文档
办公文件
生活文档
学习资料
当前位置:
首页
>
文档
>2024届山东省淄博市高三下学期一模考试化学答案(1)_2024年3月_013月合集_2024届山东省淄博市高三下学期一模考试(全科)
2024届山东省淄博市高三下学期一模考试化学答案(1)_2024年3月_013月合集_2024届山东省淄博市高三下学期一模考试(全科)
2026-03-08 01:46:05
2026-02-13 06:23:25
文档预览
文档信息
文档格式
pdf
文档大小
0.699 MB
文档页数
2 页
上传时间
2026-02-13 06:23:25
下载文档
文档内容
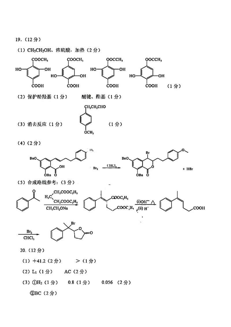
{#{QQABAYAQggAAAAAAAAgCUwVaCEMQkAGCCIoGwEAEIAAByRFABAA=}#}{#{QQABAYAQggAAAAAAAAgCUwVaCEMQkAGCCIoGwEAEIAAByRFABAA=}#}
本文档来自网络内容,如有侵犯您的权益请联系我们删除,联系邮箱:wyl860211@qq.com。
上一篇
2024届山东省淄博市高三下学期一模考试化学(1)_2024年3月_013月合集_2024届山东省淄博市高三下学期一模考试(全科)
下一篇
河南省豫北名校2023-2024学年高三毕业班一轮复习新高考英语联考试卷(二)(1)_2023年10月_0210月合集_2024届百师联盟高三一轮复习联考(二)(新教材)
最新文档
精品解析:北京市北京师范大学亚太实验学校2021-2022学年七年级上学期期中数学试题(解析版)(1)_北京初中期末题_C605-京七八九_B京市数学七八九_北京7上数学_2021-2022
精品解析:北京市北京师范大学亚太实验学校2021-2022学年七年级上学期期中数学试题(原卷版)(1)_北京初中期末题_C605-京七八九_B京市数学七八九_北京7上数学_2021-2022
精品解析:北京市北京市西城区北京师范大学附属实验中学2023-2024学年八年级下学期开学考数学试题(解析版)(1)_北京初中期末题_C605-京七八九_B京市数学七八九_北京数学八下_2023-2024
精品解析:北京市北京市西城区北京师范大学附属实验中学2023-2024学年八年级下学期开学考数学试题(原卷版)(1)_北京初中期末题_C605-京七八九_B京市数学七八九_北京数学八下_2023-2024
精品解析:北京市北京市东城区2022-2023学年八年级上学期期末物理试题(解析版)(1)_北京初中期末题_C605-京七八九_B京物理八九_物理_八年级上学期物理_2022-2023
广东省东莞市七校联考2024-2025学年高三上学期12月月考政治答案_A1502026各地模拟卷(超值!)_12月_241219广东省东莞市七校联考2024-2025学年高三上学期12月月考试题
精品解析:北京市北京市东城区2022-2023学年八年级上学期期末物理试题(原卷版)(1)_北京初中期末题_C605-京七八九_B京物理八九_物理_八年级上学期物理_2022-2023
广东省东莞市七校联考2024-2025学年高三上学期12月月考政治_A1502026各地模拟卷(超值!)_12月_241219广东省东莞市七校联考2024-2025学年高三上学期12月月考试题
精品解析:北京市北京大学附属中学石景山学校2023-2024学年九年级下学期月考数学试题(解析版)(1)_北京初中期末题_C605-京七八九_B京市数学七八九_北京9下数学(含中考模拟)
广东省东莞市七校联考2024-2025学年高三上学期12月月考地理答案_A1502026各地模拟卷(超值!)_12月_241219广东省东莞市七校联考2024-2025学年高三上学期12月月考试题
热门文档
精品解析:北京市北京大学附属中学石景山学校2023-2024学年九年级下学期月考数学试题(原卷版)(1)_北京初中期末题_C605-京七八九_B京市数学七八九_北京9下数学(含中考模拟)
广东省东莞市七校联考2024-2025学年高三上学期12月月考历史答案_A1502026各地模拟卷(超值!)_12月_241219广东省东莞市七校联考2024-2025学年高三上学期12月月考试题
精品解析:北京市北京大学附属中学2022-2023学年八年级上学期期中英语试题(解析版)(1)_北京初中期末题_C605-京七八九_B京英语七八九_北京8上英语_2022-2023
广东省上进联考2024-2025学年高三上学期10月月考地理+答案_A1502026各地模拟卷(超值!)_10月_241007广东省上进教育(稳派联考)2024-2025学年高三上学期10月月考
精品解析:北京市北京大学附属中学2022-2023学年八年级上学期期中英语试题(原卷版)(1)_北京初中期末题_C605-京七八九_B京英语七八九_北京8上英语_2022-2023
精品解析:北京市北京大学附属中学2022-2023学年九年级上学期11月月考数学试卷(解析版)(1)_北京初中期末题_C605-京七八九_B京市数学七八九_北京9上数学_2022-2023
2023届吉林省通化市梅河口市第五中学高三(火箭班)二模语文试题公众号:一枚试卷君_1.2025语文总复习_2023年新高考资料_模拟题_老高考
精品解析:北京市北京大学附属中学2022-2023学年九年级上学期11月月考数学试卷(原卷版)(1)_北京初中期末题_C605-京七八九_B京市数学七八九_北京9上数学_2022-2023
精品解析:北京市北京大学附属中学2021-2022学年八年级上学期期中英语试题(解析版)(1)_北京初中期末题_C605-京七八九_B京英语七八九_北京8上英语_2021-2022
精品解析:北京市北京大学附属中学2021-2022学年八年级上学期期中英语试题(原卷版)(1)_北京初中期末题_C605-京七八九_B京英语七八九_北京8上英语_2021-2022
随机文档
精品解析:北京市北京大学附属中学2021-2022学年九年级上学期月考数学试题(解析版)(1)_北京初中期末题_C605-京七八九_B京市数学七八九_北京9上数学_2023-2024_北京数学9上月考
精品解析:北京市北京大学附属中学2021-2022学年九年级上学期月考数学试题(原卷版)(1)_北京初中期末题_C605-京七八九_B京市数学七八九_北京9上数学_2023-2024_北京数学9上月考
精品解析:北京市北京大学附属中学2020-2021学年八年级上学期期中英语试题(解析版)(1)_北京初中期末题_C605-京七八九_B京英语七八九_北京8上英语_2020-2021
精品解析:北京市北京大学附属中学2020-2021学年八年级上学期期中英语试题(原卷版)(1)_北京初中期末题_C605-京七八九_B京英语七八九_北京8上英语_2020-2021
精品解析:北京市北京大学附中学2022-2023学年七年级上学期月考数学试题(解析版)(1)_北京初中期末题_C605-京七八九_B京市数学七八九_北京7上数学_2023-2024_北京数学7上月考
精品解析:北京市北京大学附中学2022-2023学年七年级上学期月考数学试题(原卷版)(1)_北京初中期末题_C605-京七八九_B京市数学七八九_北京7上数学_2023-2024_北京数学7上月考
精品解析:北京市北京四中2020-2021学年九年级上学期期中道德与法治试题(解析版)(1)_北京初中期末题_C605-京七八九_B京市道德与法治七八九_道法_北京9上道法_2020-2021
精品解析:北京市北京四中2020-2021学年九年级上学期期中道德与法治试题(原卷版)(1)_北京初中期末题_C605-京七八九_B京市道德与法治七八九_道法_北京9上道法_2020-2021
精品解析:北京市北京四中2019-2020学年九年级上学期期中英语试题(解析版)(1)_北京初中期末题_C605-京七八九_B京英语七八九_北京英语九上_2019-2020
精品解析:北京市北京四中2019-2020学年九年级上学期期中英语试题(原卷版)(1)_北京初中期末题_C605-京七八九_B京英语七八九_北京英语九上_2019-2020