当前位置:首页>文档>大学英语四六级高频词汇(20250511)11_英语四六级整合_英语四六级真题版本二此版为主此文件夹会持续更新_大学英语四六级高频词汇(带音频)

大学英语四六级高频词汇(20250511)11_英语四六级整合_英语四六级真题版本二此版为主此文件夹会持续更新_大学英语四六级高频词汇(带音频)

  • 2026-04-01 22:48:45 2026-02-13 22:37:17

文档预览

大学英语四六级高频词汇(20250511)11_英语四六级整合_英语四六级真题版本二此版为主此文件夹会持续更新_大学英语四六级高频词汇(带音频)
大学英语四六级高频词汇(20250511)11_英语四六级整合_英语四六级真题版本二此版为主此文件夹会持续更新_大学英语四六级高频词汇(带音频)
大学英语四六级高频词汇(20250511)11_英语四六级整合_英语四六级真题版本二此版为主此文件夹会持续更新_大学英语四六级高频词汇(带音频)
大学英语四六级高频词汇(20250511)11_英语四六级整合_英语四六级真题版本二此版为主此文件夹会持续更新_大学英语四六级高频词汇(带音频)

文档信息

文档格式
pdf
文档大小
0.172 MB
文档页数
2 页
上传时间
2026-02-13 22:37:17

文档内容

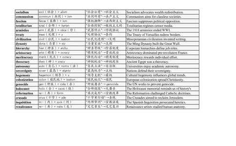
词汇 词根/词缀 联想记忆法 例句 historiography histor(历史)+ graphy(记 "历史记录法"→史学方法论Modern historiography emphasizes multiple 录) anthropology anthrop(人类)+ logy "人类研究"→人类学 pAenrtshpreocptiovleosg.y explores cultural evolution. archaeology archae(古老)+ logy "古老研究"→考古学 Archaeology revealed lost civilizations. chronology chron(时间)+ logy "时间序列"→年表 The chronology of dynasties was documented. feudalism feud(封地)+ ism "封地制度"→封建主义 Feudalism structured medieval society. imperialism imper(命令)+ ialism "命令扩张"→帝国主义 European imperialism shaped global borders. revolution re-(再)+ volut(转) "再次翻转"→革命 The Industrial Revolution changed economies. renaissance re-(再)+ naiss(生) "再生"→文艺复兴 Renaissance art celebrated humanism. enlightenment en-(使)+ light "点亮思想"→启蒙运动 Enlightenment thinkers valued reason. industrializatio industri(勤劳)+ ization "勤劳化"→工业化 Rapid industrialization caused urban growth. nphilosophy philo(爱)+ sophy(智慧) "爱智慧"→哲学 Greek philosophy influences Western thought. metaphysics meta(超)+ physics "超越物理"→形而上学 Metaphysics questions reality's nature. epistemology epi-(上)+ stem(知识) "知识研究"→认识论 Epistemology examines how we know things. ethics eth(习俗)+ ics "习俗准则"→伦理学 Medical ethics guide doctor-patient relationships. logic log(说)+ ic "说话规则"→逻辑学 Formal logic structures valid arguments. stoicism stoa(柱廊)+ ism "柱廊学派"→斯多葛主义 Stoicism teaches emotional resilience. utilitarianism util(用)+ arianism "实用主义"→功利主义 Utilitarianism maximizes collective happiness. existentialism exist(存在)+ ialism "存在优先"→存在主义 Existentialism emphasizes individual freedom. nihilism nihil(无)+ ism "虚无主义"→ nihilism Nihilism rejects inherent meaning. dialectics dia-(对)+ lect(说) "对话术"→辩证法 Hegel's dialectics involve thesis-antithesis-synthesis. monarchy mon(独)+ archy(统治) "独裁统治"→君主制 The British monarchy is constitutional. republic res(事)+ public "公共事务"→共和政体 Ancient Rome was a republic. demagogue dem(民众)+ agogue(引导) "煽动民众者"→蛊惑人心者Demagogues exploit public fears. colonialism colon(殖民地)+ ism "殖民制度"→殖民主义 Colonialism disrupted indigenous cultures. nationalism nation + ism "国家主义"→民族主义 Nationalism fueled independence movements. capitalism capit(头)+ alism "资本为首"→资本主义 Capitalism encourages free markets.socialism soci(社会)+ alism "社会公有"→社会主义 Socialism advocates wealth redistribution. communism commun(共同)+ ism "共同所有"→共产主义 Communism aims for classless societies. fascism fasces(束棒)+ ism "强权捆绑"→法西斯主义 Fascism suppresses political opposition. totalitarian total(全部)+ itarian "全面控制"→极权主义的 Totalitarian regimes censor media. armistice arm(武器)+ stice(停) "武器停止"→停战协议 The 1918 armistice ended WWI. treaty treat(处理)+ y "处理协议"→条约 The Treaty of Versailles redrew borders. civilization civil(公民)+ ization "公民化进程"→文明 Mesopotamian civilization invented writing. dynasty dyna(力量)+ sty "力量家族"→王朝 The Ming Dynasty built the Great Wall. hierarchy hier(神圣)+ archy "神圣等级"→阶层制度 Corporate hierarchies define job roles. aristocracy arist(精英)+ ocracy "精英统治"→贵族政治 Aristocracy dominated pre-revolution France. meritocracy merit(优点)+ ocracy "择优而治"→精英制度 Meritocracy rewards individual effort. theocracy theo(神)+ cracy "神权统治"→神权政体 Ancient Egypt was a theocracy. autonomy auto(自己)+ nomy(法) "自我立法"→自治权 Universities enjoy academic autonomy. sovereignty sover(最高)+ eignty "最高权力"→主权 Nations defend their sovereignty. hegemony hegemon(领导)+ y "领导支配"→霸权 Cultural hegemony influences global trends. colonization colon(殖民地)+ ization "殖民地化"→殖民 European colonization spread Christianity. genocide gen(种族)+ cide(杀) "种族屠杀"→ genocide The UN works to prevent genocide. holocaust holo(全)+ caust(烧) "全部烧毁"→大屠杀 The Holocaust memorial reminds us of history's reformation re-(再)+ form "再次成形"→宗教改革 hTohrer oRres.formation challenged Catholic doctrines. crusade crux(十字)+ ade "十字军行动"→圣战 The Crusades aimed to reclaim Jerusalem. inquisition in-(内)+ quis(问) "内部审问"→宗教法庭 The Spanish Inquisition persecuted heretics. renaissance re-(再)+ naiss(生) "文艺重生"→文艺复兴 Renaissance artists studied human anatomy.