当前位置:首页>文档>大学英语四六级高频词汇(20250506)06_英语四六级整合_英语四六级真题版本二此版为主此文件夹会持续更新_大学英语四六级高频词汇(带音频)

大学英语四六级高频词汇(20250506)06_英语四六级整合_英语四六级真题版本二此版为主此文件夹会持续更新_大学英语四六级高频词汇(带音频)

  • 2026-04-01 22:48:32 2026-02-13 22:36:59

文档预览

大学英语四六级高频词汇(20250506)06_英语四六级整合_英语四六级真题版本二此版为主此文件夹会持续更新_大学英语四六级高频词汇(带音频)
大学英语四六级高频词汇(20250506)06_英语四六级整合_英语四六级真题版本二此版为主此文件夹会持续更新_大学英语四六级高频词汇(带音频)
大学英语四六级高频词汇(20250506)06_英语四六级整合_英语四六级真题版本二此版为主此文件夹会持续更新_大学英语四六级高频词汇(带音频)
大学英语四六级高频词汇(20250506)06_英语四六级整合_英语四六级真题版本二此版为主此文件夹会持续更新_大学英语四六级高频词汇(带音频)

文档信息

文档格式
pdf
文档大小
0.176 MB
文档页数
2 页
上传时间
2026-02-13 22:36:59

文档内容

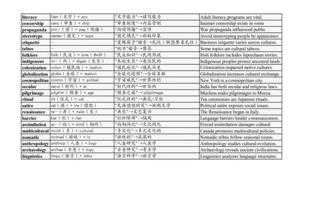
词汇 词根/词缀 联想记忆法 例句 civilization civil-(公民)+ ization "公民化进程"→文明 Ancient Egypt was an advanced tradition tradit-(传递) "代代传递"→传统 cLiuvnilairz aNtieown .Year is an important tradition. heritage her-(继承)+ age "继承的财富"→遗产 UNESCO protects world heritage sites. diversity di-(分开)+ vers(转) "转向多方"→多样性 Cultural diversity enriches society. immigrant im-(入)+ migr(迁移) "迁入者"→移民 Immigrants contribute to the economy. minority minor(小)+ ity "较小群体"→少数民族 Protect minority languages. prejudice pre-(前)+ jud(判断) "提前判断"→偏见 Racial prejudice harms social harmony. discriminatio dis-(分开)+ crimin(区分) "区别对待"→歧视 Gender discrimination is illegal. nfeminism femin(女性)+ ism "女性主义"→女权运动 Feminism advocates gender equality. patriarchy patri(父)+ archy(统治) "父系统治"→父权制 Some societies still follow patriarchy. democracy demo(人民)+ cracy(统治) "人民统治"→民主 India is the world's largest democracy. authoritarian author(权威)+ itarian "权威至上"→威权主义 Authoritarian governments limit freedoms. legislation legis(法律)+ lation "制定法律"→立法 New legislation protects workers' rights. constitution con-(共同)+ stitut(建立) "共同建立"→宪法 The U.S. Constitution was written in 1787. bureaucracy bureau(办公室)+ cracy "办公室统治"→官僚体系 Bureaucracy slows decision-making. corruption cor-(完全)+ rupt(破) "完全破坏"→腐败 Corruption undermines public trust. activist act(行动)+ ist "行动者"→活动家 Climate activists organized a protest. volunteer volunt(自愿)+ eer "自愿者"→志愿者 She volunteers at an animal shelter. philanthropy phil(爱)+ anthrop(人类) "爱人类"→慈善事业 His philanthropy funded hospitals. urbanization urban(城市)+ ization "城市化进程"→城镇化 Rapid urbanization causes housing infrastructur infra(下)+ structure "下层结构"→基础设施 sThhoer tcaigtye'ss. infrastructure needs upgrading. emetropolis metro(母)+ polis(城) "母城"→大都市 Shanghai is a bustling metropolis. suburb sub-(下)+ urb(城) "城市下方"→郊区 They moved to a quiet suburb. slum - "死拉姆"谐音→贫民窟 Slum dwellers lack clean water. gentrification gentry(贵族)+ fication "贵族化"→中产阶层化 Gentrification displaces low-income poverty pover(穷)+ ty "贫穷状态"→贫困 rEedsuidceantitosn. helps break cycles of poverty.literacy liter(文字)+ acy "文字能力"→读写能力 Adult literacy programs are vital. censorship cens(审查)+ ship "审查制度"→内容管制 Internet censorship exists in some propaganda pro-(前)+ pag(传播) "向前传播"→宣传 cWouarn tprrioesp.aganda influenced public stereotype stereo(固定)+ type "固定模式"→刻板印象 oApvioniido ns.tereotyping people by appearance. etiquette - "爱踢筷子"谐音→礼仪(联想餐桌礼仪) Business etiquette varies across cultures. taboo - "他不"谐音→禁忌 Some topics are cultural taboos. folklore folk(民众)+ lore(知识) "民众知识"→民间传说 Irish folklore includes leprechaun stories. indigenous in-(内)+ digen(生长) "本地生长"→原住民的 Indigenous peoples protect ancestral lands. colonization colon(殖民地)+ ization "殖民地化"→殖民历史 Colonization impacted native cultures globalization globe(全球)+ ization "全球化进程"→全球互联 dGeleopblayl.ization increases cultural exchange. cosmopolitan cosmo(宇宙)+ politan "宇宙城民"→世界性的 New York is a cosmopolitan city. secular secul(时代)+ ar "时代性的"→世俗的 India has both secular and religious laws. pilgrimage pilgrim(朝圣)+ age "朝圣之旅"→ pilgrimage Muslims make pilgrimages to Mecca. ritual rit(仪式)+ ual "仪式性的"→典礼/习俗 Tea ceremonies are Japanese rituals. satire sat(满)+ ire(愤怒) "充满愤怒的笑"→讽刺文学 Political satire exposes social issues. renaissance re-(再)+ naiss(生) "再生"→文艺复兴 The Renaissance began in Italy. barrier bar(栏)+ rier "栏杆障碍"→隔阂 Language barriers hinder communication. assimilation as-(向)+ simil(相同) "向相同化"→文化同化 Forced assimilation damages cultural multicultural multi(多)+ cultural "多文化"→多元文化的 iCdaennatidtay .promotes multicultural policies. nomadic nomad(游牧)+ ic "游牧的"→流浪的 Nomadic tribes follow seasonal routes. anthropology anthrop(人类)+ logy "人类研究"→人类学 Anthropology studies cultural evolution. archaeology archae(古老)+ logy "古老研究"→考古学 Archaeology reveals ancient civilizations. linguistics lingu(语言)+ istics "语言科学"→语言学 Linguistics analyzes language structures.