当前位置:首页>文档>化学(湖南卷)(参考答案)_2023高考押题卷_学易金卷-2023学科网押题卷(各科各版本)_2023学科网押题卷-学易金卷-化学_化学(湖南卷)-学易金卷:2023年高考考前押题密卷

化学(湖南卷)(参考答案)_2023高考押题卷_学易金卷-2023学科网押题卷(各科各版本)_2023学科网押题卷-学易金卷-化学_化学(湖南卷)-学易金卷:2023年高考考前押题密卷

  • 2026-04-26 01:08:30 2026-02-12 00:16:00

文档预览

化学(湖南卷)(参考答案)_2023高考押题卷_学易金卷-2023学科网押题卷(各科各版本)_2023学科网押题卷-学易金卷-化学_化学(湖南卷)-学易金卷:2023年高考考前押题密卷
化学(湖南卷)(参考答案)_2023高考押题卷_学易金卷-2023学科网押题卷(各科各版本)_2023学科网押题卷-学易金卷-化学_化学(湖南卷)-学易金卷:2023年高考考前押题密卷
化学(湖南卷)(参考答案)_2023高考押题卷_学易金卷-2023学科网押题卷(各科各版本)_2023学科网押题卷-学易金卷-化学_化学(湖南卷)-学易金卷:2023年高考考前押题密卷
化学(湖南卷)(参考答案)_2023高考押题卷_学易金卷-2023学科网押题卷(各科各版本)_2023学科网押题卷-学易金卷-化学_化学(湖南卷)-学易金卷:2023年高考考前押题密卷
化学(湖南卷)(参考答案)_2023高考押题卷_学易金卷-2023学科网押题卷(各科各版本)_2023学科网押题卷-学易金卷-化学_化学(湖南卷)-学易金卷:2023年高考考前押题密卷
化学(湖南卷)(参考答案)_2023高考押题卷_学易金卷-2023学科网押题卷(各科各版本)_2023学科网押题卷-学易金卷-化学_化学(湖南卷)-学易金卷:2023年高考考前押题密卷

文档信息

文档格式
docx
文档大小
0.281 MB
文档页数
3 页
上传时间
2026-02-12 00:16:00

文档内容

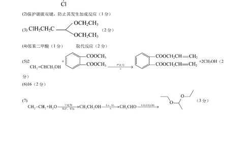
2023 年高考考前押题密卷(湖南卷) 化学·参考答案 一、选择题:本题共 14小题,每小题3分,共42分。在每小题给出的四个选项中,只有一 项是符合题目要求的。 1 2 3 4 5 6 7 8 9 10 11 12 13 14 B D B C C B B B D D B B C D 二、非选择题:本题共4小题,共58分。 15.(14分) 【答案】(1)吸收多余的Cl,用于尾气处理,同时可以防止空气中的水蒸气进入收集器中,防止FeCl 水解 2 3 变质(2分) (2)U形干燥管(1分) b→c→d→e(2分) (3)MnO +4H++2Cl- Mn2+++Cl ↑+2H O(2分) 2 2 2 (4)1(1分) (5)>(1分) 不是(1分) Cu2++Fe2++SCN-=CuSCN↓+Fe3+(2分) (6) (2分) 16.(14分) 【答案】(1)CO (g)+2H(g) HCHO(g)+ H O(g)(2分) 2 2 2 (2)+31.21kJ·mol-1(2分)微信搜索“高中试卷君”公众号 领取押题卷联考卷 (3) ①C(2分) ② (2分) ③ii(1分) 随温度升高,二氧化碳的转化率升高, 但HCOOH的选择性却迅速下降(2分) (4) HCOO*(2分) Bi/CeO(1分) 2 17.(15分) 【答案】(1) (2分) (2) (2分) 将 、 全部转化为 、 而除去(2 分) (3) 1∶1(2分) 萃取产生 ,随pH的升高 被消耗,促进萃取金属离子的平衡正向移动(2分) (4) (2分) 学科网(北京)股份有限公司(5)消耗20.00 mL KSCN溶液,硫氰化钾的物质的量为0.5 molL×20.00×10-3L=0.01mol,则与氯化钴反应的 硝酸银的物质的量为0.03-0.01=0.02mol,则25mL溶液中氯化钴的物质的量为0.01mol,氯化钴的质量为 ⋅ 1.3g,则100mL溶液中氯化钴的质量为 ,该粗产品中 的质量分数为 (3分) 18.(15分) 【答案】(1) (2分) (2)保护碳碳双键,防止其发生加成反应(1分) (3) (2分) (4)邻苯二甲酸(1分) 取代反应(2分) (5)2 + +2CH OH(2 3 分) (6)16(2分) (7) (3分) 学科网(北京)股份有限公司学科网(北京)股份有限公司