当前位置:首页>文档>甘肃省西北师范大学附属中学2025届高三上学期一模诊断考试地理_2025年1月_250107甘肃省西北师范大学附属中学2025届高三上学期一模诊断考试(全科)

甘肃省西北师范大学附属中学2025届高三上学期一模诊断考试地理_2025年1月_250107甘肃省西北师范大学附属中学2025届高三上学期一模诊断考试(全科)

  • 2026-04-10 07:14:33 2026-02-11 16:41:16

文档预览

甘肃省西北师范大学附属中学2025届高三上学期一模诊断考试地理_2025年1月_250107甘肃省西北师范大学附属中学2025届高三上学期一模诊断考试(全科)
甘肃省西北师范大学附属中学2025届高三上学期一模诊断考试地理_2025年1月_250107甘肃省西北师范大学附属中学2025届高三上学期一模诊断考试(全科)
甘肃省西北师范大学附属中学2025届高三上学期一模诊断考试地理_2025年1月_250107甘肃省西北师范大学附属中学2025届高三上学期一模诊断考试(全科)
甘肃省西北师范大学附属中学2025届高三上学期一模诊断考试地理_2025年1月_250107甘肃省西北师范大学附属中学2025届高三上学期一模诊断考试(全科)
甘肃省西北师范大学附属中学2025届高三上学期一模诊断考试地理_2025年1月_250107甘肃省西北师范大学附属中学2025届高三上学期一模诊断考试(全科)
甘肃省西北师范大学附属中学2025届高三上学期一模诊断考试地理_2025年1月_250107甘肃省西北师范大学附属中学2025届高三上学期一模诊断考试(全科)
甘肃省西北师范大学附属中学2025届高三上学期一模诊断考试地理_2025年1月_250107甘肃省西北师范大学附属中学2025届高三上学期一模诊断考试(全科)
甘肃省西北师范大学附属中学2025届高三上学期一模诊断考试地理_2025年1月_250107甘肃省西北师范大学附属中学2025届高三上学期一模诊断考试(全科)
甘肃省西北师范大学附属中学2025届高三上学期一模诊断考试地理_2025年1月_250107甘肃省西北师范大学附属中学2025届高三上学期一模诊断考试(全科)
甘肃省西北师范大学附属中学2025届高三上学期一模诊断考试地理_2025年1月_250107甘肃省西北师范大学附属中学2025届高三上学期一模诊断考试(全科)
甘肃省西北师范大学附属中学2025届高三上学期一模诊断考试地理_2025年1月_250107甘肃省西北师范大学附属中学2025届高三上学期一模诊断考试(全科)

文档信息

文档格式
docx
文档大小
19.044 MB
文档页数
7 页
上传时间
2026-02-11 16:41:16

文档内容

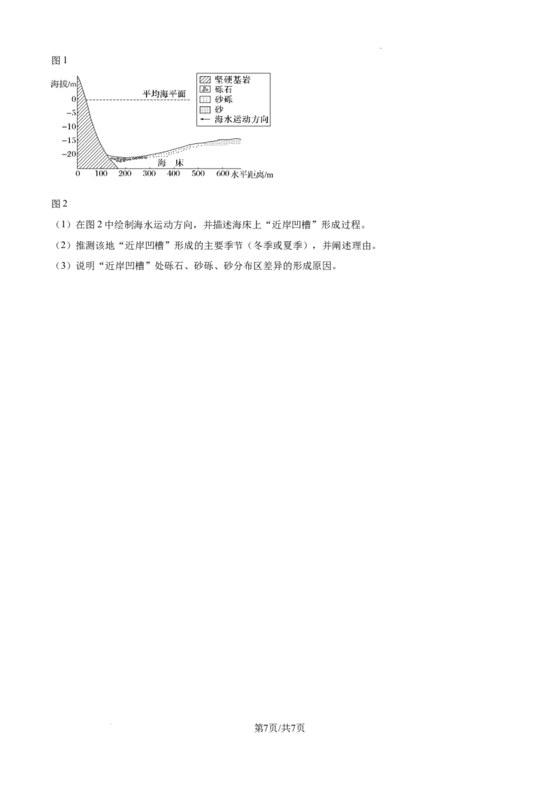
绝密★启用前 2024 年甘肃省西北师大附中高三一模诊断考试试卷 地理 本试卷满分100分,考试时间75分钟 注意事项: 1.答卷前,考生务必将自己的姓名、准考证号填写在答题卡上。 2.回答选择题时,选出每小题答案后,用2B铅笔把答题卡上对应题目的答案标号框涂黑。如 需改动,用橡皮擦干净后,再选涂其它答案标号框。回答非选择题时,将答案写在答题卡上。 写在本试卷上无效。 3.考试结束后,将本试卷和答题卡一并交回。 一、选择题(本题共16小题,每小题3分,共48分。在每小题给出的四个选项中,只有一 项是符合题目要求的。) 徽派建筑以木架构为主,是当地人民用砖、木、石为原料建造而成,构思精巧。徽派建筑最有特色的 是马头墙,马头墙一般建在两户之间,高出屋顶1~2米。下图分别示意徽派建筑景观及马头墙造型。据此 完成下面小题。 1. 典型徽派建筑所在区域( ) A. 地形崎岖,多溶洞和地下暗河 B. 属温带季风气候,降水季节变化大 为 C. 河流夏季径流量较大,有结冰期 D. 红壤发育,植被以常绿阔叶林 主 2. 马头墙最主要的功能是( ) A. 祈福 B. 防风 C. 防火 D. 防水 下表为亚欧大陆40°N~50°N四地1月和7月降水距平值(该地降水量与同纬度平均降水之差)和气 温距平值(该地气温与同纬度平均气温之差)。据此完成下面小题。 ① ② ③ ④ 第1页/共7页 学科网(北京)股份有限公司1月(℃) 12 -10 3 -3 7月(℃) -2 5 1 7 1月(mm) 27 -30 43 -30 7月(mm) 20 120 -37 -40 3. 四地中沙漠化现象最严重的是( ) A. ① B. ② C. ③ D. ④ 4. 上述四地中,自然带类型相同的是( ) A. ①② B. ②③ C. ③④ D. ①④ 日本东京都市圈是以首都东京为中心的巨型都市圈,其实际范围包括东京都、神奈川县、千叶县、掎 玉县等。1950年起,东京都市圈将城市轨道交通线由中心城逐步向外延伸至卫星城、远郊区,促使不同圈 层的人口发生变动。下图示意1955~2005年东京都市圈不同圈层五年人口增长率的变化情况。据此完成下 面小题。 5. 东京都市圈将城市轨道交通线由中心城向外延伸的主要目的是( ) A. 疏解中心城的城市职能 B. 增加卫星城的就业机会 C. 提高远郊区的环境质量 D. 促进都市圈逆城市化进程 6. 上图中,与1995~2005年东京都市圈人口流动状况最相符的是( ) 第2页/共7页 学科网(北京)股份有限公司A. A B. B C. C D. D 第二居所是指在常住地之外的地区拥有产权或长期租赁用以休闲、度假、养老等生活目的的临时性居 所。第二居所旅居者作为一种周期性居民,很难与当地居民产生持久的能称之为融合的社会互动,并刻意 与当地居民保持适当距离,导致了“外地人”与“本地人”的对视。因此,从长期发展来看,需要政府、 社区组织这些利益相关者参与其中,从而促进旅居地可持续发展。下图示意第二居所旅居地和谐社区发展 模式。据此完成下面小题。 7. 第二居所的出现,将使旅居地( ) A. 房价持续提高 B. 就业压力增大 C. 环境压力加大 D. 人才数量增多 8. 在第二居所区,形成了“外地人”与“本地人”的对视的根本原因是( ) A. 居住时间差异 B. 消费水平差异 C. 出行方式差异 D. 地域文化差异 9. 在构建和谐社区发展模式中,发挥重要中介作用的是( ) A. 政府 B. 社区居委会 C. 旅居者 D. 当地居民 浙江南部山区水稻种植历史悠久,一年种植两季水稻。通济堰工程是该地古老的水利工程,至今仍发 挥着引河水灌溉的功能。该工程主要由堤坝、进水闸、排沙门、引水桥、水渠等组成。堤坝高仅2.5米, 呈拱形,使河水受坝体冲击后被引向河岸。维护水渠功能的首要任务是排沙防淤。下图示意通济堰水利工 程。据此完成下面小题。 第3页/共7页 学科网(北京)股份有限公司10. 图示水渠中的水大致( ) A. 自西北流向东南 B. 自西南流向东北 C. 自东南流向西北 D. 自东北流向西南 11. 该地引水灌溉的旺季及原因是( ) A. 7月早稻播种季节,需水量大 B. 7月受副高控制,天气干旱 . C 12月晚稻播种季节,需水量大 D. 12月受冷锋控制,降水稀少 12. 与②处相比,选择在堤坝①处设置排沙门的原因是( ) A. 工程量小,成本相对低 B. 靠近进水闸,减少泥沙进入水渠 C. 靠近岸边,泥沙含量小 D. 水流冲击小,对排沙门磨损较小 针叶樱桃是一种常绿灌木,果实饱满多汁,果皮薄而易破,富含维生素C,一年可结果3~4次,生长 期需要保持6小时以上的阳光照射,温度维持在25℃~27℃之间,不能有太大的变化。巴西境内的彼得罗 利纳(砂质土壤区是针叶樱桃的黄金产地)。针叶樱桃的采摘期只有18天,每到果实成熟之时,果农必须 手工采摘,而采来的果实如果经过太阳光暴晒,维生素C就会大量损失。据此完成下面小题。 13. 推测彼得罗利纳的降水特点是( ) A. 降水量较多,降水季节分配均匀 B. 降水量较多,雨季和旱季分明 第4页/共7页 学科网(北京)股份有限公司C. 降水量较少,降水季节分配均匀 D. 降水量较少,干季和湿季分明 的 14. 彼得罗利纳针叶樱桃价格高 主要原因有( ) ①适宜种植的地区少②劳动力成本高③鲜果保存运输不便④年产量低 A. ①② B. ②④ C. ②③ D. ①③ 谷雨(4月20日)节气时,当甲地日出时,乙地刚好正值日落时分,11个小时后,甲地日落,发现乙 地刚好日出。完成下面小题。 15. 甲、乙两地是( ) A. 关于赤道的对称点 B. 关于地心的对称点 C. 关于0°经线的对称点 D. 关于地方时12时经线的对称点 的 16. 从谷雨到芒种节气(6月5日),甲乙两地 昼夜的变化为( ) A. 甲地昼渐长,乙地昼变短 B. 甲、乙地昼长均保持不变 C. 甲地昼渐短,乙地昼变长 D. 甲、乙地昼长都逐渐变长 二、非选择题(本题共3小题,共52分。) 17. 阅读图文材料,完成下列要求。 随着“走出去”战略的进一步实施,多年来中国的境外经贸合作区的建设取得很大进步,众多企业纷 纷抱团出海,以集群式的发展向海外投资设立境外经贸合作区。中国企业利用“一带一路”倡议这个大平 台,在匈牙利投资建立境外经贸合作区,一方面可以带动匈牙利的发展,另一方面可以促进中东欧地区的 发展,乃至辐射至整个欧洲地区。下图示意中匈经贸合作区区位。 第5页/共7页 学科网(北京)股份有限公司(1)分析图中河流对中匈经贸合作区的作用。 (2)分析大量企业入驻对中匈经贸合作区地区的有利影响。 (3)指出中匈经贸合作区对入驻企业员工进行培养训练应采取的措施。 18. 阅读图文材料,完成下列要求。 吐鲁番位于新疆中部的低洼盆地,是中国主要的葡萄生产基地。每年11月份,果农们会在葡萄地里挖 出一条条长沟,在葡萄藤上铺一层纱网后再掩埋,即埋墩。来年3月回暖时,再将葡萄藤挖出来,重新搭 上葡萄架,也就是开墩。近年来,吐鲁番市把农业机械化作为加快推进葡萄产业发展的重要举措,在埋墩、 开墩、采摘等环节取得了一定成效。图为机械化埋墩示意图。 (1)指出吐鲁番果农在葡萄藤上铺纱网的主要作用。 的 (2)评价当地气温对葡萄生长 影响。 (3)分析吐鲁番市葡萄种植与管理过程中推广机械化的原因。 19. 阅读图文材料,回答下列问题。 海水(或海浪)对区域的侵蚀或沉积,主要与其速度相关。山东芝罘岛由坚硬基岩构成,海岸陡峭。 在岛屿西端的砾石、砂砾、砂大小混杂分布的近岸平坦海床上,形成了典型的水下“近岸凹槽”地貌。受 海水侵蚀与沉积影响,海床的表层物质不再混杂分布,离岸由近及远,海底表层物质颗粒依次主要为砾石、 砂砾、砂。图1为芝罘岛位置示意图,图2为芝罘岛西端近岸凹槽剖面示意图。 第6页/共7页 学科网(北京)股份有限公司图1 图2 (1)在图2中绘制海水运动方向,并描述海床上“近岸凹槽”形成过程。 (2)推测该地“近岸凹槽”形成的主要季节(冬季或夏季),并阐述理由。 (3)说明“近岸凹槽”处砾石、砂砾、砂分布区差异的形成原因。 第7页/共7页 学科网(北京)股份有限公司