尔泰山(世界遗产地),从新疆阿勒泰进入我国,接上西 气东输管道后,输向我国中东部。东线计划从亚马尔半岛向南到达伊尔库茨克,经由蒙古进入我 国。俄罗斯最终确定选择东线方案,如图为“西伯利亚力量2号”天然气管道线路图。 (1)从国家能源安全的角度,说明我国采用远洋和管道两种运输方式进口俄罗斯天然气的原因。 (2)分析俄罗斯最终确定“西伯利亚力量2号”东线方案的原因。 (3)简述“西伯利亚力量2号”天然气管道建成后,对我国的有利影响。 46.阅读图文材料,完成下列要求。 近年来,广州市积极探索城乡高质量融合发展阶段都市农业的模式,取得了一定成效。位于该市 从化区的“艾米稻香小镇”的共享农业模式使“城郊闲田”变身“共享农田”。小镇村民以土地 入股,托管给艾米集团经营,统一种植有机胚芽米。通过互联网定制化销售稻米产品,城市家庭 在线下单认购农田收获权,享受健康生态有机胚芽米。策划稻香音乐节、丰收节等艺术活动,发 展农耕体验、研学教育、稻草文化创意、娱乐休闲等多元功能。并与多所农科院校合作,采用人 工智能及5G技术打造生态智能农田。下图为广州城乡高质量融合发展阶段都市农业的发展路径示 意图。(1)休闲农业公园贯穿城市的中心城区、近郊区、远郊区,推测其在中心城区、远郊区的分布特 征。 (2)结合材料分析在中心城区发展立体农业的有利影响。 (3)根据材料概括艾米稻香小镇共享农业模式的创新性做法。 47.阅读图文资料,完成下列要求。 钴广泛应用于电池生产、电子产品等领域,需求量与日俱增。提炼钴的方法有“火炼法”和“湿 炼法”,火法冶炼通过高温熔炼、氧化还原、精炼等工序提取钴。湿法冶炼主要采用酸浸、萃取、 沉淀等化学方法提取钴,技术要求高。中国钴矿储量小,品位低。刚果(金)钴储量约占世界一 半,品位高,早期提炼钴多使用火炼法,现逐渐转向湿炼法。近年来,中国与刚果(金)合作开 采钴矿。下图示意刚果(金)地理位置。 (1)从气候角度说明中国企业在刚果(金)开采钴矿的不利条件。 (2)分析在刚果(金)提炼钴现逐渐转向湿炼法的主要原因。 (3)从资源安全的角度说明中国企业投资刚果(金)钴矿开采的理由。