当前位置:首页>文档>高三化学答案_2023年9月_01每日更新_3号_2024届重庆市七校高三上学期开学考试_重庆市七校2024届高三上学期开学考试化学

高三化学答案_2023年9月_01每日更新_3号_2024届重庆市七校高三上学期开学考试_重庆市七校2024届高三上学期开学考试化学

  • 2026-03-18 19:45:59 2026-02-13 19:29:45

文档预览

高三化学答案_2023年9月_01每日更新_3号_2024届重庆市七校高三上学期开学考试_重庆市七校2024届高三上学期开学考试化学
高三化学答案_2023年9月_01每日更新_3号_2024届重庆市七校高三上学期开学考试_重庆市七校2024届高三上学期开学考试化学
高三化学答案_2023年9月_01每日更新_3号_2024届重庆市七校高三上学期开学考试_重庆市七校2024届高三上学期开学考试化学
高三化学答案_2023年9月_01每日更新_3号_2024届重庆市七校高三上学期开学考试_重庆市七校2024届高三上学期开学考试化学

文档信息

文档格式
pdf
文档大小
0.197 MB
文档页数
2 页
上传时间
2026-02-13 19:29:45

文档内容

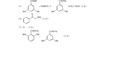
2023—2024 学年度高三开学七校联考 化 学 答 案 1 2 3 4 5 6 7 8 9 10 11 12 13 14 B A C B D C C D A C D C B D 15.【答案】14分 每空2分 (1)3d64s2 (2)2Fe+3MnO +12H+=2Fe3++3Mn2++6H O 2 2 (3)1×10-6mol⋅L-1 a3⋅b3 (4) 草酸钪沉淀转化为可溶性络合物 c Δ (5)Sc (C O ) ⋅H O 2Sc (C O ) +3O 2Sc O +12CO 2 2 4 3 2 2 2 4 3 2 2 3 2 16.15分【答案】 (1)CO (g)+3H (g) CH OH(g)+H O(g) ΔH=-0.19N eV⋅mol-1 (2分) 2 2 3 2 A (2)I(2分) 主反应CO 催化加氢制甲醇放热,竞争反应吸热,150~250℃时升温使主反应平 2 0.2p 0.1p × 3.8 3.8 衡逆向移动的程度大于竞争反应平衡正向移动的程度(2分) 50 (2分) (2分) 3 0.8p 2.6p ×  3.8  3.8  (3)正(1分) 2 (2分) CH +2h++O2-=CO+2H (2分) 4 2 17.【答案】14分 (1)分液漏斗(1分) (2)A→D→C→E→B (2分) 防止多余的Cl 污染空气,同时防止空气中的水蒸气进入装置E,使CoCl 潮解(2分) 2 2 (3)2MnO-+10Cl-+16H+=2Mn2++5Cl ↑+8H O(2分) 4 2 2 (4)NH Cl溶于水电离出NH+,使NH ⋅H O的电离平衡逆向移动,防止加入氨水时溶液中 4 4 3 2 c ( OH-) 过大,生成Co(OH) 沉淀 (2分) 2 (5)控制反应速率 (1分) 防止温度过高使H O 和NH ⋅H O分解(1分) 2 2 3 2 活性炭 (6)2CoCl 2 +2NH 4 Cl+10NH 3 ⋅H 2 O+H 2 O 2 2  Co(NH 3 ) 6   Cl 3 +12H 2 O(2分) (7)趁热过滤、冷却结晶(1分) 2023-2024学年度高三开学七校联考化学答案 第 1页 共2页 {#{QQABTYgAggCAABIAARhCQQ3SCAGQkBACAIgGBEAEoAAByAFABAA=}#}18.15分【答案】 (1)C H O (2分) 7 6 4 (2)羧基、醚键(2分) (3)酯化反应或取代反应(1分) (4) +CH I 一定条件→ +HI 3 (2分) (5) + NaHCO → +CO ↑+H O(2分) 3 2 2 (6) (2分) (7)21 (2分) 、 (2分) 2023-2024学年度高三开学七校联考化学答案 第 2页 共2页 {#{QQABTYgAggCAABIAARhCQQ3SCAGQkBACAIgGBEAEoAAByAFABAA=}#}