当前位置:首页>文档>精品解析:贵州省遵义市2023-2024学年高三上学期第一次质量监测地理试题(解析版)(1)_2023年10月_0210月合集_2024届贵州省遵义市高三上学期第一次市质量监测

精品解析:贵州省遵义市2023-2024学年高三上学期第一次质量监测地理试题(解析版)(1)_2023年10月_0210月合集_2024届贵州省遵义市高三上学期第一次市质量监测

  • 2026-05-10 18:15:49 2026-02-13 13:25:34

文档预览

精品解析:贵州省遵义市2023-2024学年高三上学期第一次质量监测地理试题(解析版)(1)_2023年10月_0210月合集_2024届贵州省遵义市高三上学期第一次市质量监测
精品解析:贵州省遵义市2023-2024学年高三上学期第一次质量监测地理试题(解析版)(1)_2023年10月_0210月合集_2024届贵州省遵义市高三上学期第一次市质量监测
精品解析:贵州省遵义市2023-2024学年高三上学期第一次质量监测地理试题(解析版)(1)_2023年10月_0210月合集_2024届贵州省遵义市高三上学期第一次市质量监测
精品解析:贵州省遵义市2023-2024学年高三上学期第一次质量监测地理试题(解析版)(1)_2023年10月_0210月合集_2024届贵州省遵义市高三上学期第一次市质量监测
精品解析:贵州省遵义市2023-2024学年高三上学期第一次质量监测地理试题(解析版)(1)_2023年10月_0210月合集_2024届贵州省遵义市高三上学期第一次市质量监测
精品解析:贵州省遵义市2023-2024学年高三上学期第一次质量监测地理试题(解析版)(1)_2023年10月_0210月合集_2024届贵州省遵义市高三上学期第一次市质量监测
精品解析:贵州省遵义市2023-2024学年高三上学期第一次质量监测地理试题(解析版)(1)_2023年10月_0210月合集_2024届贵州省遵义市高三上学期第一次市质量监测
精品解析:贵州省遵义市2023-2024学年高三上学期第一次质量监测地理试题(解析版)(1)_2023年10月_0210月合集_2024届贵州省遵义市高三上学期第一次市质量监测
精品解析:贵州省遵义市2023-2024学年高三上学期第一次质量监测地理试题(解析版)(1)_2023年10月_0210月合集_2024届贵州省遵义市高三上学期第一次市质量监测
精品解析:贵州省遵义市2023-2024学年高三上学期第一次质量监测地理试题(解析版)(1)_2023年10月_0210月合集_2024届贵州省遵义市高三上学期第一次市质量监测
精品解析:贵州省遵义市2023-2024学年高三上学期第一次质量监测地理试题(解析版)(1)_2023年10月_0210月合集_2024届贵州省遵义市高三上学期第一次市质量监测
精品解析:贵州省遵义市2023-2024学年高三上学期第一次质量监测地理试题(解析版)(1)_2023年10月_0210月合集_2024届贵州省遵义市高三上学期第一次市质量监测
精品解析:贵州省遵义市2023-2024学年高三上学期第一次质量监测地理试题(解析版)(1)_2023年10月_0210月合集_2024届贵州省遵义市高三上学期第一次市质量监测
精品解析:贵州省遵义市2023-2024学年高三上学期第一次质量监测地理试题(解析版)(1)_2023年10月_0210月合集_2024届贵州省遵义市高三上学期第一次市质量监测
精品解析:贵州省遵义市2023-2024学年高三上学期第一次质量监测地理试题(解析版)(1)_2023年10月_0210月合集_2024届贵州省遵义市高三上学期第一次市质量监测
精品解析:贵州省遵义市2023-2024学年高三上学期第一次质量监测地理试题(解析版)(1)_2023年10月_0210月合集_2024届贵州省遵义市高三上学期第一次市质量监测

文档信息

文档格式
docx
文档大小
4.214 MB
文档页数
12 页
上传时间
2026-02-13 13:25:34

文档内容

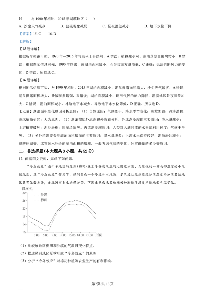
遵义市 2024 届高三第一次质量监测统考试卷 地理 (满分:100分,时间:75分钟) 注意事项: 1.考试开始前,请用黑色签字笔将答题卡上的姓名,班级,考号填写清楚,并在相应位置粘 贴条形码。 2.选择题答题时,请用2B铅笔答题,若需改动,请用橡皮轻轻擦拭干净后再选涂其它选项; 非选择题答题时,请用黑色签字笔在答题卡相应的位置答题;在规定区域以外的答题不给分; 在试卷上作答无效。 一、单项选择题(本大题共16小题,每小题3分,共48分) 遗产廊道是拥有特殊文化资源集合的线性景观,通常由节点、廊道空间、廊道外延空间三个部分组成。 随着高速铁路的普及和城市转型发展,我国城市废旧铁路不断增多,已严重影响城市管理和发展。下图示 意城市废旧铁路廊道空间结构模式。据此完成下面小题。 1. 废旧铁路对城市发展的影响是( ) A. 分隔城市空间 B. 减轻环境污染 C. 扩大城市范围 D. 缓解交通拥堵 2. 节点空间最可能位于( ) A. 中心商务区 B. 十字路口 C. 老火车站 D. 公交车站 3. 发展铁路廊道空间的合理措施有( ) ①拆除废旧铁轨拓展廊道空间②节点空间成立主题文化展览馆 ③廊道空间打造休闲活动场所④外延空间修建隔离带分隔城区 A. ①② B. ②③ C. ③④ D. ①④ 【答案】1. A 2. C 3. B 【解析】 第1页/共13页 学科网(北京)股份有限公司【1题详解】 随着城市规模的扩大,往往废旧铁路穿城而过,造成对城市交通的阻隔,分隔城市空间,A正确;废旧铁 路会带来环境污染加重、交通拥堵,BD错误;废旧铁路本身不会扩大城市范围,C错误。故选A。 【2题详解】 铁路的节点应是火车站,故废旧铁路的节点为老火车站,C正确,排除ABD。故选C。 【3题详解】 遗产廊道依赖废旧铁路存在,一旦拆除,廊道空间将不存在,修建隔离带将会进一步增加交通拥堵,分隔 城市空间,不利城市发展,故①④不是发展的合理措施;节点空间成立主题文化展览馆有利于发展旅游业, 廊道空间打造休闲活动场所有利于城市文化和旅游等发展,故②③是发展的合理措施。故选B。 【点睛】铁路的诞生、发展与衰落和城市的发展相互交织,英美两国的铁路与城市发展之间的关系都经历 了从“铁路引导城市发展”到“废弃铁路引导城市再生”的过程,也让我们由此认识到铁路对于城市发展 的不同阶段有着不同的多元价值。全面理解城市废弃铁路的价值,需要从多重视角思考作为资源的废弃铁 路如何促进城市再生,探讨废弃铁路可持续再生的多元途径。 我国某公司在埃及按照“上下游产业链完整、关联产业配套齐全”的总体思路布局,逐步形成纺纱、 织布、印染、成衣制造、绣花、印花、辅料、鞋帽等生产及贸易,仓储物流、电子商务等关联产业(培训、 医疗、金融、会展、酒店、办公、研发等)融合发展的产业格局,建成产业聚集的新型现代化产业园区。 据此完成下面小题。 4. 纺纱、织布、印染、成衣制造等企业在产业园区集聚,有利于( ) ①产生规模效益②提高品牌效益 ③降低生产成本④加强企业联系 A. ①② B. ①③ C. ②④ D. ③④ 5. 该公司在产业园中设置培训部门的主要目的是( ) A. 降低生产成本 B. 培养技术人才 C. 提高人口素质 D. 促进教育发展 6. 该公司在产业园中配备仓储物流的作用主要是( ) A. 共享基础设施 B. 完善产业结构 C. 丰富生产类型 D. 及时响应市场 【答案】4. D 5. B 6. D 【解析】 【4题详解】 由所学知识可知,产业集聚可加强企业间 的联系,共用基础设施,节省基础设施建设投资,降低生产 成本,提高产品竞争力,③④正确;纺纱、织布、印染、成衣制造等企业在产业园区集聚,可以完善上下 第2页/共13页 学科网(北京)股份有限公司游产业链,提高生产效率,并没有扩大这些企业的生产规模,没有产生规模效益,①错误;提高品牌效应 包括以下几个方面,如加强品牌宣传、提升产品品质、提升服务质量、建立和完善品牌形象等,纺纱、织 布、印染、成衣制造等企业在产业园区集聚难以提高品牌效益,②错误。综上,D正确,ABC错误。故选 D。 【5题详解】 员工的素质决定着企业的素质,拥有高素质的人才,才可能谈得上持续发展。通过培训,可以使新员工融 入到企业的文化之中,可以使老员工补充新知识新技能,跟上企业发展的步伐,培训使企业人力资本整体 增值的同时,也增加了企业自身的价值,综上,该公司在产业园中设置培训部门的主要目的是培养技术人 才,B正确;员工培训需要投入较多的资金和人力,会增加生产成本,A错误;人口素质包括人口总体的思 想道德素质、科学文化技术素质和身体素质,该公司在产业园中设置培训部门主要是培养技术人才,没有 提高人口整体素质,C错误;教育狭义上指专门组织的学校教育,广义上指影响人的身心发展的社会实践 活动,该公司在产业园中设置培训部门培养技术人才不能促进教育发展,D错误。故选B。 【6题详解】 仓储物流指利用自建或租赁库房、场地储存、保管、装卸搬运、配送货物,该公司在产业园中配备仓储物 流的作用主要是及时响应市场需求,非共享基础设施,D正确,A错误;由材料“逐步形成纺纱、织布、印 染、成衣制造、绣花、印花、辅料、鞋帽等生产及贸易,仓储物流、电子商务等关联产业”可知,该公司 以轻纺工业为主,仓储物流属于关联产业,该公司在产业园中配备仓储物流对完善产业结构、丰富生产类 型作用不大,BC错误。故选D。 【点睛】产业集聚是指同一产业在某个特定地理区域内高度集中,产业资本要素在空间范围内不断汇聚的 一个过程。产业集聚促进了区内企业组织的相互依存、互助合作和相互吸引:一方面,产业集聚有利于降 低企业运营成本,包括人工成本、开发成本和原材料成本等,因而有利于提高企业劳动生产率,有利于提 升企业竞争力;另一方面,集聚体内企业之间的相互作用,可以产生“整体大于局部之和”的协同效应, 最终有利于提高区域竞争力,促进区域创新发展。 2023年2月中旬以来,广东各地进入了早稻育秧的关键时期。广东省某村通过自动化、规模化大棚育 秧,比小棚育秧提早5~7天,为5万亩以上的早稻提供种植需求,不仅覆盖周边5镇3个街道,还为其他 地区提供秧苗。据此完成下面小题。 7. 与我国东部大部分水稻产区相比,广东省种植水稻的优势主要是( ) A. 水资源丰富 B. 热量条件好 C. 劳动力丰富 D. 市场需求大 8. 与小棚育秧相比,该村2月采用大棚育秧,有利于提高( ) ①土壤肥力②光能利用率③当地积温④土地利用率 A. ①② B. ①③ C. ②④ D. ③④ . 【答案】7 B 8. C 第3页/共13页 学科网(北京)股份有限公司【解析】 【7题详解】 广东省相对于我国东部大部分地区纬度更低,热量更丰富,生长期长,复种指数大,B正确;广东省虽然 气候湿润,降水量大,但考虑到广东省经济发达,人口众多,水资源消耗量大,水资源并非是在东部地区 中最具优势的,A错误;据题干信息广东省通过自动化、规模化大棚育秧,可知其对劳动力数量需求少, C错误;我国南方地区以稻米为主食,市场需求量都很大,广东省并无特别优势,D错误。故选B。 【8题详解】 规模化大棚育秧,比小棚育秧提早5~7天,更早利用太阳辐射,提高光能利用率,②正确;在土地上越早 种植作物,对棚内土地的利用效率越高,④正确;提早种植作物与提高土壤肥力无关,当地的积温是由气 候决定的,与提早种植作物无关,①③错误,②④正确,故选C。 【点睛】农业的区位条件:气候(光照、热量、降水)、地形、水源、土壤、市场、交通、劳动力、政策、 科技、饮食偏好等,有时候也需要考虑自然灾害的影响。 罗赖马山位于巴西、委内瑞拉和圭亚那三国交界处,海拔2810米,山顶平台长14千米、宽5千米, 是帕卡赖马山脉的最高峰,根据其顶部平坦,四周陡峭的形状,被称为“桌状山”。18世纪,科学家在山 顶发现大量的恐龙化石。下图为罗赖马山景观。据此完成下面小题。 9. 罗赖马山山体的岩石类型主要是( ) A. 侵入型岩浆岩 B. 变质岩 C. 喷出型岩浆岩 D. 沉积岩 10. 罗赖马山成为帕卡赖马山脉最高峰的主要地质作用是( ) A. 地壳抬升 B. 流水侵蚀 C. 岩浆活动 D. 风力堆积 11. 与多数锥状山顶相比,罗赖马山形成桌状山顶的主要原因是( ) A. 风化作用强烈 B. 顶部岩层坚硬 C. 冰川侵蚀显著 D. 人类干扰较少 【答案】9. D 10. A 11. B 【解析】 【9题详解】 读图可知,该山体岩石有明显的层理构造,为沉积岩的特征。同时材料中提到科学家在山顶发现大量的恐 第4页/共13页 学科网(北京)股份有限公司龙化石,化石只可能出现在沉积岩中。因此罗赖马山山体的岩石类型主要是沉积岩,D正确,ABC错误, 故选D。 【10题详解】 根据材料可知,罗赖马山顶部平坦,四周陡峭,为断块山。根据地质构造类型相关知识可知,断块山是由 地垒形成的。该地沉积岩层在地壳运动等内力作用下,岩层断裂,山体岩层沿着断裂面整体或者部分抬升 而形成断块山。综上所述,形成断块山的主要作用是地壳抬升作用,A正确,BCD错误。故选A。 【11题详解】 罗赖马山作为桌状山,似突立于地表的巨大石块,顶部平坦,其原因可能是构成山体的岩石为水平沉积的 沉积岩,且沉积岩岩性坚硬,受外力的侵蚀影响小,B正确;风化作用强烈的结果是岩石破碎,并不平坦, A错误;罗赖马山位于巴西、委内瑞拉和圭亚那三国交界处,纬度低,位于热带,冰川侵蚀不显著,C错 误;罗赖马山形成桌状山顶的主要原因是自然界的鬼斧神工,与人类干扰无关,D错误。故选B。 【点睛】断块山又称地垒山,是地壳断裂抬升所形成的块状山体。一般都具备山峰高耸、山势陡峻、山形 奇特的特点,并且多悬崖峭壁、幽谷危岩,如泰山、华山等。 香果树喜温凉的气候和湿润肥沃的土壤,为落叶大乔木,起源于距今约1亿年的中生代白垩纪。末次 冰盛期至全新世中期香果树适宜生长的环境分布区出现缩减,主要位于沿海一带,当前相对于全新世中期 继续缩减,出现破碎化。下图示意不同时期香果树的适宜生长环境分布质心变化,①为末次冰盛期;②为 全新世中期;③当前;④⑤为不同条件下预测未来(2061~2080年)的分布质心。据此完成下面小题。 12. 香果树起源时期繁盛或兴盛的生物有( ) A. 被子植物 B. 大型哺乳动物 C. 裸子植物 D. 无脊椎动物 13. 当前香果树主要分布在我国的( ) A. 亚热带 B. 暖温带 C. 中温带 D. 寒温带 14. 香果树当前及未来生长环境呈破碎化的主要影响因素是( ) A. 气候 B. 地形 C. 水文 D. 土壤 【答案】12. C 13. A 14. B 第5页/共13页 学科网(北京)股份有限公司【解析】 【12题详解】 根据材料信息可知,香果树起源于中生代,中生代裸子植物繁盛,C正确;被子植物新生代繁盛,A错误; 大型哺乳动物新生代兴盛,B错误;无脊椎动物兴盛的时代是早古生代,D错误。所以选C。 【13题详解】 根据图示信息可知,香果树主要分布在北纬28°左右,东经106°到110°,属于我国的亚热带,A正确, BCD错误。所以选A。 【14题详解】 根据图示信息可知,当前香果树分布质心位于北纬28°20′、东经109°左右,该地位于云贵高原东缘,未来 质心向西移动,说明香果树分布范围逐渐西移,云贵高原地势起伏较大,导致生长环境破碎化,B正确; 气候、水文、土壤不是导致生长环境破碎化的主要因素,ACD错误。所以选B。 【点睛】中生代介于古生代与新生代之间。由于这段时期的优势动物是爬行动物,尤其是恐龙,因此又称 为爬行动物时代。中生代也是板块、气候、生物演化改变极大的时代。在中生代开始时,各大陆连接为一 块超大陆-盘古大陆。盘古大陆后来分裂成南北两片,北部大陆进一步分为北美和欧亚大陆,南部大陆分 裂为南美、非洲、印度与马达加斯加、澳洲和南极洲,只有澳洲没有和南极洲完全分裂。中生代的气候非 常温暖,对动物的演化产生影响。在中生代末期,已见现代类型生物群的雏形。 中亚某内陆咸水湖水量变化显著。下图示意该湖泊1990年、2000年、2010年、2015年入湖径流量、 降雨量、蒸发量及地下水变化量(地下水变化量等于地下水入湖量与湖泊入地下水量的差值)。据此完成下 面小题。 15. 1990年以来,该湖泊蒸发量持续下降的主要原因是( ) A. 气温下降 B. 植被减少 C. 湖面缩小 D. 风力减弱 第6页/共13页 学科网(北京)股份有限公司. 16 与1990年相比,2015年湖滨地区( ) A. 沙尘天气减少 B. 盐碱现象减弱 C. 昼夜温差减小 D. 地下水位下降 【答案】15. C 16. D 【解析】 【15题详解】 根据所学知识可知,1990年—2015年气温呈上升趋势,A错误;植被减少对于湖泊蒸发量影响较小,B错 误;根据图示信息可知,1990年以来,该湖泊面积减小,会导致蒸发量降低,C正确;无法判断风力的变 化,D错误。所以选C。 【16题详解】 根据图示信息可知,与1990年相比,2015年湖泊面积减少,湖盆裸露面积增大,沙尘天气增多,A错误; 湖盆裸露面积增大,盐碱现象增强,B错误;湖泊面积减小,调节气候的能力降低,湖滨地区昼夜温差加 大,C错误;湖泊面积减小,补给地下水减少,导致地下水水位降低,D正确。所以选D。 【点睛】湖泊面积变化原因分析思路:(1)自然原因:气候变干,降水季节变化;蒸发加强;泥沙淤积, 湖床抬高引起;人为原因。(2)湖泊按照外流湖和外流湖分析,外流湖萎缩的主要原因:降水量减少; 上游植被破坏;泥沙淤积;围湖造田等。内流湖萎缩原因:人类对入湖河流的水资源利用过度;气候干旱 等。(3)另外还需要关注湖泊面积增加的主要原因:降水量增多;上游水土保持较好;湖泊淤沙减少; 退耕还湖等。冰雪融水补给的湖泊面积的增减,一般考虑气温的变化、冰雪融量的多少等原因。 二、非选择题(本大题共3小题,共52分) 17. 阅读图文资料,完成下列问题。 “冷岛效应”指干旱地区的绿洲(棉田)在夏季昼夜气温均比附近沙漠、戈壁低的一种局部温凉的小气 候现象。在“冷岛效应”作用下,绿洲变成一个冷源和水汽源,水汽源让绿洲边缘沙漠湿度与沙漠其他地 区具有显著差异,是绿洲重要生态保护带。下图示意西北某地棉田和附近沙漠夏季近地面气温变化。 (1)比较该地区棉田和沙漠的气温日变化特点。 (2)描述绿洲地区夏季形成“冷岛效应”的原理 (3)分析“冷岛效应”对棉花种植等农业生产的有利影响。 第7页/共13页 学科网(北京)股份有限公司【答案】(1)①沙漠气温全天高于棉田;②沙漠和棉田气温日较差接近;③白天沙漠与棉田的温差小,夜 晚沙漠与棉田的温差大。 (2)由于沙漠比绿洲的比热容小,在阳光照射下地面增温比绿洲快得多,戈壁沙漠上空被加热的暖空气, 通过局地环流作用输送到绿洲上空,形成一个上热下冷的逆温层,使下层冷空气以保持稳定,于是形成了 一个比较凉爽、湿润的小气候。 (3)①“冷岛效应”抑制了植物的蒸腾和地面的蒸发,增加土壤湿度,节约水源,有利于棉花等农作物 的生长。②夜间温度低,能够抑制植物的呼吸作用,减少有机质的消耗,提高作物产量。③大气水平运动 把绿洲水汽输送到边缘沙漠,沙漠夜晚气温降低,水汽易凝结,改善植被生条件,形成绿洲外围重要的农 业生态保护带。 【解析】 【分析】本题以“冷岛效应”为背景材料,涉及热力环流原理及利用知识,重点考查学生获取和解读信息、 调动和运用知识及论证和探讨问题的能力,体现了综合思维和地理实践力的学科核心素养。 【小问1详解】 气温日变化指一天内气温高低的周期性变化。结合图例、读图可知:沙漠气温全天高于棉田;二者气温日 较差均接近13℃,气温日较差相近;21:00后到次日6:00二者温差较大,说明沙漠与棉田白天的温差小于 夜晚的温差。 【小问2详解】 材料显示,“冷岛效应”指干旱地区的绿洲(棉田)在夏季昼夜气温均比附近沙漠、戈壁低的一种局部温凉 的小气候现象。它的形成是由于戈壁沙漠较绿洲的比热小,同时沙漠戈壁和绿洲、湖泊对于太阳辐射的反 射率也不同,在阳光照射下地面增温比绿洲、湖泊快得多,戈壁沙漠上空被加热的暖空气,通过局地环流 作用输送到绿洲上空,形成一个上热下冷的逆温层,上下层空气间的热交换难以进行,下层冷空气也得以 保持稳定,于是形成了一个比较凉爽、湿润的小气候。这种特殊的气象效应,称为绿洲的“冷岛效应”。 第8页/共13页 学科网(北京)股份有限公司【小问3详解】 水源是我国西北发展农业生产的制约因素,“冷岛效应”使湍流发展较弱,抑制了植物的蒸腾和地面的蒸 发,非常有利于植物的生长。由材料可知,“冷岛效应”使绿洲区夜间温度较低,低温能够抑制植物的呼 吸作用,减少有机质的消耗,提高作物产量。由上一小题解析可知,“冷岛效应”大气水平运动会把绿洲 水汽输送到边缘沙漠,沙漠夜晚气温降低,利于水汽凝结,改善植被生条件,从而在绿洲外围形成重要的 农业生态保护带。 18. 阅读图文资料,完成下列问题。 毛伊岛是夏威夷群岛中第二大岛屿,植被茂密,风景优美,拉海纳镇街上遍布深富古味的矮小木造建 筑,是著名的国际旅游胜地。2023年7月底,当地干旱加剧,8月8日至12日,发生了严重的火灾,使火 灾最严重的拉海纳镇成为了一片废墟,造成了严重的人员伤亡和财产损失,同时附近海面上正经历有记录 以来太平洋上持续时间最长的飓风。下图示意毛伊岛位置。 (1)分析毛伊岛拉海纳2023年8月火灾严重的自然原因。 的 (2)简述本次火灾对夏威夷群岛造成 环境问题。 (3)为了减轻火灾对当地造成的危害,说明该国政府应采取的措施。 【答案】(1)8月份,受副高控制,气温高降水少;该地经历旱灾,水分少;飓风,使风力大,火蔓延速 第9页/共13页 学科网(北京)股份有限公司度快。 (2)火灾导致植被破坏,生物多样性减少;大气中二氧化碳排放量增多,灰层增多,空气质量下降;火 灾产生的垃圾等,随后期降雨带入海洋,导致沿海被污染等。 (3)利用地理信息技术对灾区进行监测评估,及时采取应急机制;加强对相关职能部门的监督检查,采 取问责制度;鼓励社会力量参与灾后重建和生态恢复工作。 【解析】 【分析】本题以毛伊岛火灾为材料,涉及火灾成因、危害以及防治措施的相关知识,考查学生材料信息提 取能力、地理知识调用分析能力,体现了区域认知、综合思维以及地理实践力的地理学科核心素养。 【小问1详解】 8月份太阳直射点位于北半球,北半球为夏季,陆地形成低压中心,海洋形成高压中心,该地位于北纬21° 左右,受副高控制,以晴朗天气为主,气温较高,降水较少;根据材料信息“2023年7月底,当地干旱加 剧,8月8日至12日,发生了严重的火灾”可知,该地刚刚经历了旱灾,植被水分含量较低,易燃;根据 材料信息“同时附近海面上正经历有记录以来太平洋上持续时间最长的飓风。”可知,此时该地附近海面 出现持续时间较长的飓风,受飓风影响,该地风力较大,火势蔓延较快。 【小问2详解】 火灾会烧死大面积植被和部分动物,影响当地生物多样性;火灾会释放大量的二氧化碳,产生大量的灰尘, 影响当地的空气质量;火灾产生的灰烬、动植物尸体等垃圾,在雨季降水较多时,会随地表径流进入海洋, 影响沿海地区的生态环境等。 【小问3详解】 利用遥感系统获取灾区的遥感图像,利用地理信息系统对获取的遥感图像进行分析,对灾情进行准确评估; 建立灾后紧急处理管理机构和应急响应机制,提高救灾抗灾的能力;加强监管力度,对相关职能部门加强 监管,对出现问题的部门采取问责机制,调动职能部门的救灾积极性;加大宣传力度,调用民众和社会力 量参与灾后重建和生态系统恢复的工作;呼吁国际援助等。 19. 阅读图文资料,完成下列问题。 “蜂巢屋”是叙利亚阿勒颇地区为适应地理环境而建的传统民居,具有4000多年的历史。早期除石质 基底外,全用土坯堆砌而成,圆锥形的屋顶,墙体厚达80厘米。目前阿勒颇城市内有30%以上的建筑被列 入了《世界遗产名录》,许多建筑在战争中被毁。叙利亚正着手古迹的恢复与保护工作。左图示意阿勒颇 位置,右图为叙利亚“蜂巢屋”景观。 第10页/共13页 学科网(北京)股份有限公司(1)简述当地早期“蜂巢屋”墙体材料主要采用泥土的原因。 的 (2)说明当地建造锥状屋顶和厚墙体“蜂巢屋”主要适应 自然环境特征。 (3)你是否赞同叙利亚对“蜂巢屋”进行恢复与保护,并说明理由。 【答案】(1)早期,生产力水平低,可用的材料有限;就近取材,比较方便;墙体厚,耗材量大,泥土 建造成本低。 (2)冬季降水量大,锥状屋顶利于排水;多季节性风沙,锥状屋顶不易积沙;夏季炎热和冬季较冷,厚 墙体利于室内冬暖夏凉。 (3)赞同,“蜂巢屋”具有较高的历史文化价值;“蜂巢屋”修复后可以,可发展特色旅游,促进当地 经济发展等。 不赞同,战争频发,修复和保护难度大;修复成本较高等。 【解析】 【分析】本题以蜂巢屋为材料,涉及地域文化对民居的影响以及遗产保护的相关知识,考查学生材料信息 提取能力、地理知识调用分析能力,体现了区域认知、综合思维以及地理实践力的地理学科核心素养。 【小问1详解】 早期,该地社会生产力发展水平较低,可用于建设房屋的原材料有限;泥土随处可见,便于就地取材,能 够节省建设的费用;根据材料信息“墙体厚达80厘米”可知,“蜂巢屋”墙体厚度较大,需要的建材量较 大,泥土的成本较低,能降低建设成本。 【小问2详解】 根据图示信息可知,叙利亚阿勒颇地区位于地中海附近,冬季该地受盛行西风控制,降水量较大,屋顶呈 圆锥状,有利于排水;该地靠近沙漠地区,多季节性风沙,屋顶呈圆锥状,不利于风沙积累;该地冬季气 温较低,夏季气温较高,墙体厚度较大,有利于维持室内温度,冬暖夏凉。 【小问3详解】 若赞同,根据材料信息“目前阿勒颇城市内有30%以上的建筑被列入了《世界遗产名录》”可知,“蜂巢 屋”具有较高的历史文化价值,是人类文化的见证;“蜂巢屋”是特色文化景观,修缮之后可以作为旅游 第11页/共13页 学科网(北京)股份有限公司资源开发旅游活动,能够提高当地的收入,促进经济发展。 若不赞同,根据材料信息以及所学知识可知,当地政局动荡,战争较多,保护和修缮的难度较大;“蜂巢 屋”建筑样式独特,修缮的费用较高等。 第12页/共13页 学科网(北京)股份有限公司